白小明,,
朱雅楠,
张毓婧,
闫玉邦,
张才忠,
李玉杰
甘肃农业大学草业学院/草业生态系统教育部重点实验室/甘肃省草业工程实验室/中美草地畜牧业可持续发展研究中心 兰州 730070
基金项目: 国家自然科学基金项目31560667
甘肃省林草局草原生态修复治理科技支撑项目GSLC-2020-3
详细信息
作者简介:袁娅娟, 主要研究方向为草地生物多样性。E-mail: 1239412646@qq.com
通讯作者:白小明, 主要从事草坪科学研究。E-mail: baixm@gsau.edu.cn
中图分类号:S688.4计量
文章访问数:73
HTML全文浏览量:20
PDF下载量:13
被引次数:0
出版历程
收稿日期:2020-12-09
录用日期:2021-03-15
刊出日期:2021-08-01
Correlation between the rhizome expansion ability and endogenous hormones contents of wild Poa pratensis in Gansu Province
YUAN Yajuan,BAI Xiaoming,,
ZHU Yanan,
ZHANG Yujing,
YAN Yubang,
ZHANG Caizhong,
LI Yujie
College of Grassland Science, Gansu Agricultural University/Key Laboratory of Grassland Ecosystem, Ministry of Education/Pratacultural Engineering Laboratory of Gansu Province/Sino-U.S. Center for Grazingland Ecosystem Sustainability, Lanzhou 730070, China
Funds: the National Natural Science Foundation of China31560667
the Science and Technology Support Project of Grassland Ecological Restoration and Management of Gansu Forestry and Grass BureauGSLC-2020-3
More Information
Corresponding author:BAI Xiaoming, E-mail: baixm@gsau.edu.cn
摘要
HTML全文
图
参考文献
相关文章
施引文献
资源附件
访问统计
摘要
摘要:草地早熟禾(Poa pratensis)是典型的根茎型禾草,根茎作为其营养物质储藏和营养繁殖的重要器官,在提高植株地表侵占能力及地下固土能力方面具有重要作用。根茎的发生和发育与内源激素密切相关,本试验以采自甘肃境内9个不同生态型的野生草地早熟禾为试验材料,以‘午夜Ⅱ’草地早熟禾为对照,分析根茎扩展能力与内源激素含量间的相关性,以期揭示草地早熟禾根茎扩展的激素调控机理,为草地早熟禾新品种选育和草坪养护管理提供理论和实践依据。结果表明:1)不同生态型野生草地早熟禾根茎扩展能力存在显著差异,榆中草地早熟禾的分蘖数、根茎数、地上生物量和茎节长最大;西和草地早熟禾的覆盖面积、最长根茎和根茎生物量表现最优,供试不同生态型草地早熟禾材料根茎综合扩展能力由强到弱依次为榆中>西和> ‘午夜Ⅱ’ >渭源>灵台>清水>肃南>秦州>夏河>安定。2)内源激素在草地早熟禾根茎和茎基的分布存在差异,GA3、IAA和ABA含量均为根茎>茎基,ZT含量为茎基>根茎,且两个部位GA3含量均高于其余激素。3)相关性分析显示,草地早熟禾根茎扩展能力与ZT含量、茎基ZT/ABA和IAA/ABA极显著正相关(P < 0.01),与根茎GA3/IAA显著负相关(P < 0.05),与IAA、GA3和ABA含量相关性不显著(P>0.05)。综上,榆中草地早熟禾根茎扩展性最强,且优于‘午夜Ⅱ’草地早熟禾(对照),可作为扩展能力强草地早熟禾新品种选育的优良材料;ZT含量和IAA/ABA与ZT/ABA的比值越高,GA3/IAA比值越低,越有利于草地早熟禾根茎扩展。
关键词:草地早熟禾/
生态型/
根茎/
扩展能力/
内源激素
Abstract:Poa pratensis is a typical rhizome grass, of which rhizome is an important organ for nutrient storage and vegetative reproduction that plays an important role in improving plant surface invasion and underground soil consolidation. The occurrence and development of rhizomes are closely related to endogenous hormones. This study investigated the hormone regulation mechanism of rhizome expansion by examining the correlation between the rhizome expansion ability and endogenous hormones contents in nine ecotypes of wild P. pratensis from different areas of Gansu Province and 'Midnight Ⅱ' P. pratensis (the control). The purpose of this study was to provide a theoretical and practical basis for new variety breeding and lawn maintenance and management of P. pratensis. The results indicated that: 1) there were differences in the rhizome expansion ability among the wild P. pratensis ecotypes. P. pratensis from Yuzhong had the largest tiller number, rhizome number, aboveground biomass, and stem node length, whereas P. pratensis from Xihe had the largest coverage area, longest rhizome, and highest rhizome biomass. The rhizome expansion ability of P. pratensis from strong to weak was P. pratensis from Yuzhong > from Xihe > from 'Midnight Ⅱ' > from Weiyuan > from Lingtai > from Qingshui > from Sunan > from Qinzhou > from Xiahe > from Anding. 2) The distribution of endogenous hormones in the rhizome and stem base of P. pratensis was significantly different; the gibberellic acid (GA3), indole-3-acetic acid (IAA), and abscisic acid (ABA) contents were rhizome > stem base; the zeatin (ZT) content was stem base > rhizome; and the GA3 content in the two parts was significantly higher than that of the other hormones. 3) Correlation analysis showed that the rhizome expansion ability of P. pratensis was positively correlated with the ZT content, stem base ZT/ABA, and IAA/ABA (P < 0.05) but negatively correlated with rhizome GA3/IAA (P < 0.05). However, there were no correlations between the IAA, GA3, and ABA contents. In summary, P. pratensis from Yuzhong, which has better rhizome expansion ability than 'Midnight Ⅱ', is good for variety breeding; the higher ZT content and ratio of IAA/ABA to ZT/ABA and the lower GA3/IAA ratio are beneficial to the rhizome expansion.
