李小龙,
杜霞,
刘佳媛,
刘倩倩,
袁继超,
孔凡磊,
四川农业大学农学院/农业部西南作物生理生态与耕作重点实验室/作物生理生态及栽培四川省重点实验室 成都 611130
基金项目:国家重点研发计划项目(2017YFD0301704, 2018YFD0301206, 2016YFD0300307)和四川省玉米创新团队项目(SCCXTD-2020-02)资助
详细信息
作者简介:陈祥, 研究方向为玉米高产高效栽培。E-mail: scnydxcx@qq.com
通讯作者:孔凡磊, 主要研究方向为玉米高产高效栽培。E-mail: kflstar@163.com
中图分类号:S513计量
文章访问数:59
HTML全文浏览量:10
PDF下载量:20
被引次数:0
出版历程
收稿日期:2021-01-21
录用日期:2021-06-05
网络出版日期:2021-07-26
刊出日期:2021-09-06
Changes of maize lodging resistance after physiological maturity and its influencing factors in Sichuan
CHEN Xiang,LI Xiaolong,
DU Xia,
LIU Jiayuan,
LIU Qianqian,
YUAN Jichao,
KONG Fanlei,
College of Agronomy, Sichuan Agricultural University / Key Laboratory of Crop Ecophysiology and Farming System in Southwest China, Ministry of Agriculture / Crop Ecophysiology and Cultivation Key Laboratory of Sichuan Province, Chengdu 611130, China
Funds:This study was supported by the National Key Research and Development Program of China (2017YFD0301704, 2018YFD0301206, 2016YFD0300307) and Sichuan Maize Innovation Team Program (SCCXTD-2020-02)
More Information
Corresponding author:E-mail: kflstar@163.com
摘要
HTML全文
图
参考文献
相关文章
施引文献
资源附件
访问统计
摘要
摘要:玉米茎秆强度下降是造成生理成熟后玉米倒伏的重要因素。为明确玉米生理成熟后茎秆强度变化及影响因素, 本试验以玉米品种‘正红6号’为材料, 设置不同密度处理, 通过研究其生理成熟后茎秆强度、单位长度干重、含水率等变化规律, 分析影响生理成熟后茎秆强度的关键因素, 为机械粒收技术推广提供科学指导。结果表明, 玉米生理成熟后节间茎秆强度逐渐下降, 随着时间推移, 降低幅度逐渐减小; 生理成熟后玉米茎秆单位长度干重、含水率逐渐降低, 节间长粗比略有增加。不同密度间茎秆强度差异显著, 生理成熟后茎秆强度下降幅度不同, 在4.5万~10.5万株?hm?2密度范围内, 随着密度增加, 茎秆强度下降幅度呈降低趋势, 低密度茎秆强度下降幅度大于高密度处理。种植密度增加导致玉米茎秆单位长度干重显著降低, 节间长粗比显著增加。本研究发现玉米生理成熟后茎秆单位长度干重降低是茎秆强度降低的主要原因; 种植密度增加显著降低了茎秆强度, 同时随着站秆时间的延长, 茎秆强度进一步降低, 增加了玉米倒伏风险。因此, 合理密植、适期收获能降低因生理成熟后站秆能力下降而导致倒伏的风险。
关键词:玉米/
生理成熟;茎秆含水率/
单位长度干重/
茎秆强度/
抗倒性能
Abstract:Densification planting and delayed harvesting are important measures for the promotion and development of mechanized grain harvesting technology of maize, but they also reduce the lodging resistance of stalks and increase the risk of lodging. The appearance of maize lodging not only increases the difficulty of mechanical harvesting and reduces the speed of mechanical harvesting, but also increases the loss of ear caused by lodging and reduces the yield of mechanical grain harvest. Therefore, the purpose of this experiment was to explore the changing law of the lodging resistance ability of maize stalks after physiological maturity under different densities and to provide a scientific basis for the development of maize dense planting and high-yielding mechanical grain harvest technology. This experiment used ‘Zhenghong 6’ as the material and set 6 density treatments: 3.0×104 plants?hm?2 (B1), 4.5×104 plants?hm?2 (B2), 6.0×104 plants?hm?2 (B3), 7.5×104 plants?hm?2 (B4), 9.0×104 plants?hm?2 (B5), and 10.5×104 plants?hm?2 (B6). In the physiological maturity period (August 6, A1), 11 d after physiological maturity (August 17, A2), 22 d after physiological maturity (August 28, A3), and 35 d after physiological maturity (September 10, A4), 5 plants in each plot were sampled and the changing laws of stalk strength, internode morphology, internode dry matter, moisture content, etc. were determined. The results showed that the internode stalk strength of maize decreased after physiological