章熙锋1, 2,
王艳强1,
高美荣1,
唐家良1,,
1.中国科学院山地表生过程与生态调控重点实验室/中国科学院水利部成都山地灾害与环境研究所 成都 610041
2.中国科学院大学 北京 100049
基金项目: 国家科技重大专项项目2017ZX07101001-02
四川省科技计划项目2018SZDZX0027
四川省科技计划项目2020JDR0404
中国科学院水利部成都山地灾害与环境研究所“135”项目SDS-135-1702
详细信息
作者简介:陈露, 主要研究方向为生态水文。E-mail:chenlu@imde.ac.cn
通讯作者:唐家良, 主要研究方向为流域水文。E-mail:jltang@imde.ac.cn
中图分类号:Q143;P464计量
文章访问数:76
HTML全文浏览量:25
PDF下载量:17
被引次数:0
出版历程
收稿日期:2020-09-18
录用日期:2020-12-17
网络出版日期:2021-06-22
刊出日期:2021-06-01
Temporal characteristics and influencing factors of evapotranspiration and water use efficiency on sloping farmlands with purple soil
CHEN Lu1, 2,,ZHANG Xifeng1, 2,
WANG Yanqiang1,
GAO Meirong1,
TANG Jialiang1,,
1. Key Laboratory of Mountain Surface Growth and Ecological Regulation, Institute of Mountain Hazards and Environment, Chinese Academy of Sciences, Chengdu 610041, China
2. University of Chinese Academy of Sciences, Beijing 100049, China
Funds: the National Science and Technology Major Project of China2017ZX07101001-02
the Key Science and Technology Projects of Sichuan Province2018SZDZX0027
the Key Science and Technology Projects of Sichuan Province2020JDR0404
and the "135" Project of Institute of Mountain Hazards and Environment of Chinese Academy of SciencesSDS-135-1702
More Information
Corresponding author:TANG Jialiang, E-mail:jltang@imde.ac.cn
摘要
HTML全文
图
参考文献
相关文章
施引文献
资源附件
访问统计
摘要
摘要:蒸散发与水分利用效率是农田生态系统碳水循环的重要衡量指标。本研究利用涡度相关技术对紫色土坡耕地生态系统进行连续观测,获取2014—2018年碳水通量数据,分析紫色土冬小麦-夏玉米轮作下的雨养坡耕地农田生态系统蒸散发和水分利用效率变化特征及其对主要环境因子的响应规律。结果表明:紫色土坡耕地农田生态系统蒸散发日变化规律呈单峰型趋势,最大值均在14:00前后出现;一年中8月日蒸散发最高,1月最低;夏季日变化幅度最大,春季次之,冬季和秋季变化较为平缓。叶面积指数、温度为影响紫色土坡耕地蒸散发的最主要因子,其次为饱和水汽压差。水分利用效率在9:00—17:00期间基本呈先下降后回升的变化规律,冬季水分利用效率为全年最高;叶面积指数、CO2通量为影响水分利用效率的主要因子,其次为温度,相对湿度、饱和水汽压差等水分条件也显著影响了水分利用效率。年际差异分析结果表明,紫色土坡耕地夏季玉米生长盛期的水分利用效率对降雨响应更为敏感,同时冬季土壤水分为冬季蒸散发和水分利用效率的关键影响因子。未来仍需对紫色土坡耕地农田生态系统生长盛期蒸散发与水分利用效率动态进行深入研究,从而为探明当地主要作物应对春夏季季节性干旱威胁的系统性策略提供科学依据。
关键词:紫色土坡耕地/
农田生态系统/
冬小麦-夏玉米轮作/
蒸散发/
水分利用效率/
涡度相关
Abstract:Evapotranspiration (ET) and water use efficiency (WUE) are important indices of the carbon and water cycles in farmland ecosystems. There are few systematic studies on the water cycle process in the soil-plant-atmosphere continuum in purple soil areas, and analyses of long-term changes in ET and WUE and its influencing factors in agroecosystems are lacking. In this study, the eddy covariance system was used to obtain carbon-water flux data from 2014 to 2018. The dynamic characteristics of ET and WUE in agroecosystems under rain-fed winter wheat-summer corn rotations on sloping farmlands with purple soil and the impact of major environmental factors were analyzed to provide a scientific basis for seasonal drought and rational water responses. The results showed that the diurnal dynamics of ET had a single peak, and the maximum value of each month occurred around 14:00. ET was highest in August and lowest in January. Seasonally, the magnitude of ET diurnal variation was the largest in summer, followed by spring, and there was relatively little variation in winter and autumn. Leaf area index and air temperature were the most important environmental factors affecting ET of the purple soil in sloping farmlands, followed by the vapor pressure deficit. ET had a linear relationship with net radiation and vapor pressure deficit (P < 0.05). ET also had an exponential growth relationship with air and soil temperature (P < 0.05) but tended to decrease with increasing air relative humidity (P < 0.05). The diurnal dynamics of WUE from 9:00 to 17:00 was first decreasing and then increasing. Seasonally, WUE in winter was the largest, and in winter and autumn was higher than in spring and summer. The leaf area index and carbon dioxide (CO2) flux were the dominant factors affecting WUE of the purple soils in sloping farmland, and air temperature, relative humidity, and vapor pressure deficit were the secondary factors influencing WUE. WUE decreased exponentially with net radiation and soil temperature (P < 0.05) and decreased linearly with the increasing air temperature (P < 0.05). WUE first decreased and then increased with the soil water content. WUE was significantly negatively correlated with the vapor pressure deficit (P < 0.05) and significantly positively correlated with the air relative humidity (P < 0.05). The differences between two hydrological years showed that WUE in the maize planting period in summer may be more sensitive to precipitation, and the soil moisture in winter had a significant effect on ET and WUE in the sloping farmlands. Due to the lack of data series during this study, further study of the detailed dynamics of ET and WUE in the purple soil sloping farmland ecosystem is needed to explore the systematic adaptation strategies of seasonal drought in the local crops during spring and summer.
Key words:Sloping farmland with purple soil/
Farmland ecosystem/
Winter wheat-summer corn rotation/
Evapotranspiration/
Water use efficiency/
Eddy covariance
HTML全文