Key words:Poa pratensis/
Ecological type/
Rhizome/
Expansion ability/
Endogenous hormones
HTML全文

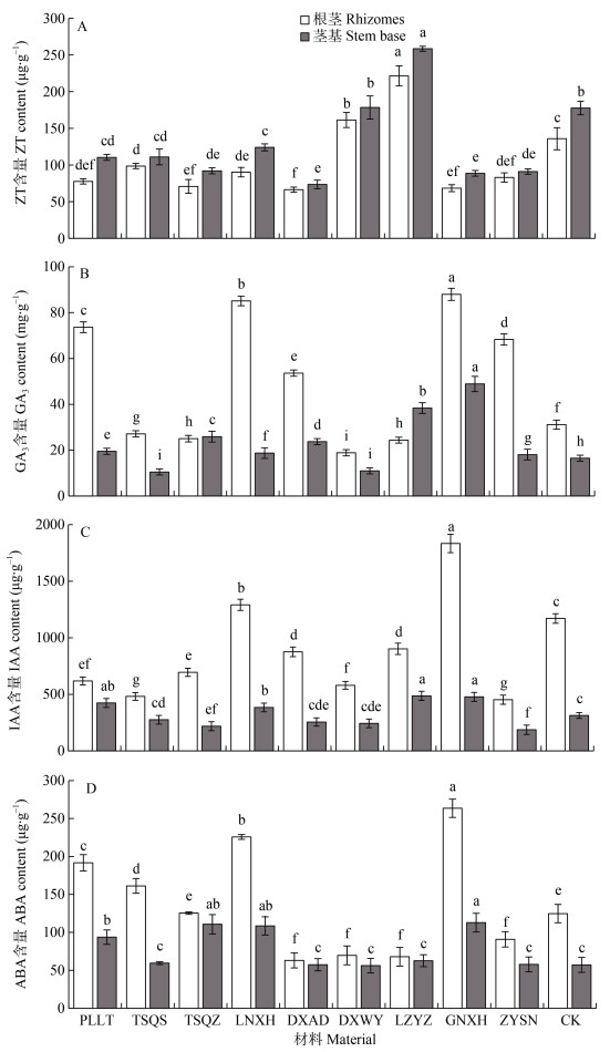
图1供试草地早熟禾材料玉米素(ZT, A)、赤霉素(GA3, B)、生长素(IAA, C)和脱落酸(ABA, D)含量
材料名称详见表 1。不同小写字母表示不同材料在P < 0.05水平差异显著。
Figure1.Zeatin (ZT, A), gibberellin (GA3, B), auxin (IAA, C) and abscisic acid (ABA, D) contents of different materials of Poa pratensis
The names of the material are shown in the table 1. Different lowercase letters indicate significant differences at P < 0.05 level among different materials.

表1供试的10个草地早熟禾材料
Table1.Information of 10 tested materials of Poa pratensis
材料名称 Material name | 编号 Code | 采集地Collection site | ||||||
地点 Location | 海拔 Altitude (m) | 经度 Longitude | 纬度 Latitude | 年均降水量 Average annual precipitation (mm) | 年均温 Average annual temperature (℃) | 生境 Habitat | ||
野生草地早熟禾 Wild Poa pratensis | PLLT | 甘肃省灵台县 Lingtai, Gansu | 1227 | 107°62′E | 35°07′N | 586.3 | 9.4 | 渠边 Canal side |
TSQS | 甘肃省清水县 Qingshui, Gansu | 1501 | 106°12′E | 34°7′3N | 564.5 | 9.3 | 河谷 Valley | |
TSQZ | 甘肃省秦州区 Qinzhou, Gansu | 1723 | 104°35′E | 34°05′N | 531 | 10.72 | 河谷 Valley | |
LNXH | 甘肃省西和县 Xihe, Gansu | 1250 | 105°30′E | 34°02′N | 533 | 8.4 | 山坡 Hill side | |
DXAD | 甘肃省安定区 Anding, Gansu | 2035 | 104°62′E | 35°58′N | 377 | 7.2 | 山坡 Hill side | |
DXWY | 甘肃省渭源县 Weiyuan, Gansu | 2401 | 104°05′E | 35°02′N | 500 | 6.8 | 路边 Roadside | |
LZYZ | 甘肃省榆中县 Yuzhong, Gansu | 1965 | 104°04′E | 35°48′N | 400 | 6.6 | 沟底 Ditch | |
GNXH | 甘肃省夏河县 Xiahe, Gansu | 3140 | 102°60′E | 34°80′N | 516 | 2.6 | 高寒草甸 Alpine meadow | |
ZYSN | 甘肃省肃南县 Sunan, Gansu | 2950 | 99°52′E | 38°48′N | 257.21 | 4.2 | 高山草原 Alpine grasslands | |
商用‘午夜Ⅱ’ Marketed ‘Midnight Ⅱ’ | WY(CK) |

表2激素HPLC分析流动相梯度组成
Table2.Analysis of gradient composition of mobile phase by hormone HPLC
时间 Time (min) | 流动相A Flow phase A (%) | 流动相B Flow phase B (%) |
0.00 | 10.0 | 90.0 |
1.00 | 45.0 | 55.0 |
3.00 | 55.0 | 45.0 |
5.00 | 65.0 | 35.0 |
8.00 | 75.0 | 25.0 |
12.00 | 10.0 | 90.0 |
14.00 | 10.0 | 90.0 |

表34种激素的出峰时间及线性方程
Table3.Peak times and linear equations of four hormones
激素 Hormone | 出峰时间 Peak time (min) | 回归方程 Regression equation | R2 |
玉米素ZT | 4.280 | Y=1.66×104X-1.98×103 | 0.999 943 |
赤霉素GA3 | 6.030 | Y=4.36×10X+1.34×103 | 0.999 464 |
生长素IAA | 7.987 | Y=4.58×103X-2.94×102 | 0.999 965 |
脱落酸ABA | 8.794 | Y=2.60×104X-2.70×103 | 0.999 934 |

表4供试草地早熟禾材料根茎扩展性指标比较
Table4.Comparison of different indexes of rhizome expansion of different materials of Poa pratensis
材料 Material | 覆盖面积 Coverage area (cm2·plant–1) | 分蘖数 Tillers number | 地上生物量 Aboveground biomass (g·plant–1) | 根茎数 Number of rhizomes | 茎节长 Stem internode length (cm) | 最长根茎 Longest rhizome (cm) | 根茎生物量 Rhizomes biomass (g·plant–1) |
PLLT | 467.48±2.10c | 157.50±3.50d | 8.08±0.91b | 18.50±0.50d | 1.42±0.25cd | 9.20±0.30def | 0.40±0.04d |
TSQS | 444.85±4.73d | 116.50±5.50e | 7.22±1.45bc | 19.00±1.00d | 1.69±0.34c | 8.70±0.68ef | 0.49±0.03d |
TSQZ | 306.50±5.85g | 80.00±9.00f | 4.91±1.36cd | 12.00±2.65e | 1.65±0.12c | 13.07±1.46bc | 0.26±0.03e |
LNXH | 662.89±4.44a | 173.33±5.03c | 11.36±0.73a | 60.50±0.50b | 2.43±0.19ab | 17.17±1.19a | 1.70±0.11a |
DXAD | 281.90±3.77h | 92.50±4.50f | 4.54±2.44de | 12.50±3.50e | 1.03±0.39d | 9.47±0.65def | 0.20±0.03e |
DXWY | 323.61±5.51f | 213.67±6.81b | 6.97±1.52bcd | 71.50±6.50a | 1.66±0.25c | 11.03±0.92cde | 0.69±0.03c |