maturity, but the decreasing range gradually reduced with time. After physiological maturity, the dry weight per unit length and water content of stalk decreased, while the internode length-to-diameter ratio increased slightly. Stalk strength and it’s change with time were significantly different among different densities after physiological maturation. In the density range of 4.5×104 plants?hm?2 to 10.5×104 plants?hm?2, the decreased amplitude of stalk strength showed a decreasing trend with the increase of density, and that of stalk strength of low density was greater than that of high density. The increase in planting density resulted in a significant decrease in stalk dry weight per unit length and a significant increase in the internode length-to-diameter ratio. The results showed that the decrease of stalk dry weight per unit length after physiological maturity was the main reason for the decrease of stalk strength. The increase of planting density significantly reduced the stalk strength, and with the extension of standing time, the stalk strength further decreased. The stalk strength of different densities decreased differently, and the decrease rate of low density was greater, but the stalk strength of high density was still lower than that of low density treatment all the time. Therefore, properly dense planting and harvest at the right time can reduce the risk of lodging caused by the decline of the standing capacity of culms after physiological maturity of maize.
Key words:Maize/
Physiological maturity; Stalk moisture content/
Dry weight per unit length/
Stalk strength/
Lodging resistance
HTML全文

图1研究区玉米取样期间部分气象资料
Figure1.Partial meteorological data during the sampling period of maize in the study area


图2玉米生理成熟后不同时间不同茎秆节间的单位长度干重变化
S3、S4和SX分别为基部第3、第4节间和穗下第1节间。箱线图中箱体部分代表50%样本的分布区域, 即四分位区间(IQR)。两端线为Tukey法判定的合理观测样本边界。箱体中实线为样本中位数, 实心点为样本均值, 空心点表示异常值。图中不同小写字母表示不同取样期在P<0.05水平差异显著。S3 and S4 are the third and fourth internodes from the stem base; and SX is the first internode below the ear. The main box called IQR contains fifty percent samples in Box-whisker Plot. The two sidelines mean the reasonable sample borders in Tukey method. The solid line in box positions the median sample. The solid point sthands for the average. The circle stands for the outlier. Different lowercase letters indicate significant differences at P<0.05 among different sampling dates.
Figure2.Changes in dry weight per unit length of different maize internodes in different times after physiological maturity


图3不同密度玉米不同茎秆节间的单位长度干重变化
S3、S4和SX分别为基部第3、第4节间和穗下第1节间。箱线图中箱体部分代表50%样本的分布区域, 即四分位区间(IQR)。两端线为Tukey法判定的合理观测样本边界。箱体中实线为样本中位数, 实心点为样本均值, 空心点表示异常值。图中不同小写字母分别表示不同密度在P<0.05水平差异显著。S3 and S4 are the third and fourth internodes from the stem base; and SX is the first internode below the ear. The main box called IQR contains fifty percent samples in Box-whisker Plot. The two sidelines mean the reasonable sample borders in Tukey method. The solid line in box positions the median sample. The solid point stands for the average. The circle stands for the outlier. Different lowercase letters indicate significant differences at P<0.05 among different densities.