图12014—2018年紫色土坡耕地农田生态系统环境因子变化特征
Figure1.Variation characteristics of environmental factors of agro-ecosystem of slopy farmland in purple soil area from 2014 to 2018


图22014—2018年紫色土坡耕地各月平均降水量与蒸发量对比
Figure2.Comparison of annual precipitation and evaporation on slopy farmland in purple soil area from 2014 to 2018


图3紫色土坡耕地降水量与不同深度土壤含水量的变化特征(以2015年为例)
Figure3.Variation characteristics of precipitation and soil water contents at different depths of slopy farmland in purple soil area in 2015


图42014—2018年紫色土坡耕地农田生态系统作物叶面积指数(LAI)变化特征
Figure4.Variation characteristics of crop leaf area index (LAI) of agro-ecosystem of slopy farmland in purple soil area from 2014 to 2018


图52014—2018年紫色土坡耕地农田生态系统不同季节蒸散发(ET)日动态
Figure5.Diurnal dynamics of evapotranspiration (ET) of agro-ecosystem of slopy farmland in purple soil area in different seasons from 2014 to 2018


图62014—2018年紫色土坡耕地农田生态系统不同季节CO2通量与总初级生产力(GPP)日动态
Figure6.Diurnal dynamics of CO2 flux and gross primary productivity (GPP) of agro-ecosystem of slopy farmland in purple soil area in different seasons from 2014 to 2018


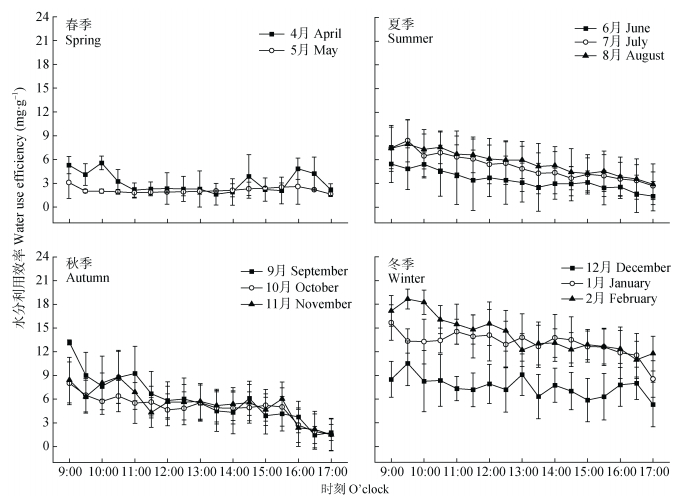
图72014—2018年紫色土坡耕地农田生态系统不同月份水分利用效率日动态
Figure7.Diurnal dynamics of water use efficiency of agro-ecosystem of slopy farmland in purple soil area in different seasons from 2014 to 2018


图82014—2018年紫色土坡耕地农田生态系统月平均总初级生产力(GPP)、蒸散发(ET)、呼吸速率(TR)和水分利用效率(WUE)
Figure8.Monthly means of gross primary productivity (GPP), evapotranspiration (ET), respiration rate (TR) and water use efficiency (WUE) of agro-ecosystem of slopy farmland in purple soil area from 2014 to 2018


图9紫色土坡耕地农田生态系统蒸散发(ET)与水分利用效率(WUE)对叶面积指数(LAI)的响应特征
Figure9.Responses of evapotranspiration (ET) and water use efficiency (WUE) to leaf area index (LAI) of agro-ecosystem of slopy farmland in purple soil area


图10紫色土坡耕地农田生态系统蒸散发(ET)对环境因子的响应特征
Figure10.Responses of evapotranspiration (ET) to environmental factors of agro-ecosystem of slopy farmland in purple soil area