LZYZ | 547.05±4.39b | 325.00±15.00a | 11.73±1.79a | 76.00±3.61a | 2.78±0.35a | 16.53±1.55a | 1.66±0.02a |
GNXH | 123.17±5.64j | 82.50±2.50f | 2.18±0.06e | 16.00±1.00de | 1.37±0.08cd | 8.33±1.04f | 0.25±0.05e |
ZYSN | 265.26±5.53i | 164.50±8.50cd | 4.34±1.83de | 17.00±1.00de | 1.57±0.44c | 11.20±2.08cd | 0.16±0.04e |
CK | 334.55±3.62e | 211.00±4.00b | 7.46±0.90bc | 53.50±2.50c | 2.19±0.07b | 14.17±1.59b | 1.44±0.16b |
材料名称详见表 1。同列不同小写字母表示同一指标不同材料间差异显著(P < 0.05)。The names of material are shown in the table 1. Different lowercase letters in the same column indicate that there are significant differences at P < 0.05 level in the same index among different materials. |

表5供试草地早熟禾材料根茎扩展性综合评价
Table5.Comprehensive evaluation of expansion ability of different materials of Poa pratensis
材料 Material | 隶属函数值Value of subordinate function (SF) | 平均隶属度 Average SF | 排序 Order | ||||||
覆盖面积 Coverage area | 分蘖数 Tiller number | 地上生物量 Aboveground biomass | 根茎数 Number of rhizomes | 茎节长 Stem internode length | 最长根茎 Longest rhizome | 根茎生物量 Rhizomes biomass | |||
PLLT | 0.6379 | 0.3163 | 0.6171 | 0.1016 | 0.2237 | 0.0981 | 0.4456 | 0.3607 | 5 |
TSQS | 0.5960 | 0.1490 | 0.5271 | 0.1094 | 0.3748 | 0.0453 | 0.4203 | 0.3303 | 6 |
TSQZ | 0.3397 | 0.0000 | 0.2852 | 0.0000 | 0.3537 | 0.5359 | 0.0294 | 0.1967 | 8 |
LNXH | 1.0000 | 0.3809 | 0.9609 | 0.7578 | 0.8030 | 1.0000 | 0.5434 | 0.7487 | 2 |
DXAD | 0.0000 | 0.0102 | 0.0000 | 0.0625 | 0.1931 | 0.0000 | 0.0000 | 0.0332 | 10 |
DXWY | 0.3714 | 0.5456 | 0.5012 | 0.9297 | 0.3576 | 0.3057 | 0.2788 | 0.4461 | 4 |
LZYZ | 0.7854 | 1.0000 | 1.0000 | 1.0000 | 1.0000 | 0.9283 | 1.0000 | 0.9642 | 1 |
GNXH | 0.2941 | 0.0510 | 0.2471 | 0.0078 | 0.0000 | 0.1283 | 0.0272 | 0.0978 | 9 |
ZYSN | 0.2633 | 0.3449 | 0.2262 | 0.0781 | 0.3078 | 0.3245 | 0.0236 | 0.1990 | 7 |
CK | 0.3916 | 0.5347 | 0.5529 | 0.6484 | 0.6635 | 0.6604 | 0.2821 | 0.5020 | 3 |
材料名称详见表 1。The names of material are shown in the table 1. |

表6草地早熟禾根茎扩展性与根茎和茎基内源激素含量相关性
Table6.Correlation between endogenous hormones contents in rhizome and stem base and expansion indexes of Poa pratensis
部位 Organ | 激素 Hormone name | 根茎扩展性 Ability of rhizome expansion | 扩展指标Expansion indexes | ||||||
覆盖面积 Coverage area | 分蘖数 Tillers number | 地上生物量 Aboveground biomass | 根茎数 Number of rhizomes | 茎节长 Internode length | 最长根茎 Longest rhizome | 根茎生物量 Rhizomes biomass | |||
根茎Rhizome | 玉米素ZT | 0.787** | 0.368 | 0.925** | 0.628* | 0.858** | 0.728* | 0.529 | 0.668* |
赤霉素GA3 | –0.229 | –0.041 | –0.352 | –0.193 | –0.343 | –0.247 | –0.161 | –0.150 | |
生长素IAA | –0.042 | –0.175 | –0.118 | –0.116 | –0.101 | –0.145 | –0.147 | –0.284 | |
脱落酸ABA | –0.084 | 0.053 | –0.411 | –0.082 | –0.251 | –0.046 | –0.147 | 0.006 | |
ZT/ABA | 0.595 | 0.209 | 0.828** | 0.455 | 0.729** | 0.507 | 0.404 | 0.442 | |
GA3/ABA | –0.354 | –0.215 | –0.123 | –0.279 | –0.303 | –0.400 | –0.168 | –0.323 | |
IAA/ABA | 0.207 | –0.074 | 0.398 | 0.119 | 0.395 | 0.190 | 0.296 | 0.310 | |
GA3/IAA | –0.606* | –0.425 | –0.635* | –0.490 | –0.672* | –0.566* | –0.512 | –0.491 | |
茎基Stem base | 玉米素ZT | 0.851** | 0.438 | 0.940** | 0.698* | 0.881** | 0.800* | 0.608 | 0.760* |
赤霉素GA3 | –0.022 | –0.303 | –0.031 | –0.225 | –0.093 | 0.057 | 0.018 | –0.017 | |
生长素IAA | 0.474 | 0.299 | 0.338 | 0.383 | 0.298 | 0.397 | 0.188 | 0.446 | |