Figure3.Changes in dry weight per unit length of different maize internodes with different densities


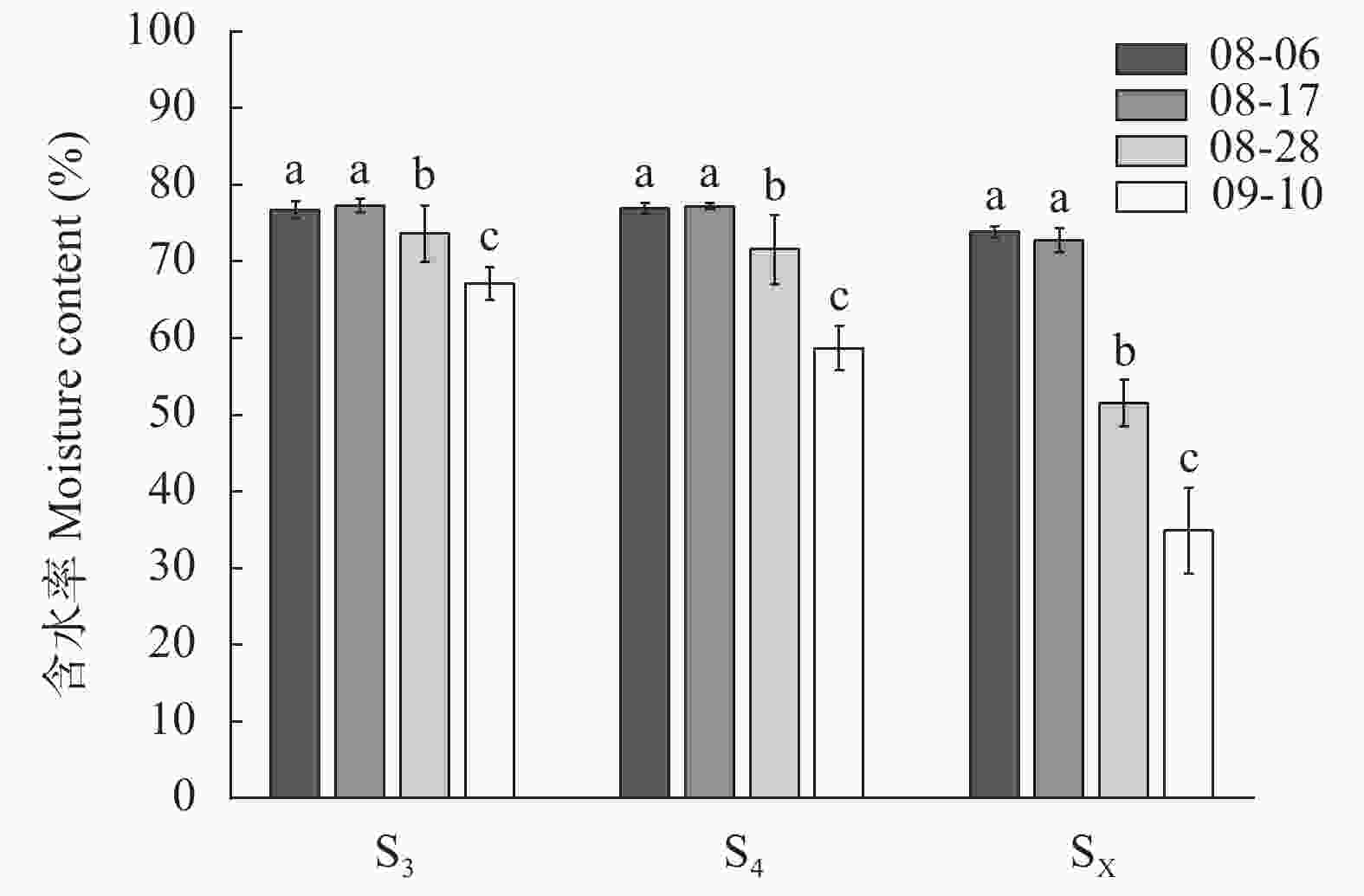
图4玉米生理成熟后不同时间(月-日)不同茎秆节间含水率变化
S3、S4和SX分别为基部第3、第4节间和穗下第1节间。图中不同小写字母分别表示不同取样期在P<0.05水平下差异显著。S3 and S4 are the third and fourth internodes from the stem base; and SX is the first internode below the ear. Different lowercase letters indicate significant differences at P<0.05 among different sampling dates.