图11紫色土坡耕地农田生态系统水分利用效率对环境因子的响应特征
Figure11.Responses of water use efficiency to environmental factors of agro-ecosystem of slopy farmland in purple soil area


图12紫色土坡耕地两个典型年份(2015年和2018年)农田生态系统蒸散和水分利用效率的季节变化差异
Figure12.Seasonal dynamics of the evapotranspiration (ET) and water use efficiency (WUE) of agro-ecosystem of slopy farmland in purple soil area in two typical hydrological years (2015 and 2018)

表1紫色土坡耕地农田生态系统不同季节蒸散发与环境因子的相关分析
Table1.Correlation analysis of seasonal evapotranspiration and environmental factors of agro-ecosystem of slopy farmland in purple soil area in different seasons
环境因子 Environmental factor | 春季 Spring | 夏季 Summer | 秋季 Autumn | 冬季 Winter | 全年 Annual |
净辐射Net radiation | 0.276** | 0.357** | 0.430** | 0.417** | 0.461** |
空气温度Air temperature | 0.502** | 0.704** | 0.681** | 0.537** | 0.685** |
风速Wind speed | 0.265** | 0.054* | 0.095 | 0.213** | 0.042 |
相对湿度Relative humidity | ?0.570** | ?0.678** | ?0.563** | ?0.504** | ?0.607** |
饱和水汽压差Vapor pressure deficit | 0.573** | 0.708** | 0.682** | 0.558** | 0.677** |
土壤含水量Soil water content | 0.062 | ?0.078** | 0.376** | ?0.523** | 0.048 |
土壤温度Soil temperature | ?0.017 | 0.251** | 0.618** | 0.184** | 0.548** |
**和*分别表示在P < 0.01和P < 0.05水平(双侧)显著相关。** and * indicate significant correlation at P < 0.01 and P < 0.05 levels (bilateral), respectively. |

表2紫色土坡耕地农田生态系统不同季节水分利用效率与环境因子的相关分析
Table2.Correlation analysis of seasonal water use efficiency and environmental factors of agro-ecosystem of slopy farmland in purple soil area
环境因子 Environmental factor | 春季 Spring | 夏季 Summer | 秋季 Autumn | 冬季 Winter | 全年 Annual |
CO2通量CO2 flux | ?0.825** | ?0.633** | ?0.661** | ?0.684** | ?0.326** |
净辐射Net radiation | ?0.170 | ?0.032 | 0.053 | 0.025 | ?0.166** |
空气温度Air temperature | ?0.647** | ?0.377** | ?0.082 | 0.084* | ?0.223** |
风速Wind speed | ?0.144* | ?0.037 | ?0.206** | ?0.120** | ?0.053 |
相对湿度Relative humidity | 0.559** | 0.365** | 0.172** | 0.281** | 0.212** |
饱和水汽压差Vapor pressure deficit | ?0.625** | ?0.381** | ?0.150** | ?0.200** | ?0.193** |
土壤含水量Soil water content | 0.214** | 0.078** | 0.267** | ?0.499** | ?0.014 |
土壤温度Soil temperature | ?0.427** | ?0.250** | ?0.160** | ?0.272** | ?0.129** |
**和*分别表示在P < 0.01和P < 0.05水平(双侧)显著相关。** and * indicate significant correlation at P < 0.01 and P < 0.05 levels (bilateral), respectively. |