脱落酸ABA | –0.092 | 0.039 | –0.440 | –0.098 | –0.264 | –0.036 | 0.076 | –0.064 | |
ZT/ABA | 0.677* | 0.264 | 0.891** | 0.536 | 0.799** | 0.629 | 0.433 | 0.605 | |
GA3/ABA | 0.182 | –0.175 | 0.376 | –0.003 | 0.154 | 0.218 | 0.157 | 0.154 | |
IAA/ABA | 0.617* | 0.307 | 0.760* | 0.525 | 0.577 | 0.524 | 0.251 | 0.567 | |
GA3/IAA | –0.461 | –0.577 | –0.374 | –0.592 | –0.468 | –0.286 | –0.066 | –0.448 | |
*和**表示在P < 0.05和P < 0.01水平显著相关。* and ** show significant correlations at P < 0.05 and P < 0.01 levels. |

参考文献
[1] | 胡婧, 李德颖, 朱慧森, 等. 草地早熟禾叶和根茎浸提液对3种花卉植物种子萌发的影响[J]. 草地学报, 2019, 27(1): 178-184 https://www.cnki.com.cn/Article/CJFDTOTAL-CDXU201901023.htm HU J, LI D Y, ZHU H S, et al. Effect of water extractions from the leaves and rhizomes of Kentucky bluegrass on seed germination of three herbaceous ornamentals[J]. Acta Agrestia Sinica, 2019, 27(1): 178-184 https://www.cnki.com.cn/Article/CJFDTOTAL-CDXU201901023.htm |
[2] | 易津, 李青丰, 谷安琳, 等. 根茎类禾草生物学特性研究进展[J]. 干旱区资源与环境, 2001, 15(S1): 1-16 https://www.cnki.com.cn/Article/CJFDTOTAL-GHZH2001S1000.htm YI J, LI Q F, GU A L, et al. Advances on biology characteristics the rhizomatous grasses[J]. Journal of Arid Land Resources and Environment, 2001, 15(S1): 1-16 https://www.cnki.com.cn/Article/CJFDTOTAL-GHZH2001S1000.htm |
[3] | YIN X J, YI K, ZHAO Y H, et al. Revealing the full-length transcriptome of Caucasian clover rhizome development[J]. BMC Plant Biology, 2020, 20(1): 1-15 doi: 10.1186/s12870-019-2170-7 |
[4] | 莫亿伟, 李夏杰, 王海, 等. IAA对水稻根毛形成与水通道蛋白基因表达关系的研究[J]. 中国农业科学, 2015, 48(21): 4227-4239 doi: 10.3864/j.issn.0578-1752.2015.21.004 MO Y W, LI X J, WANG H, et al. Effect of auxin treatment on root hair formation and aquaporins genes expression in root hair of rice[J]. Scientia Agricultura Sinica, 2015, 48(21): 4227-4239 doi: 10.3864/j.issn.0578-1752.2015.21.004 |
[5] | 陈润娟, 白小明, 郑文博, 等. 甘肃地区11个野生草地早熟禾材料根茎扩展性研究[J]. 草地学报, 2019, 27(5): 1250-1258 https://www.cnki.com.cn/Article/CJFDTOTAL-CDXU201905018.htm CHEN R J, BAI X M, ZHENG W B, et al. Study on rhizomes extensibility of 11 wild Kentucky bluegrass collected in Gansu Province[J]. Acta Agrestia Sinica, 2019, 27(5): 1250-1258 https://www.cnki.com.cn/Article/CJFDTOTAL-CDXU201905018.htm |
[6] | TAO D, HU F, YANG Y, et al. A rhizomatous individual obtained from interspecific BC1F1 progenies between Oryza sativa and O. longistaminata[M]//Advances in Rice Genetics. Singapore: World Scientific Publishing Company, 2008: 151-152 |
[7] | SACKS E J, DHANAPALA M P, TAO D Y, et al. Breeding for perennial growth and fertility in an Oryza sativa/O. longistaminata population[J]. Field Crops Research, 2006, 95(1): 39-48 doi: 10.1016/j.fcr.2005.01.021 |
[8] | 贾丽欣, 杨阳, 张峰, 等. 不同载畜率下短花针茅分蘖数量对内源激素浓度的响应[J]. 生态学报, 2019, 39(7): 2391-2397 https://www.cnki.com.cn/Article/CJFDTOTAL-STXB201907012.htm JIA L X, YANG Y, ZHANG F, et al. Response in tiller numbers of Stipa breviflora to endogenous hormone concentration under different stocking rates[J]. Acta Ecologica Sinica, 2019, 39(7): 2391-2397 https://www.cnki.com.cn/Article/CJFDTOTAL-STXB201907012.htm |
[9] | YIN C, GAN L, ZHOU X, et al. Decreased panicle-derived indole-3-acetic acid reduces gibberellin A1 level in the uppermost internode, causing panicle enclosure in male sterile rice Zhenshan 97A[J]. Journal of Experimental Botany, 2007, 58(10): 2441-2449 doi: 10.1093/jxb/erm077 |
