刘会萍 1 ,
洪春来 2 ,
李睿 1 ,
宋明义 3 ,
刘嘉伟 1 ,
戴之希 1 ,
周骏 1 ,
翁焕新 1 , * , 1 浙江大学环境与生物地球化学研究所, 杭州 310027 2 浙江省农业科学院, 杭州 3100213 中国地质调查局农业地质应用研究中心, 杭州 311201 Liu Huiping 1 ,
Hong Chunlai 2 ,
Li Rui 1 ,
Song Mingyi 3 ,
Liu Jiawei 1 ,
Dai Zhixi 1 ,
Zhou Jun 1 ,
Weng Huanxin * , 1 Institute of Environment & Biogeochemistry, Zhejiang University, Hangzhou 310027, China 2 Zhejiang Academy of Agricultural Sciences, Hangzhou 310021, China3 Geological Research Center For Agricultural Applications, China Geological Surver, Hangzhou 311201, China引用本文 刘会萍 ,
洪春来 ,
李睿 ,
宋明义 ,
刘嘉伟 ,
戴之希 ,
周骏 ,
翁焕新 . 草莓对I、IO的吸收特征及对其品质的影响. , 2017, 52(2): 167-174
贡献者
* 通讯作者。E-mail: gswenghx@zju.edu.cn 基金资助
浙江省国土资源厅地质勘查项目(No.2014002)和国家自然科学基金(No.40873058, No.40373043) ;
接受日期:2016-01-29接受日期:2016-05-6网络出版日期:2017-04-10
-->Copyright
20172010 《植物学报》编辑部
History
Received :
Accepted :
Online :
摘要: 提高植物性食品中碘的含量对人体自然补碘具有重要作用。该文通过水培模拟实验, 揭示了草莓(Fragaria ananassa )对I- 和IO3 - 的吸收特征, 在分析不同外源碘浓度下草莓根系以上部分生物量的基础上, 通过对比吸收外源碘前后维生素C、可溶性糖、总酸度和硝酸盐含量的变化, 评价了草莓吸收I- 和IO3 - 对果实品质的影响。研究结果表明, 草莓对碘的吸收量随营养液中I- 和IO3 - 浓度的增加而增加, 相同浓度下草莓吸收的I- 明显多于IO3 - , 草莓吸收适量的碘可以促进植株生长, 不仅使生物量提高, 而且会增加草莓果实维生素C和可溶性总糖的含量, 从而提高品质。在营养液浓度为0.5-5.0 mg∙kg-1 时, 草莓吸收IO3 - 后会增加果实总酸度和硝酸盐的含量, 降低草莓果实品质。在营养液浓度为0.25-2.5 mg∙kg-1 时, 草莓吸收I- 后会使果实中总酸度和硝酸盐的含量明显降低, 果实的品质有所提高。研究结果为科学培育含碘草莓提供了技术支撑。 关键词 :
草莓 ;
I- ;
IO3- ;
吸收特征 ;
果实品质 Abstract :
To improve the iodine content of plant foods plays an important role in supplement of natural iodine for humans. We performed a hydroponic experiment to reveal the characteristics of I- , IO3 - uptake by strawberry plants. We measured the aboveground biomass of strawberry plants grown in solution at various iodine concentrations. The effects of I- , IO3 - absorption on fruit quality were evaluated in terms of variations in content of vitamin C, soluble sugar, total acidity and nitrate of strawberries under different iodine treatments. The higher the I- , IO3 - concentration of the solution, the more iodine the strawberry plants absorbed. The absorption was higher for I- than IO3 - under the same exogenous iodine concentration. A proper dose of iodine application promoted the growth of strawberry plants, which increased the biomass and also improved fruit quality by increasing vitamin C and soluble sugar content. Grown with 0.5-5.0 mg∙kg-1 IO3 - solution, the total acidity and nitrate content of strawberries increased, which reduced the quality of strawberries. Under 0.25-2.5 mg∙kg-1 I- treatment, the total acidity and nitrate content of strawberries decreased, thereby enhancing the quality of strawberries. These results may provide technical support for scientific cultivation of iodine-enriched strawberry. Key words :