参考文献
[1] | L'VOVICH M I, BRATSEVA N L, KARASIK G Y, et al. A map of contemporary erosion of the earth's surface[J]. Mapping Sciences and Remote Sensing, 1990, 27(1):51-67 doi: 10.1080/07493878.1990.10641789 |
[2] | 张建君.农田日蒸散量估算方法研究[D].北京: 中国农业科学院, 2009 ZHANG J J. Estimation of cropland daily evapotranspiration[D]. Beijing: Chinese Academy of Agricultural Sciences, 2009 |
[3] | XIN Z B, XU J X, ZHENG W. Spatiotemporal variations of vegetation cover on the Chinese Loess Plateau (1981-2006):Impacts of climate changes and human activities[J]. Science in China Series D:Earth Sciences, 2008, 51(1):67-78 doi: 10.1007/s11430-007-0137-2 |
[4] | 屈小娜, 钟伟.参考作物蒸散发的测定与计算方法综述[J].化工管理, 2018, (8):12 doi: 10.3969/j.issn.1008-4800.2018.08.010 QU X N, ZHONG W. Review of measure and calculation methods of crop reference evapotranspiraiton[J]. Chemical Enterprise Management, 2018, (8):12 doi: 10.3969/j.issn.1008-4800.2018.08.010 |
[5] | 李思恩, 康绍忠, 朱治林, 等.应用涡度相关技术监测地表蒸发蒸腾量的研究进展[J].中国农业科学, 2008, 41(9):2720-2726 doi: 10.3864/j.issn.0578-1752.2008.09.020 LI S E, KANG S Z, ZHU Z L, et al. Research progress of measurement of land surface evapotranspiration based on eddy covariance technology[J]. Scientia Agricultura Sinica, 2008, 41(9):2720-2726 doi: 10.3864/j.issn.0578-1752.2008.09.020 |
[6] | HAMMAD A A, HAUGEN L E, B?RRESEN T. Effects of stonewalled terracing techniques on soil-water conservation and wheat production under Mediterranean conditions[J]. Environmental Management, 2004, 34(5):701-710 doi: 10.1007/s00267-003-0278-9 |
[7] | BOLGER T P, TURNER N C. Water use efficiency and water use of Mediterranean annual pastures in southern Australia[J]. Australian Journal of Agricultural Research, 1999, 50(6):1035 doi: 10.1071/AR98109 |
[8] | 胡中民, 于贵瑞, 王秋凤, 等.生态系统水分利用效率研究进展[J].生态学报, 2009, 29(3):1498-1507 doi: 10.3321/j.issn:1000-0933.2009.03.048 HU Z M, YU G R, WANG Q F, et al. Ecosystem level water use efficiency:a review[J]. Acta Ecologica Sinica, 2009, 29(3):1498-1507 doi: 10.3321/j.issn:1000-0933.2009.03.048 |
[9] | 姜寒冰, 张玉翠, 任晓东, 等.作物水分利用效率研究方法及尺度传递研究进展[J].中国生态农业学报(中英文), 2019, 27(1):50-59 http://www.ecoagri.ac.cn/zgstny/ch/reader/view_abstract.aspx?file_no=2019-0106&flag=1 JIANG H B, ZHANG Y C, REN X D, et al. A review of progress in research and scaling-up methods of crop water use efficiency[J]. Chinese Journal of Eco-Agriculture, 2019, 27(1):50-59 http://www.ecoagri.ac.cn/zgstny/ch/reader/view_abstract.aspx?file_no=2019-0106&flag=1 |
[10] | 中国科学院成都分院土壤研究室.中国紫色土.上篇[M].北京:科学出版社, 1991 |
[11] | 张信宝, 朱波, 张建辉, 等.地下地膜截水墙——一种新的节水农业技术[J].山地学报, 1999, 17(2):115-118 doi: 10.3969/j.issn.1008-2786.1999.02.005 ZHANG X B, ZHU B, ZHANG J H, et al. Underground plastic sheet wall-A new water-saving agricultural technique[J]. Journal of Mountain Research, 1999, 17(2):115-118 doi: 10.3969/j.issn.1008-2786.1999.02.005 |
[12] | ZHAO P, TANG X Y, ZHAO P, et al. Tracing water flow from sloping farmland to streams using oxygen-18 isotope to study a small agricultural catchment in southwest China[J]. Soil and Tillage Research, 2013, 134:180-194 doi: 10.1016/j.still.2013.08.005 |
[13] | 王红兰.川中丘陵区林地与坡耕地土壤水力学性质研究[D].杨凌: 西北农林科技大学, 2013 WANG H L. Soil hydraulic parameters of forest land and sloping farmland in the hilly area of central Sichuan basin[D]. Yangling: Northwest A & F University, 2013 |
[14] | 朱波, 况福虹, 高美荣, 等.土层厚度对紫色土坡地生产力的影响[J].山地学报, 2009, 27(6):735-739 doi: 10.3969/j.issn.1008-2786.2009.06.014 ZHU B, KUANG F H, GAO M R, et al. Effects of soil thickness on productivity of sloping cropland of purple soil[J]. Journal of Mountain Science, 2009, 27(6):735-739 doi: 10.3969/j.issn.1008-2786.2009.06.014 |