[10] | Yoshiaki I, Tomoaki S, Miyako U T, et al. Crown rootless1, which is essential for crown root formation in rice, is a target of an AUXIN RESPONSE FACTOR in auxin signaling[J]. The Plant Cell, 2005, 17(5): 1387-1396 doi: 10.1105/tpc.105.030981 |
[11] | FERGUSON B J, BEVERIDGE C A. Roles for auxin, cytokinin, and strigolactone in regulating shoot branching[J]. Plant Physiology, 2009, 149(4): 1929-1944 doi: 10.1104/pp.109.135475 |
[12] | 黄升财, 王冰, 谢国强, 等. 赤霉素GA4是水稻矮化特征的重要调节因子[J]. 中国农业科学, 2019, 52(5): 786-800 https://www.cnki.com.cn/Article/CJFDTOTAL-ZNYK201905002.htm HUANG S C, WANG B, XIE G Q, et al. Enrichment profile of GA4 is an important regulatory factor triggering rice dwarf[J]. Scientia Agricultura Sinica, 2019, 52(5): 786-800 https://www.cnki.com.cn/Article/CJFDTOTAL-ZNYK201905002.htm |
[13] | LI X S, SONG L L. The role of ABA in the responses of wild-type and abscisic acid mutants of Arabidopsis thaliana to excess zinc[J]. Acta Physiologiae Plantarum, 2020, 42(5): 1-8 |
[14] | SALAZAR-CHAVARRíA V, SáNCHEZ-NIETO S, CRUZ-ORTEGA R. Fagopyrum esculentum at early stages copes with aluminum toxicity by increasing ABA levels and antioxidant system[J]. Plant Physiology and Biochemistry, 2020, 152: 170-176 doi: 10.1016/j.plaphy.2020.04.024 |
[15] | 罗丹丹, 王传宽, 金鹰. 植物应对干旱胁迫的气孔调节[J]. 应用生态学报, 2019, 30(12): 4333-4343 https://www.cnki.com.cn/Article/CJFDTOTAL-YYSB201912038.htm LUO D D, WANG C K, JIN Y. Stomatal regulation of plants in response to drought stress[J]. Chinese Journal of Applied Ecology, 2019, 30(12): 4333-4343 https://www.cnki.com.cn/Article/CJFDTOTAL-YYSB201912038.htm |
[16] | 刘海英, 冯必得, 茹振钢, 等. BNS和BNS366小麦雄性不育与内源激素的关系[J]. 中国农业科学, 2021, 54(1): 1-18 https://www.cnki.com.cn/Article/CJFDTOTAL-ZWYC201605018.htm LIU H Y, FENG B D, RU Z G, et al. Relationship between phytohormones and male sterility of BNS and BNS366 in wheat[J]. Scientia Agricultura Sinica, 2021, 54(1): 1-18 https://www.cnki.com.cn/Article/CJFDTOTAL-ZWYC201605018.htm |
[17] | 万泽花, 任佰朝, 赵斌, 等. 不同熟期夏玉米品种籽粒灌浆脱水特性和激素含量变化[J]. 作物学报, 2019, 45(9): 1446-1453 https://www.cnki.com.cn/Article/CJFDTOTAL-XBZW201909017.htm WAN Z H, REN B Z, ZHAO B, et al. Grain filling, dehydration characteristics and changes of endogenous hormones of summer maize hybrids differing in maturities[J]. Acta Agronomica Sinica, 2019, 45(9): 1446-1453 https://www.cnki.com.cn/Article/CJFDTOTAL-XBZW201909017.htm |
[18] | 林艳艳, 杨雪梅, 杨云贵. 五氨基乙酰丙酸对逆境下草地早熟禾萌发及生长的影响[J]. 草地学报, 2017, 25(4): 782-789 https://www.cnki.com.cn/Article/CJFDTOTAL-CDXU201704014.htm LIN Y Y, YANG X M, YANG Y G. Effects of 5-ALA on seed germination and growth of Poa pratensis under abiotic stress[J]. Acta Agrestia Sinica, 2017, 25(4): 782-789 https://www.cnki.com.cn/Article/CJFDTOTAL-CDXU201704014.htm |
[19] | BUSHMAN B S, ROBBINS M D, ROBINS J G, et al. Response to salt stress imposed on cultivars of three turfgrass species: Poa pratensis, Lolium perenne, and Puccinellia distans[J]. Crop Science, 2020, 60(3): 1648-1659 doi: 10.1002/csc2.20014 |
[20] | 魏巍, 周娟娟, 桑旦, 等. 藏北野生驯化早熟禾的生产性能和品质评价[J]. 作物杂志, 2019, (5): 76-81 https://www.cnki.com.cn/Article/CJFDTOTAL-ZWZZ201905014.htm WEI W, ZHOU J J, SANG D, et al. Evaluation of productivity and quality of wild domestication Poa annua L. in northern Tibet[J]. Crops, 2019, (5): 76-81 https://www.cnki.com.cn/Article/CJFDTOTAL-ZWZZ201905014.htm |