Figure4.Changes in moisture content of different maize internodes in different times (month-day) after physiological maturity


图5玉米生理成熟后不同时间不同茎秆节间的长粗比变化
S3、S4和SX分别为基部第3、第4节间和穗下第1节间。箱线图中箱体部分代表50%样本的分布区域, 即四分位区间(IQR)。两端线为Tukey法判定的合理观测样本边界。箱体中实线为样本中位数, 实心点为样本均值, 空心点表示异常值。图中不同小写字母分别表示不同取样期在P<0.05水平差异显著。S3 and S4 are the third and fourth internodes from the stem base; and SX is the first internode below the ear. The main box called IQR contains fifty percent samples in Box-whisker Plot. The two sidelines mean the reasonable sample borders in Tukey method. The solid line in box positions the median sample. The solid point stands for the average. The circle stands for the outlier. Different lowercase letters indicate significant differences at P<0.05 among different sampling dates.
Figure5.Changes in length/diameter ratio of different maize internodes in different times after physiological maturity


图6不同密度玉米不同茎秆节间的长粗比变化
S3、S4和SX分别为基部第3、第4节间和穗下第1节间。箱线图中箱体部分代表50%样本的分布区域, 即四分位区间(IQR)。两端线为Tukey法判定的合理观测样本边界。箱体中实线为样本中位数, 实心点为样本均值, 空心点表示异常值。图中不同小写字母表示不同密度在P<0.05水平差异显著。S3 and S4 are the third and fourth internodes from the stem base; and SX is the first internode below the ear. The main box called IQR contains fifty percent samples in Box-whisker Plot. The two sidelines mean the reasonable sample borders in Tukey method. The solid line in box positions the median sample. The solid point stands for the average. The circle stands for the outlier. Different lowercase letters indicate significant differences at P<0.05 among different densities.
Figure6.Changes in length/diameter ratio of different maize internodes with different densities

表1不同密度玉米生理成熟后不同时间不同节间茎秆强度
Table1.Strength of basal internodes of maize with different densities after physiological maturity
取样日期(月-日) Sampling date (month-day) | 密度 Density (×104 plants?hm?2) | 穿刺强度 Rind penetration strength (N) | 弯曲强度 Bending strength (N) | |||
S3 | SX | S4 | SX | |||
08-06 (生理成熟期 Physiological maturity date) | 3.0 | 57.80±5.0ab | 32.50±2.6a | 310.04±55.4b | 128.56±10.5a | |
4.5 | 63.24±4.0a | 29.64±1.8a | 360.62±68.7a | 135.72±13.5a | ||
6.0 | 50.24±7.1bc | 28.12±2.4a | 222.66±55.8c | 83.82±15.8b | ||
7.5 | 44.76±4.8c | 22.04±1.8b | 139.18±33.8d | 53.76±12.0cd | ||
9.0 | 44.12±1.9c | 22.80±3.7b | 123.38±7.1de | 69.92±23.0bc | ||
10.5 | 33.72±4.5d | 22.68±2.6b | 84.32±11.7e | 42.53±8.0d | ||
平均 Average | 48.98±10.7a | 26.30±4.7a | 206.70±110.6a | 85.72±38.0a | ||
08-17 | 3.0 | 54.98±7.5a | 22.12±4.4a | 279.58±63.2a | 91.64±17.5a | |
4.5 | 47.98±5.3a | 22.32±3.1a | 211.12±28.7b | 79.76±16.5a | ||
6.0 | 54.36±8.2a | 24.26±3.7a | 202.16±69.5b | 73.34±15.2a | ||
7.5 | 37.76±13.0b | 22.76±3.5a | 103.28±26.6c | 49.58±13.1b | ||
9.0 | 35.28±4.0b | 22.20±4.9a | 113.86±19.7c | 50.42±15.3b | ||