[15] | 何淑勤, 郑子成.浅议四川盆地丘陵区的水土保持[J].水土保持研究, 2005, 12(2):101-102 doi: 10.3969/j.issn.1005-3409.2005.02.031 HE S Q, ZHENG Z C. Preliminary opinions on the soil and water conservation in hilly areas in Sichuan basin[J]. Research of Soil and Water Conservation, 2005, 12(2):101-102 doi: 10.3969/j.issn.1005-3409.2005.02.031 |
[16] | 张建华, 赵燮京, 林超文, 等.川中丘陵坡耕地水土保持与农业生产的发展[J].水土保持学报, 2001, 15(1):81-84 doi: 10.3321/j.issn:1009-2242.2001.01.022 ZHANG J H, ZHAO X J, LIN C W, et al. Soil and water conservation and agriculture production development of sloping upland in the hilly area of central Sichuan[J]. Journal of Soil Water Conservation, 2001, 15(1):81-84 doi: 10.3321/j.issn:1009-2242.2001.01.022 |
[17] | ZHAO P, CORNELIS W, TANG X Y, et al. Does damming streams alter the water use strategies of riparian trees? A case study in a subtropic climate[J]. Land Degradation & Development, 2020, 31(8):927-938 doi: 10.1002/ldr.3500 |
[18] | 魏玲.浅薄紫色土区植物水分利用策略研究[D].南充: 西华师范大学, 2018 WEI L. Water use strategies of plant on shallow purple soil[D]. Nanchong: China West Normal University, 2018 |
[19] | ZHAO P, TANG X Y, ZHAO P, et al. Dynamics of water uptake by maize on sloping farmland in a shallow Entisol in Southwest China[J]. CATENA, 2016, 147:511-521 doi: 10.1016/j.catena.2016.08.001 |
[20] | LLOYD J, TAYLOR J A. On the temperature dependence of soil respiration[J]. Functional Ecology, 1994, 8(3):315 doi: 10.2307/2389824 |
[21] | YU G R, LEI M Z, XIAO M S, et al. Advances in carbon flux observation and research in Asia[J]. Science China Earth Sciences, 2005, 48(Sup.1):1-16 |
[22] | 罗专溪, 朱波, 唐家良, 等.自然沟渠控制村镇降雨径流中氮磷污染的主要作用机制[J].环境科学学报, 2009, 29(3):561-568 doi: 10.3321/j.issn:0253-2468.2009.03.015 LUO Z X, ZHU B, TANG J L, et al. Primary mechanisms of nitrogen and phosphorus removal from stormwater runoff by a natural ditch in a rural township[J]. Acta Scientiae Circumstantiae, 2009, 29(3):561-568 doi: 10.3321/j.issn:0253-2468.2009.03.015 |
[23] | 于文颖, 纪瑞鹏, 冯锐, 等.不同生育期玉米叶片光合特性及水分利用效率对水分胁迫的响应[J].生态学报, 2015, 35(9):2902-2909 https://www.cnki.com.cn/Article/CJFDTOTAL-STXB201509013.htm YU W Y, JI R P, FENG R, et al. Response of water stress on photosynthetic characteristics and water use efficiency of maize leaves in different growth stage[J]. Acta Ecologica Sinica, 2015, 35(9):2902-2909 https://www.cnki.com.cn/Article/CJFDTOTAL-STXB201509013.htm |
[24] | 赵丽雯, 吉喜斌.基于FAO-56双作物系数法估算农田作物蒸腾和土壤蒸发研究——以西北干旱区黑河流域中游绿洲农田为例[J].中国农业科学, 2010, 43(19):4016-4026 doi: 10.3864/j.issn.0578-1752.2010.19.014 ZHAO L W, JI X B. Quantification of transpiration and evaporation over agricultural field using the FAO-56 dual crop coefficient approach-A case study of the maize field in an oasis in the middle stream of the Heihe River Basin in northwest China[J]. Scientia Agricultura Sinica, 2010, 43(19):4016-4026 doi: 10.3864/j.issn.0578-1752.2010.19.014 |
[25] | 阳伏林, 张强, 王文玉, 等.黄土高原春小麦农田蒸散及其影响因素[J].生态学报, 2014, 34(9):2323-2328 YANG F L, ZHANG Q, WANG W Y, et al. Evapotranspiration and factors influencing evapotranspiration in the spring wheat farmland of China's Loess Plateau[J]. Acta Ecologica Sinica, 2014, 34(9):2323-2328 |
[26] | 王宇, 周广胜.雨养玉米农田生态系统的蒸散特征及其作物系数[J].应用生态学报, 2010, 21(3):647-653 https://www.cnki.com.cn/Article/CJFDTOTAL-YYSB201003018.htm WANG Y, ZHOU G S. Evapotranspiration characteristics and crop coefficient of rain-fed maize agroecosystem[J]. Chinese Journal of Applied Ecology, 2010, 21(3):647-653 https://www.cnki.com.cn/Article/CJFDTOTAL-YYSB201003018.htm |
[27] | 于贵瑞, 牛栋, 王绍强, 等.陆地生态系统通量观测的原理与方法[M].北京:高等教育出版社, 2006:33-34 YU G R, NIU D, WANG S Q, et al. Principles of Flux Measurement in Terrestrial Ecosystems[M]. Beijing:Higher Education Press, 2006:33-34 |