[21] | 周艳明, 忻雪. 高效液相色谱法测定果蔬中7种植物激素的残留量[J]. 食品科学, 2010, 31(18): 301-304 ZHOU Y M, XIN X. Determination of plant hormone residues in vegetables and fruits by high performance liquid chromatography[J]. Food Science, 2010, 31(18): 301-304 |
[22] | 王杏, 周小倩, 刘超, 等. 高效液相色谱法同时测定果蔬中6种植物激素的残留[J]. 食品安全质量检测学报, 2018, 9(20): 5376-5380 doi: 10.3969/j.issn.2095-0381.2018.20.018 WANG X, ZHOU X Q, LIU C, et al. Determination of 6 kinds of plant hormones residues in fruits and vegetables by high performance liquid chromatography[J]. Journal of Food Safety & Quality, 2018, 9(20): 5376-5380 doi: 10.3969/j.issn.2095-0381.2018.20.018 |
[23] | 杨途熙, 魏安智, 郑元, 等. 高效液相色谱法同时分离测定仁用杏花芽中8种植物激素[J]. 分析化学, 2007, 35(9): 1359-1361 doi: 10.3321/j.issn:0253-3820.2007.09.026 YANG T X, WEI A Z, ZHENG Y, et al. Simultaneous determination of 8 endogenous hormones in apricot floral bud by high performance liquid chromatography[J]. Chinese Journal of Analytical Chemistry, 2007, 35(9): 1359-1361 doi: 10.3321/j.issn:0253-3820.2007.09.026 |
[24] | 陈仁伟, 张晓煜, 丁琦, 等. 基于差热分析技术的4个酿酒葡萄品种不同部位抗寒性综合评价[J]. 中国生态农业学报(中英文), 2020, 28(7): 1022-1032 https://www.cnki.com.cn/Article/CJFDTOTAL-ZGTN202007009.htm CHEN R W, ZHANG X Y, DING Q, et al. Comprehensive evaluation of cold resistance in different parts of four wine grape varieties based on different thermal analysis[J]. Chinese Journal of Eco-Agriculture, 2020, 28(7): 1022-1032 https://www.cnki.com.cn/Article/CJFDTOTAL-ZGTN202007009.htm |
[25] | 柴琦, 王彦荣, 孙建华. 坪用草地早熟禾28个品种扩展性的比较研究[J]. 草业学报, 2002, 11(4): 81-87 doi: 10.3321/j.issn:1004-5759.2002.04.013 CHAI Q, WANG Y R, SUN J H. Studies on expanding capacity of 28 turf-type varieties of Kentucky bluegrass[J]. Acta Pratacultural Science, 2002, 11(4): 81-87 doi: 10.3321/j.issn:1004-5759.2002.04.013 |
[26] | 孙建华, 王彦荣, 李世雄. 草地早熟禾不同品种生长与分蘖特性的研究[J]. 草业学报, 2003, 12(4): 20-25 doi: 10.3321/j.issn:1004-5759.2003.04.004 SUN J H, WANG Y R, LI S X. A comparison on growing and tiller characteristics among varieties of Poa pratensis[J]. Acta Pratacultural Science, 2003, 12(4): 20-25 doi: 10.3321/j.issn:1004-5759.2003.04.004 |
[27] | 焦德志, 姜秋旭, 曹瑞, 等. 扎龙湿地不同生境芦苇种群根茎数量特征及动态[J]. 生态学报, 2018, 38(10): 3432-3440 https://www.cnki.com.cn/Article/CJFDTOTAL-STXB201810008.htm JIAO D Z, JIANG Q X, CAO R, et al. Quantitative characteristics and dynamics of the rhizome of Phragmites australis populations in heterogeneous habitats in the Zhalong Wetland[J]. Acta Ecologica Sinica, 2018, 38(10): 3432-3440 https://www.cnki.com.cn/Article/CJFDTOTAL-STXB201810008.htm |
[28] | 白乌云, 侯向阳, 武自念, 等. 地理气候因素对羊草性状分化的影响[J]. 干旱区资源与环境, 2020, 34(11): 138-142 https://www.cnki.com.cn/Article/CJFDTOTAL-GHZH202011021.htm BAI W Y, HOU X Y, WU Z N, et al. Effects of geographical and climatic factors on traits differentiation of Leymus chinensis[J]. Journal of Arid Land Resources and Environment, 2020, 34(11): 138-142 https://www.cnki.com.cn/Article/CJFDTOTAL-GHZH202011021.htm |
[29] | 李阳, 魏继平, 马红媛. 不同种源羊草表型差异性[J]. 生态学报, 2020, 40(4): 1175-1183 https://www.cnki.com.cn/Article/CJFDTOTAL-STXB202004005.htm LI Y, WEI J P, MA H Y. Variations of phenotypic characteristics in Leymus chinensis among different provenances[J]. Acta Ecologica Sinica, 2020, 40(4): 1175-1183 https://www.cnki.com.cn/Article/CJFDTOTAL-STXB202004005.htm |