10.5 | 37.70±7.2b | 21.94±4.3a | 111.76±28.8c | 51.50±9.1b | ||
平均 Average | 44.68±11.0b | 22.60±3.7b | 170.29±77.7b | 66.04±21.4b | ||
08-28 | 3.0 | 56.48±5.3a | 20.26±2.5ab | 246.58±22.6a | 59.33±3.6a | |
4.5 | 49.30±5.2a | 18.90±3.0abc | 175.44±41.0b | 72.53±10.2a | ||
6.0 | 37.78±5.2b | 21.12±4.6a | 96.36±31.5c | 37.86±13.7b | ||
7.5 | 32.08±5.8bc | 16.50±2.5abc | 64.16±16.6c | 28.83±7.8b | ||
9.0 | 30.44±7.3bc | 16.15±4.0bc | 71.60±15.0c | 38.32±12.2b | ||
10.5 | 24.72±2.0c | 15.12±4.7c | 65.12±12.4c | 31.88±6.8b | ||
平均 Average | 38.47±12.3c | 18.01±4.0c | 119.88±73.3c | 44.79±18.0d | ||
09-10 | 3.0 | 57.88±9.5a | 23.30±6.5a | 201.48±43.8a | 98.40±31.4a | |
4.5 | 33.70±4.1bc | 17.88±1.8bc | 83.06±22.8bc | 44.20±12.8c | ||
6.0 | 40.72±6.6b | 18.60±3.6bc | 120.04±21.2b | 63.10±9.4b | ||
7.5 | 29.16±5.7c | 19.08±1.5ab | 71.30±17.8bc | 35.32±12.1c | ||
9.0 | 31.64±11.0c | 15.30±2.1bc | 82.38±9.7bc | 43.96±6.8c | ||
10.5 | 27.86±2.7c | 13.94±2.6c | 58.00±5.2c | 33.50±6.4c | ||
平均 Average | 36.83±12.3c | 18.01±4.4c | 102.71±53.3c | 53.08±26.9c | ||
F | 取样日期 Sampling date (A) | 24.504** | 39.723** | 51.819** | 49.696** | |
密度 Density (B) | 49.279** | 9.479** | 79.988** | 52.675** | ||
A×B | 3.570** | 1.865* | 6.197** | 6.067** | ||
S3、S4和SX分别为基部第3、第4节间和穗下第1节间。表中不同小写字母表示同一取样时期不同密度在P<0.05水平差异显著, 平均值后的不同小写字母表示不同取样时期在P<0.05水平差异显著。*表示P<0.05水平影响显著, **表示P<0.01水平影响显著。S3 and S4 are the third and fourth internodes from the stem base; and SX is the first internode below the ear. Different lowercase letters in the table indicate significant differences among different densities at P<0.05 in the same sampling date. Different lowercase letters after the averages indicate significant differences at P<0.05 among different sampling dates. * and ** indicate significant effects at P<0.05 and P<0.01 levels, respectively. |

表2玉米不同密度下不同节间茎秆强度与生理成熟后站秆时间的拟合参数及结果
Table2.Fitting parameters and results of stalk strength of different internodes and stalk standing time after physiological maturation in maize under different densities
密度 Density (×104 plants?hm?2) | 穿刺强度 Rind penetration strength (N) | 弯曲强度 Bending strength (N) | |||||||
S3 | SX | S4 | SX | ||||||
b | R2 | b | R2 | b | R2 | b | R2 | ||
3.0 | 0.0199 | 0.0015 | ?0.2395 | 0.2551* | ?3.1807 | 0.4601** | ?0.9407 | 0.1711 | |
4.5 | ?0.7728 | 0.7540** | ?0.3340 | 0.6796** | ?7.6035 | 0.8023** | ?2.4597 | 0.7793** | |
6.0 | ?0.3963 | 0.3023* | ?0.2780 | 0.5279** | ?3.5791 | 0.4353** | ?0.8125 | 0.2392* | |
7.5 | ?0.4579 | 0.3855** | ?0.1301 | 0.2460* | ?2.0864 | 0.5084** | ?0.6393 | 0.3311** | |
9.0 | ?0.3609 | 0.3098* | ?0.2484 | 0.4481* | ?1.4268 | 0.5345** | ?0.7632 | 0.2791* | |
10.5 | ?0.2679 | 0.2720* | ?0.2936 | 0.5085** | ?1.1392 | 0.3140* | ?0.4318 | 0.2730* | |