[28] | 张晓娟, 吴志祥, 杨川.基于涡度相关系统的橡胶林生态系统蒸散研究[J].中南林业科技大学学报, 2017, 37(2):76-84 https://www.cnki.com.cn/Article/CJFDTOTAL-ZNLB201702013.htm ZHANG X J, WU Z X, YANG C. Research of evapotranspiration in a rubber plantation ecosystem by eddy covariance[J]. Journal of Central South University of Forestry & Technology, 2017, 37(2):76-84 https://www.cnki.com.cn/Article/CJFDTOTAL-ZNLB201702013.htm |
[29] | 刘玉莉, 江洪, 周国模, 等.安吉毛竹林水汽通量变化特征及其与环境因子的关系[J].生态学报, 2014, 34(17):4900-4909 https://www.cnki.com.cn/Article/CJFDTOTAL-STXB201417012.htm LIU Y L, JIANG H, ZHOU G M, et al. Water vapor flux variation characteristic and the relationship with its environment factors in Phyllostachys edulis forest in Anji[J]. Acta Ecologica Sinica, 2014, 34(17):4900-4909 https://www.cnki.com.cn/Article/CJFDTOTAL-STXB201417012.htm |
[30] | SINGER K D, KUZYK M G, SOHN J E. Second-order nonlinear-optical processes in orientationally ordered materials:relationship between molecular and macroscopic properties[J]. Josa B, 1987, 4(6):968-976 doi: 10.1364/JOSAB.4.000968 |
[31] | ALLEN R G, PEREIRA L S, RAES D. Crop Evapotranspiration: Guidelines for Computing Crop Water Requirements, FAO Irrigation and Drainage Paper 56[R]. FAO, 1998: 56 |
[32] | CHAPIN F S Ⅲ, MATSON P A, MOONEY H A. Principles of Terrestrial Ecosystem Ecology[M]. New York:Springer New York, 2002 |
[33] | 刘国水, 刘钰, 蔡甲冰, 等.农田不同尺度蒸散量的尺度效应与气象因子的关系[J].水利学报, 2011, 42(3):284-289 https://www.cnki.com.cn/Article/CJFDTOTAL-SLXB201103008.htm LIU G S, LIU Y, CAI J B, et al. Study on scale effect of farmland evapotranspiration and relationship with meteorological factors[J]. Journal of Hydraulic Engineering, 2011, 42(3):284-289 https://www.cnki.com.cn/Article/CJFDTOTAL-SLXB201103008.htm |
[34] | MENCUCCINI M, MAMBELLI S, COMSTOCK J. Stomatal responsiveness to leaf water status in common bean (Phaseolus vulgaris L.) is a function of time of day[J]. Plant, Cell & Environment, 2000, 23(10):1109-1118 http://www.cabdirect.org/abstracts/20000712509.html |
[35] | 刘晨峰, 张志强, 查同刚, 等.涡度相关法研究土壤水分状况对沙地杨树人工林生态系统能量分配和蒸散日变化的影响[J].生态学报, 2006, 26(8):2549-2557 doi: 10.3321/j.issn:1000-0933.2006.08.017 LIU C F, ZHANG Z Q, ZHA T G, et al. Soil moisture affects energy allocation and diurnal evapotranspiration of a poplar plantation-an eddy-covariance-based study[J]. Acta Ecologica Sinica, 2006, 26(8):2549-2557 doi: 10.3321/j.issn:1000-0933.2006.08.017 |
[36] | YANG F L, ZHOU G S. Characteristics and modeling of evapotranspiration over a temperate desert steppe in Inner Mongolia, China[J]. Journal of Hydrology, 2011, 396(1/2):139-147 http://www.sciencedirect.com/science/article/pii/S002216941000675X |
[37] | 苗海霞.开垦和放牧对内蒙古半干旱草原蒸发散的影响[D].北京: 中国科学院植物研究所, 2008 MIAO H X. Effects of reclamation and grazing on evapotranspiration of semiarid grassland in Inner Mogonlia[D]. Beijing: Institute of Botany, Chinese Academy of Sciences, 2008 |
[38] | 赵英, 张斌, 赵华春, 等.农林复合系统中南酸枣蒸腾特征及影响因子[J].应用生态学报, 2005, 16(11):2035-2040 doi: 10.3321/j.issn:1001-9332.2005.11.006 ZHAO Y, ZHANG B, ZHAO H C, et al. Transpiration of Choerospondias axillaris in agro-forestrial system and its affecting factors[J]. Chinese Journal of Applied Ecology, 2005, 16(11):2035-2040 doi: 10.3321/j.issn:1001-9332.2005.11.006 |
[39] | 牛亚毅, 李玉强, 王旭洋, 等.沙地玉米水分利用效率日变化特征[J].中国沙漠, 2019, 39(1):142-148 https://www.cnki.com.cn/Article/CJFDTOTAL-ZGSS201901019.htm NIU Y Y, LI Y Q, WANG X Y, et al. Characteristics of diurnal variation of water use efficiency of maize in sandy land[J]. Journal of Desert Research, 2019, 39(1):142-148 https://www.cnki.com.cn/Article/CJFDTOTAL-ZGSS201901019.htm |