[30] | 陈林, 苏莹, 李月飞, 等. 荒漠草原土壤相对湿度对猪毛蒿表型可塑性的影响[J]. 生态学报, 2019, 39(10): 3547-3556 https://www.cnki.com.cn/Article/CJFDTOTAL-STXB201910013.htm CHEN L, SU Y, LI Y F, et al. Effects of heterogeneous habitats on phenotypic plasticity of Artemisia scoparia in the desert steppe of China[J]. Acta Ecologica Sinica, 2019, 39(10): 3547-3556 https://www.cnki.com.cn/Article/CJFDTOTAL-STXB201910013.htm |
[31] | 牛雪婧, 聂靖, 赵雪利, 等. 河北木蓝的叶表型可塑性研究[J]. 植物科学学报, 2020, 38(1): 97-104 https://www.cnki.com.cn/Article/CJFDTOTAL-WZXY202001011.htm NIU X J, NIE J, ZHAO X L, et al. Leaf-level phenotypic plasticity of Indigofera bungeana Walp[J]. Plant Science Journal, 2020, 38(1): 97-104 https://www.cnki.com.cn/Article/CJFDTOTAL-WZXY202001011.htm |
[32] | 吕剑, 喻景权. 植物生长素的作用机制[J]. 植物生理学通讯, 2004, 40(5): 624-628 https://www.cnki.com.cn/Article/CJFDTOTAL-ZWSL200405042.htm Lü J, YU J Q. Mechanism of auxin action[J]. Plant Physiology Communications, 2004, 40(5): 624-628 https://www.cnki.com.cn/Article/CJFDTOTAL-ZWSL200405042.htm |
[33] | 袁冰剑, 张森磊, 曹萌萌, 等. 脱落酸通过影响生长素合成及分布抑制拟南芥主根伸长[J]. 中国生态农业学报, 2014, 22(11): 1341-1347 doi: 10.13930/j.cnki.cjea.140240 YUAN B J, ZHANG S L, CAO M M, et al. ABA modulates root growth through regulating auxin in Arabidopsis thaliana[J]. Chinese Journal of Eco-Agriculture, 2014, 22(11): 1341-1347 doi: 10.13930/j.cnki.cjea.140240 |
[34] | 张志勇, 王素芳, 田晓莉, 等. 生长素调节植物侧根发育过程的机制[J]. 作物杂志, 2009, (1): 11-13 doi: 10.3969/j.issn.1001-7283.2009.01.004 ZHANG Z Y, WANG S F, TIAN X L, et al. Mechanisms of regulation of auxin on plant lateral root development[J]. Crops, 2009, (1): 11-13 doi: 10.3969/j.issn.1001-7283.2009.01.004 |
[35] | THIMANN K V, SKOOG F. Studies on the growth hormone of plants: Ⅲ. the inhibiting action of the growth substance on bud development[J]. PNAS, 1933, 19(7): 714-716 doi: 10.1073/pnas.19.7.714 |
[36] | 吕享, 叶睿华, 田海露, 等. 生长素介导细胞分裂素(玉米素)调控杜鹃兰侧芽萌发[J]. 农业生物技术学报, 2018, 26(11): 1872-1879 https://www.cnki.com.cn/Article/CJFDTOTAL-NYSB201811007.htm LYU X, YE R H, TIAN H L, et al. Auxin regulated lateral buds germination in Cremastra appendiculata via the regulation of cytokinin (zeatin)[J]. Journal of Agricultural Biotechnology, 2018, 26(11): 1872-1879 https://www.cnki.com.cn/Article/CJFDTOTAL-NYSB201811007.htm |
[37] | 何旭升, 李麟坤, 赵方东, 等. 日本结缕草(Zoysia japonica)修剪后组织与器官再生过程的分子机制[J]. 分子植物育种, 2018, 16(11): 3745-3751 https://www.cnki.com.cn/Article/CJFDTOTAL-FZZW201811052.htm HE X S, LI L K, ZHAO F D, et al. Molecular mechanism of tissue and organs regeneration after cutting in Zoysia japonica[J]. Molecular Plant Breeding, 2018, 16(11): 3745-3751 https://www.cnki.com.cn/Article/CJFDTOTAL-FZZW201811052.htm |
[38] | 张锁科, 马晖玲. 激素调控草地早熟禾分蘖及品种间分蘖力比较研究[J]. 草地学报, 2015, 23(2): 316-321 https://www.cnki.com.cn/Article/CJFDTOTAL-CDXU201502015.htm ZHANG S K, MA H L. Hormone regulation and tillering ability of different Kentucky bluegrass varieties[J]. Acta Agrestia Sinica, 2015, 23(2): 316-321 https://www.cnki.com.cn/Article/CJFDTOTAL-CDXU201502015.htm |
[39] | 朱晓琛, 张汉马, 南文斌. 脱落酸调控植物根系生长发育的研究进展[J]. 植物生理学报, 2017, 53(7): 1123-1130 https://www.cnki.com.cn/Article/CJFDTOTAL-ZWSL201707002.htm ZHU X C, ZHANG H M, NAN W B. Research progress on regulation of ABA in plant root development[J]. Plant Physiology Journal, 2017, 53(7): 1123-1130 https://www.cnki.com.cn/Article/CJFDTOTAL-ZWSL201707002.htm |