*和**分别表示在P<0.05和P<0.01水平相关显著。* and ** indicate significant correlations at P<0.05 and P<0.01 levels, respectively. |

表3生理成熟后玉米茎秆强度与茎秆性状的相关性
Table3.Correlation between stalk strength and stalk traits of maize after physiological maturity
指标 Index | 穿刺强度 Rind penetration strength | 含水率 Moisture content | 单位长度干重 Dry weight per unit length | 长粗比 Length/diameter ratio |
弯曲强度 Bending strength | 0.503* | 0.968** | ?0.767** | |
含水率 Moisture content | 0.489* | 0.438* | ?0.329 | |
单位长度干重 Dry weight per unit length | 0.934** | 0.385 | ?0.797** | |
长粗比 Length/diameter ratio | ?0.867** | ?0.432* | ?0.812** | |
表格左下角数据为第3节间穿刺强度与茎秆性状的相关性, 右上角为第4节间弯曲强度与茎秆性状的相关性。*和**分别表示P<0.05和P<0.01水平相关显著。The data in the lower left corner of the table is the correlation coefficients between the rind penetration strength of the third internode and the stem traits; the data in the upper right corner is the correlation coefficients between the bending strength of the fourth internode and the stem traits. * and ** mean significant correlation at P<0.05 and P<0.01 levels, respectively. |

参考文献
[1] | 李少昆, 赵久然, 董树亭, 等. 中国玉米栽培研究进展与展望[J]. 中国农业科学, 2017, 50(11): 1941?1959 doi: 10.3864/j.issn.0578-1752.2017.11.001 LI S K, ZHAO J R, DONG S T, et al. Advances and prospects of maize cultivation in China[J]. Scientia Agricultura Sinica, 2017, 50(11): 1941?1959 doi: 10.3864/j.issn.0578-1752.2017.11.001 |
[2] | 李璐璐, 薛军, 谢瑞芝, 等. 夏玉米籽粒含水率对机械粒收质量的影响[J]. 作物学报, 2018, 44(12): 1747?1754 doi: 10.3724/SP.J.1006.2018.01747 LI L L, XUE J, XIE R Z, et al. Effects of grain moisture content on mechanical grain harvesting quality of summer maize[J]. Acta Agronomica Sinica, 2018, 44(12): 1747?1754 doi: 10.3724/SP.J.1006.2018.01747 |
[3] | 孔凡磊, 赵波, 詹小旭, 等. 四川省夏玉米机械粒收适宜品种筛选与影响因素分析[J]. 中国生态农业学报(中英文), 2020, 28(6): 835?842 KONG F L, ZHAO B, ZHAN X X, et al. Variety screening of mechanical grain harvest and analysis of influencing factors of summer maize in Sichuan Province[J]. Chinese Journal of Eco-Agriculture, 2020, 28(6): 835?842 |
[4] | 赵波, 李小龙, 周茂林, 等. 西南玉米机械粒收籽粒破碎率现状及影响因素分析[J]. 作物学报, 2020, 46(1): 74?83 doi: 10.3724/SP.J.1006.2020.93026 ZHAO B, LI X L, ZHOU M L, et al. Current status and influencing factors of broken rate in mechanical grain harvesting of maize in Southwest China[J]. Acta Agronomica Sinica, 2020, 46(1): 74?83 doi: 10.3724/SP.J.1006.2020.93026 |
[5] | 赵波, 詹小旭, 李小龙, 等. 四川省夏玉米机械化籽粒收获质量及其影响因素[J]. 中国农业大学学报, 2020, 25(4): 31?40 doi: 10.11841/j.issn.1007-4333.2020.04.04 ZHAO B, ZHAN X X, LI X L, et al. Mechanical grain harvesting quality of summer maize in Sichuan and its influencing factors[J]. Journal of China Agricultural University, 2020, 25(4): 31?40 doi: 10.11841/j.issn.1007-4333.2020.04.04 |
[6] | 孔凡磊, 赵波, 吴雅薇, 等. 收获时期对四川春玉米机械粒收质量的影响[J]. 中国生态农业学报(中英文), 2020, 28(1): 50?56 KONG F L, ZHAO B, WU Y W, et al. Effects of harvesting date on mechanical grain-harvesting quality of spring maize in Sichuan Province[J]. Chinese Journal of Eco-Agriculture, 2020, 28(1): 50?56 |