[40] | 李辉东, 关德新, 袁凤辉, 等.科尔沁草甸生态系统水分利用效率及影响因素[J].生态学报, 2015, 35(2):478-488 https://www.cnki.com.cn/Article/CJFDTOTAL-STXB201502029.htm LI H D, GUAN D X, YUAN F H, et al. Water use efficiency and its influential factor over Horqin Meadow[J]. Acta Ecologica Sinica, 2015, 35(2):478-488 https://www.cnki.com.cn/Article/CJFDTOTAL-STXB201502029.htm |
[41] | 吴方涛, 曹生奎, 曹广超, 等.高寒湿地生态系统水分利用效率研究[J].干旱区研究, 2018, 35(2):306-314 https://www.cnki.com.cn/Article/CJFDTOTAL-GHQJ201802007.htm WU F T, CAO S K, CAO G C, et al. Water use efficiency of alpine wetland ecosystem[J]. Arid Zone Research, 2018, 35(2):306-314 https://www.cnki.com.cn/Article/CJFDTOTAL-GHQJ201802007.htm |
[42] | 张传伟, 齐永青, 戴茂华, 等.华北平原灌溉麦田水分利用效率的SEM多因素影响研究[J].中国生态农业学报(中英文), 2020, 28(6):876-886 http://www.ecoagri.ac.cn/zgstny/ch/reader/view_abstract.aspx?file_no=2020-0611&flag=1 ZHANG C W, QI Y Q, DAI M H, et al. Effects of multi-factor on water use efficiency as identified by the SEM method in irrigated wheat farmlands in the North China Plain[J]. Chinese Journal of Eco-Agriculture, 2020, 28(6):876-886 http://www.ecoagri.ac.cn/zgstny/ch/reader/view_abstract.aspx?file_no=2020-0611&flag=1 |
[43] | 战领, 杨汉波, 雷慧闽.基于通量观测数据的玉米水碳交换量及水分利用效率分析[J].农业工程学报, 2016, 32(S1):88-93 https://www.cnki.com.cn/Article/CJFDTOTAL-NYGU2016S1013.htm ZHAN L, YANG H B, LEI H M. Analysis of corn water consumption, carbon assimilation and ecosystem water use efficiency based on flux observations[J]. Transactions of the Chinese Society of Agricultural Engineering, 2016, 32(S1):88-93 https://www.cnki.com.cn/Article/CJFDTOTAL-NYGU2016S1013.htm |
[44] | 岳宁.陇中半干旱区玉米水分利用效率及其对T/ET响应的研究[D].兰州: 兰州大学, 2018 YUE N. Water use efficiency and its response to T/ET of maize field in Longzhong Semi-arid Area[D]. Lanzhou: Lanzhou University, 2018 |
[45] | 美尔汗·黑扎特, 郝兴明.塔里木河下游胡杨群落CO2通量特征与水分利用效率[J].生态学报, 2018, 38(6):2048-2055 https://www.cnki.com.cn/Article/CJFDTOTAL-STXB201806016.htm MEIERHAN H, HAO X M. CO2 flux characteristics and water use efficiency of the Populus euphratica community in the lower reaches of Tarim River[J]. Acta Ecologica Sinica, 2018, 38(6):2048-2055 https://www.cnki.com.cn/Article/CJFDTOTAL-STXB201806016.htm |
[46] | 魏丽, 杜筱玲, 刘文英.高温干旱期间土壤-植被-大气系统水分特征[J].江西气象科技, 2004, 27(4):22-26 https://www.cnki.com.cn/Article/CJFDTOTAL-HXQO200404008.htm WEI L, DU X L, LIU W Y. Features of moisture in soil-plant-atmosphere system during high temperature and drought term[J]. Jiangxi Meteorology Science & Technology, 2004, 27(4):22-26 https://www.cnki.com.cn/Article/CJFDTOTAL-HXQO200404008.htm |
[47] | 孙树臣.农田和灌丛生态系统蒸散发过程及水分利用效率研究[D].杨凌: 中国科学院教育部水土保持与生态环境研究中心, 2016 SUN S C. Study on evapotranspiration and water use efficiency of farmland and bushwood ecosystem[D]. Yangling: Centre for Soil and Water Conservation and Ecological Environment, Chinese Academy of Sciences, and Ministry of Education, 2016 |
[48] | ZHANG F M, JU W M, SHEN S H, et al. How recent climate change influences water use efficiency in East Asia[J]. Theoretical and Applied Climatology, 2014, 116(1/2):359-370 |
[49] | WANG Y, ZHOU L, JIA Q Y, et al. Water use efficiency of a rice paddy field in Liaohe Delta, Northeast China[J]. Agricultural Water Management, 2017, 187:222-231 doi: 10.1016/j.agwat.2017.03.029 |
[50] | 张桂玲, 李艳琴, 罗绪强, 等.季节性干旱下喀斯特次生林不同树种水分利用效率变化[J].地球与环境, 2021, 49(1):25-31 ZHANG G L, LI Y Q, LUO X Q, et al. Change of water use efficiency of different species in karst secondary forest under seasonal drought[J]. Earth and Environment, 2021, 49(1):25-31 |