[40] | 衣琨, 赵一航, 胡尧, 等. GA3和6-BA对高加索三叶草根蘖芽生长及内源激素含量的影响[J]. 草业学报, 2020, 29(2): 22-30 https://www.cnki.com.cn/Article/CJFDTOTAL-CYXB202002003.htm YI K, ZHAO Y H, HU Y, et al. Effect of GA3 and 6-BA on rhizome segment growth and endogenous hormone content of Caucasian clover[J]. Acta Prataculturae Sinica, 2020, 29(2): 22-30 https://www.cnki.com.cn/Article/CJFDTOTAL-CYXB202002003.htm |
[41] | 刘杨, 丁艳锋, 王强盛, 等. 植物生长调节剂对水稻分蘖芽生长和内源激素变化的调控效应[J]. 作物学报, 2011, 37(4): 670-676 https://www.cnki.com.cn/Article/CJFDTOTAL-XBZW201104014.htm LIU Y, DING Y F, WANG Q S, et al. Effect of plant growth regulators on the growth of rice tiller bud and the changes of endogenous hormones[J]. Acta Agronomica Sinica, 2011, 37(4): 670-676 https://www.cnki.com.cn/Article/CJFDTOTAL-XBZW201104014.htm |
[42] | 马兴林, 梁振兴. 冬小麦分蘖衰亡过程中内源激素作用的研究[J]. 作物学报, 1997, 23(2): 200-207 doi: 10.3321/j.issn:0496-3490.1997.02.011 MA X L, LIANG Z X. Studies on the effects of endogeneous hormones in winter wheat tillers during the course of senescence[J]. Acta Agronomica Sinica, 1997, 23(2): 200-207 doi: 10.3321/j.issn:0496-3490.1997.02.011 |
[43] | 李金梅, 张伟, 赵威军, 等. 喷施赤霉素对甜高粱控蘖效果的影响[J]. 中国农学通报, 2019, 35(22): 10-13 doi: 10.11924/j.issn.1000-6850.casb18030067 LI J M, ZHANG W, ZHAO W J, et al. Effects of spraying gibberellin on controlling tillers of sweet Sorghum[J]. Chinese Agricultural Science Bulletin, 2019, 35(22): 10-13 doi: 10.11924/j.issn.1000-6850.casb18030067 |
[44] | 王晓叶, 王力源, 刘兴菊, 等. 白榆D33雄性不育花芽发育的形态及内源激素的动态变化[J]. 西北林学院学报, 2019, 34(4): 76-81, 90 doi: 10.3969/j.issn.1001-7461.2019.04.11 WANG X Y, WANG L Y, LIU X J, et al. Morphological development and dynamic changes of endogenous hormones in male sterile buds of D33 of Ulmus pumila[J]. Journal of Northwest Forestry University, 2019, 34(4): 76-81, 90 doi: 10.3969/j.issn.1001-7461.2019.04.11 |
[45] | 蔡铁, 徐海成, 尹燕枰, 等. 外源IAA、GA3和ABA影响不同穗型小麦分蘖发生的机制[J]. 作物学报, 2013, 39(10): 1835-1842 https://www.cnki.com.cn/Article/CJFDTOTAL-XBZW201310017.htm CAI T, XU H C, YIN Y P, et al. Mechanisms of tiller occurrence affected by exogenous IAA, GA3, and ABA in wheat with different spike-types[J]. Acta Agronomica Sinica, 2013, 39(10): 1835-1842 https://www.cnki.com.cn/Article/CJFDTOTAL-XBZW201310017.htm |
[46] | PHILLIPS I J. Apical dominance[J]. Annual Review of Plant Physiology, 1975, 26(1): 341-367 doi: 10.1146/annurev.pp.26.060175.002013 |
[47] | 郑钏, 杨颖增, 罗晓峰, 等. 植物激素ABA调控植物根系生长的研究进展[J]. 植物科学学报, 2019, 37(5): 690-698 https://www.cnki.com.cn/Article/CJFDTOTAL-WZXY201905018.htm ZHENG C, YANG Y Z, LUO X F, et al. Current understanding of the roles of phytohormone abscisic acid in the regulation of plant root growth[J]. Plant Science Journal, 2019, 37(5): 690-698 https://www.cnki.com.cn/Article/CJFDTOTAL-WZXY201905018.htm |
[48] | 郝艳玲, 张紫晋, 粟永英, 等. 西南麦区高产多穗型小麦单株分蘖特征研究[J]. 核农学报, 2016, 30(11): 2248-2257 doi: 10.11869/j.issn.100-8551.2016.11.2248 HAO Y L, ZHANG Z J, SU Y Y, et al. Morphological characteristics of tillers per plant in high-yield and multi-spike type wheat in southwest China[J]. Journal of Nuclear Agricultural Sciences, 2016, 30(11): 2248-2257 doi: 10.11869/j.issn.100-8551.2016.11.2248 |