[7] | 薛军, 王群, 李璐璐, 等. 玉米生理成熟后倒伏变化及其影响因素[J]. 作物学报, 2018, 44(12): 1782?1792 doi: 10.3724/SP.J.1006.2018.01782 XUE J, WANG Q, LI L L, et al. Changes of maize lodging after physiological maturity and its influencing factors[J]. Acta Agronomica Sinica, 2018, 44(12): 1782?1792 doi: 10.3724/SP.J.1006.2018.01782 |
[8] | 赵波, 吴雅薇, 李小龙, 等. 四川春玉米生理成熟后穗下茎秆倒折的影响因素[J]. 湖南农业大学学报: 自然科学版, 2020, 46(3): 278?284 ZHAO B, WU Y W, LI X L, et al. The influencing factors of the stalk lodging under ear after physiological maturity of spring maize in Sichuan[J]. Journal of Hunan Agricultural University: Natural Sciences, 2020, 46(3): 278?284 |
[9] | 李少昆, 王克如, 谢瑞芝, 等. 实施密植高产机械化生产 实现玉米高产高效协同[J]. 作物杂志, 2016, (4): 1?6 LI S K, WANG K R, XIE R Z, et al. Implementing higher population and full mechanization technologies to achieve high yield and high efficiency in maize production[J]. Crops, 2016, (4): 1?6 |
[10] | STANGER T F, LAUER J G. Corn stalk response to plant population and the bt-European corn borer trait[J]. Agronomy Journal, 2007, 99(3): 657?664 doi: 10.2134/agronj2006.0079 |
[11] | TETIO-KAGHO F, GARDNER F P. Responses of maize to plant population density. I. canopy development, light relationships, and vegetative growth[J]. Agronomy Journal, 1988, 80(6): 930?935 doi: 10.2134/agronj1988.00021962008000060018x |
[12] | VAN ROEKEL R J, COULTER J A. Agronomic responses of corn to planting date and plant density[J]. Agronomy Journal, 2011, 103(5): 1414?1422 doi: 10.2134/agronj2011.0071 |
[13] | 勾玲, 黄建军, 张宾, 等. 群体密度对玉米茎秆抗倒力学和农艺性状的影响[J]. 作物学报, 2007, 33(10): 1688?1695 doi: 10.3321/j.issn:0496-3490.2007.10.019 GOU L, HUANG J J, ZHANG B, et al. Effects of population density on stalk lodging resistant mechanism and agronomic characteristics of maize[J]. Acta Agronomica Sinica, 2007, 33(10): 1688?1695 doi: 10.3321/j.issn:0496-3490.2007.10.019 |
[14] | 刘海, 段宏凯, 郑丽萍, 等. 玉米品种与密度对植株性状的影响[J]. 中国农学通报, 2017, 33(13): 21?25 doi: 10.11924/j.issn.1000-6850.casb17010096 LIU H, DUAN H K, ZHENG L P, et al. Effects of maize variety and planting density on plant characters[J]. Chinese Agricultural Science Bulletin, 2017, 33(13): 21?25 doi: 10.11924/j.issn.1000-6850.casb17010096 |
[15] | THOMISON P R, MULLEN R W, LIPPS P E, et al. Corn response to harvest date as affected by plant population and hybrid[J]. Agronomy Journal, 2011, 103(6): 1765?1772 doi: 10.2134/agronj2011.0147 |
[16] | XUE J, XIE R Z, ZHANG W F, et al. Research progress on reduced lodging of high-yield and -density maize[J]. Journal of Integrative Agriculture, 2017, 16(12): 2717?2725 doi: 10.1016/S2095-3119(17)61785-4 |