[51] | 黄健强, 邓永红, 曾小平, 等.南亚热带针阔叶混交林生态系统水分利用效率[J].生态学杂志, 2020, 39(8):2538-2545 https://www.cnki.com.cn/Article/CJFDTOTAL-STXZ202008008.htm HUANG J Q, DENG Y H, ZENG X P, et al. Water-use efficiency in a mixed conifer-broadleaf forest ecosystem in lower subtropical China[J]. Chinese Journal of Ecology, 2020, 39(8):2538-2545 https://www.cnki.com.cn/Article/CJFDTOTAL-STXZ202008008.htm |
[52] | 赵文赛.玉米叶片气孔发育对干旱的响应以及重复干旱对玉米光合作用和抗旱性的影响[D].杨凌: 西北农林科技大学, 2016 ZHAO W S. Responses of leaf stomatal development to drought and effects of repeated drought on photosynthesis and drought resistance of maize[D]. Yangling: Northwest A & F University, 2016 |
[53] | 唐凤德, 武耀祥, 韩士杰, 等.长白山阔叶红松林叶片气孔导度与环境因子的关系[J].生态学报, 2008, 28(11):5649-5655 doi: 10.3321/j.issn:1000-0933.2008.11.050 TANG F D, WU Y X, HAN S J, et al. Relationship of stamatal conductance of leaf with environmental factors in broad-leaved Korean pine forest at Changbai Mountain[J]. Acta Ecologica Sinica, 2008, 28(11):5649-5655 doi: 10.3321/j.issn:1000-0933.2008.11.050 |
[54] | NEWTON M, PREEST D S. Growth and water relations of Douglas fir (Pseudotsuga menziesii) seedlings under different weed control regimes[J]. Weed Science, 1988, 36(5):653-662 doi: 10.1017/S0043174500075573 |
[55] | YU G R, SONG X, WANG Q F, et al. Water-use efficiency of forest ecosystems in Eastern China and its relations to climatic variables[J]. New Phytologist, 2008, 177(4):927-937 doi: 10.1111/j.1469-8137.2007.02316.x |
[56] | 郭京衡, 李尝君, 曾凡江, 等. 2种荒漠植物根系生物量分布与土壤水分、养分的关系[J].干旱区研究, 2016, 33(1):166-171 https://www.cnki.com.cn/Article/CJFDTOTAL-GHQJ201601021.htm GUO J H, LI C J, ZENG F J, et al. Relationship between root biomass distribution and soil moisture, nutrient for two desert plant species[J]. Arid Zone Research, 2016, 33(1):166-171 https://www.cnki.com.cn/Article/CJFDTOTAL-GHQJ201601021.htm |
[57] | 周洁, 张志强, 孙阁, 等.不同土壤水分条件下杨树人工林水分利用效率对环境因子的响应[J].生态学报, 2013, 33(5):1465-1474 https://www.cnki.com.cn/Article/CJFDTOTAL-STXB201305013.htm ZHOU J, ZHANG Z Q, SUN G, et al. Environmental controls on water use efficiency of a poplar plantation under different soil water conditions[J]. Acta Ecologica Sinica, 2013, 33(5):1465-1474 https://www.cnki.com.cn/Article/CJFDTOTAL-STXB201305013.htm |
[58] | 仇宽彪, 成军锋.陕西省植被水分利用效率及与气候因素的关系[J].水土保持研究, 2015, 22(6):256-260 https://www.cnki.com.cn/Article/CJFDTOTAL-STBY201506047.htm QIU K B, CHENG J F. Vegetation water use efficiency and its relationship with climate in Shaanxi Province[J]. Research of Soil and Water Conservation, 2015, 22(6):256-260 https://www.cnki.com.cn/Article/CJFDTOTAL-STBY201506047.htm |
[59] | 史晓亮, 吴梦月, 张娜, 等.三江平原植被水分利用效率时空变化及其对气象因子变化的响应[J].生态学杂志, 2020, 39(5):1651-1663 https://www.cnki.com.cn/Article/CJFDTOTAL-STXZ202005028.htm SHI X L, WU M Y, ZHANG N, et al. Spatial and temporal variation of vegetation water use efficiency and its response to meteorological factors in Sanjiang Plain[J]. Chinese Journal of Ecology, 2020, 39(5):1651-1663 https://www.cnki.com.cn/Article/CJFDTOTAL-STXZ202005028.htm |
[60] | 贺伟, 布仁仓, 熊在平, 等. 1961-2005年东北地区气温和降水变化趋势[J].生态学报, 2013, 33(2):519-531 https://www.cnki.com.cn/Article/CJFDTOTAL-STXB201302025.htm HE W, BU R C, XIONG Z P, et al. Characteristics of temperature and precipitation in Northeastern China from 1961 to 2005[J]. Acta Ecologica Sinica, 2013, 33(2):519-531 https://www.cnki.com.cn/Article/CJFDTOTAL-STXB201302025.htm |
[61] | 刘家霖, 满秀玲.降雨和非降雨日兴安落叶松天然林蒸腾及蒸散发特征[J].生态学报, 2017, 37(15):5059-5069 https://www.cnki.com.cn/Article/CJFDTOTAL-STXB201715014.htm LIU J L, MAN X L. Characteristics of transpiration and evapo-transpiration from natural Larix gmelinii forests on rainy and non-rainy days[J]. Acta Ecologica Sinica, 2017, 37(15):5059-5069 https://www.cnki.com.cn/Article/CJFDTOTAL-STXB201715014.htm |