[17] | 薛军, 董朋飞, 胡树平, 等. 玉米倒伏对机械粒收损失的影响及倒伏减损收获技术[J]. 玉米科学, 2020, 28(6): 116?120, 126 XUE J, DONG P F, HU S P, et al. Effect of lodging on maize grain loss and loss reduction technology in mechanical grain harvest[J]. Journal of Maize Sciences, 2020, 28(6): 116?120, 126 |
[18] | 薛军, 李璐璐, 谢瑞芝, 等. 倒伏对玉米机械粒收田间损失和收获效率的影响[J]. 作物学报, 2018, 44(12): 1774?1781 doi: 10.3724/SP.J.1006.2018.01774 XUE J, LI L L, XIE R Z, et al. Effect of lodging on maize grain losing and harvest efficiency in mechanical grain harvest[J]. Acta Agronomica Sinica, 2018, 44(12): 1774?1781 doi: 10.3724/SP.J.1006.2018.01774 |
[19] | 赵波, 吴雅薇, 袁继超, 等. 四川省夏玉米生理成熟后穗下茎秆倒折位置分析[J]. 中国农业大学学报, 2021, 26(1): 18?25 doi: 10.11841/j.issn.1007-4333.2021.01.02 ZHAO B, WU Y W, YUAN J C, et al. Analysis of the position of the stalk lodging under ear after physiological maturity of Sichuan summer maize[J]. Journal of China Agricultural University, 2021, 26(1): 18?25 doi: 10.11841/j.issn.1007-4333.2021.01.02 |
[20] | ROBERTSON D, SMITH S, GARDUNIA B, et al. An improved method for accurate phenotyping of corn stalk strength[J]. Crop Science, 2014, 54(5): 2038?2044 doi: 10.2135/cropsci2013.11.0794 |
[21] | JAMPATONG S, DARRAH L L, KRAUSE G F, et al. Effect of one- and two-eared selection on stalk strength and other characters in maize[J]. Crop Science, 2000, 40(3): 605?611 doi: 10.2135/cropsci2000.403605x |
[22] | 丰光, 刘志芳, 吴宇锦, 等. 玉米抗倒性与茎秆穿刺力和拉力关系的初步研究[J]. 玉米科学, 2010, 18(6): 19?23 FENG G, LIU Z F, WU Y J, et al. Primary study on correlation between corn variety lodging resistances and its stem puncture-pull strength[J]. Journal of Maize Sciences, 2010, 18(6): 19?23 |
[23] | XUE J, ZHAO Y S, GOU L, et al. How high plant density of maize affects basal internode development and strength formation[J]. Crop Science, 2016, 56(6): 3295?3306 doi: 10.2135/cropsci2016.04.0243 |
[24] | ANDERSON B. Evaluation of methods for identification of corn genotypes with stalk rot and lodging resistance[J]. Plant Disease, 1994, 78(6): 590 doi: 10.1094/PD-78-0590 |
[25] | 刘晓林, 马晓君, 豆攀, 等. 种植密度对川中丘陵夏玉米茎秆性状及产量的影响[J]. 中国生态农业学报, 2017, 25(3): 356?364 LIU X L, MA X J, DOU P, et al. Effect of planting density on stem characteristics and yield of summer maize in the Hilly Central Sichuan Basin, China[J]. Chinese Journal of Eco-Agriculture, 2017, 25(3): 356?364 |
[26] | 姚敏娜, 施志国, 薛军, 等. 种植密度对玉米茎秆皮层结构及抗倒伏能力的影响[J]. 新疆农业科学, 2013, 50(11): 2006?2014 YAO M N, SHI Z G, XUE J, et al. The effects of different planting densities on the cortex structure of steam and lodging resistance in maize[J]. Xinjiang Agricultural Sciences, 2013, 50(11): 2006?2014 |
[27] | 程云, 王枟刘, 杨静, 等. 种植密度对夏玉米基部节间性状与倒伏的影响[J]. 玉米科学, 2015, 23(5): 112?116 CHENG Y, WANG T L, YANG J, et al. Effects of planting density on characteristics of basal internodes and lodging in summer maize[J]. Journal of Maize Sciences, 2015, 23(5): 112?116 |