strawberry ;
I- ;
IO3- ;
absorption characteristic ;
fruit quality 碘在人体的新陈代谢过程中起着不可替代的作用, 人体一旦缺碘, 就会引起碘缺乏病(iodine deficiency disease, IDD)并严重影响人类健康(
Hetzel, 2005 ;
Laurberg et al., 2010 )。因此, 人体补碘已成为全球范围的一个公共卫生问题。食盐加碘是目前普遍采用的防治IDD的方法(
Rah et al., 2015 )。然而, 碘具有双侧阈值的特征(
Roti and Uberti, 2001 ;
Stimec et al., 2009 ;
Bürgi, 2010 ), 即摄入过量的碘与碘缺乏一样, 均会对机体产生不良的生物学效应。食盐加碘一方面由于添加的无机碘(KI或KIO
3 )具有易挥发的特点(
刘会媛和白鹤英, 2004 ;
Waszkowiak and Szyman- dera-Buszka, 2008 ;
Li et al., 2010 ;
Longvah et al., 2012 ), 在生产、储藏、运输和烹饪过程中会造成碘丢失, 因而生物利用率较低; 另一方面, 对于碘吸收特别敏感的人群, 存在摄入过量碘的风险。有资料表明, 我国自从实施全民食盐加碘后, 甲亢患者明显增多, 因摄入过量碘而引发甲状腺疾病的发病率在上升, 且呈蔓延趋势(
桑仲娜, 2011 )。因此, 全民食盐加碘存在缺陷是显而易见的。
在自然情况下, 人体中的碘80%以上来自植物性食物(
Welch and Graham, 2005 )。由于天然食物中的微量元素易被人体吸收, 且无生理毒副作用(
余孝颖, 2000 ), 因此人体对不同种类食物中碘的生物利用率最高可达99%。由此可见, 提高植物性食物中碘的含量水平, 使人们能够通过日常膳食自然补碘, 是彻底消除碘缺乏病(IDD)的关键。已有研究表明, 通过施加外源碘可以直接培育出含碘的蔬菜(
翁焕新等, 2012 ;
刘会萍等, 2012 ;
Weng et al., 2014 )。然而, 由于碘不是植物生长的必需微量元素, 因此施加外源碘是否能够培育出含碘水果, 水果对外源碘呈现怎样的吸收特征, 吸收外源碘后对果实的品质会产生怎样的影响, 目前尚知之甚少。本研究选择人们日常喜爱且营养丰富的草莓(
Fragaria )作为研究对象, 通过水培实验, 深入探讨了草莓对不同形态外源碘(I
- 和IO
3 - )的吸收特征, 并在分析不同外源碘浓度下草莓根系以上部分生物量的基础上, 通过对比草莓在吸收I
- 及IO
3 - 前后果实维生素C、可溶性糖、总酸度和硝酸盐含量的变化, 综合评价了草莓吸收I
- 及IO
3 - 对果实品质的影响, 从而为利用植物碘农业生物强化措施培育含碘植物性食品提供科学依据和技术支撑。
1 材料与方法1.1 含碘草莓培育草莓品种章姬(
Fragaria ananassa cv. ‘Akihime’)的秧苗购自浙江省农业科学院杨渡基地。将长势一致的草莓幼苗移栽至盛有7 L溶液的直径为30 cm、高40 cm的PVC桶中, 进行盆栽培育。每盆3株幼苗, 用海绵固定使幼苗的根系能够自然地悬垂在溶液中, 将增氧管与空气泵连接的气泡石放入液面下, 打开空气泵, 保持24小时连续通气。盆栽培育的前3天, 草莓幼苗用自来水培养, 然后用1/2Hogland营养液培育3天, 再用完全Hogland营养液培养3天, 使草莓植株适应水培环境, 再分别向水培营养液中加入不同浓度的I
- (KI)和IO
3 - (KIO
3 )进行培养。2种不同形态的碘离子浓度均以碘(I)计量。I
- 和IO
3 - 的实验浓度梯度设计为0.25、0.5、1.0、2.5和5.0 mg∙L
-1 , 每个浓度梯度分别设3组平行样。盆栽培育实验的对照组(CK)为不加碘处理。营养液每5天更换1次, 并通过0.1 mol∙L
-1 NaOH和0.1 mol∙L
-1 HCl调节pH值保持在(5.5±0.1)水平。
1.2 样品的采集与制备当草莓生长状态达到上市标准后, 分别采集根、茎、叶及果实样品。采集的样品先用自来水冲洗干净, 再用去离子水冲洗, 并用吸水纸吸干表面的水分。然后在105°C烘箱中杀青30分钟, 在70°C条件下烘干至恒重, 粉碎后过0.246 mm筛, 分别测定植株各部分的碘含量。
用于草莓品质分析的样品采集与制备方法如下。当果实发育成熟时, 采集果实样品, 先用自来水冲洗干净, 再用去离子水冲洗, 并用吸水纸吸干表面的水分, 称鲜重, 磨碎后用于维生素C、可溶性糖、总酸度和硝酸盐含量的测定。
1.3 样品分析1.3.1 碘的测定
草莓根、茎、叶及果实各器官中碘的含量用放大反应比色法测定(
邢素芝等, 1999 )。
称取0.5000 g样品(当碘含量低于3 mg∙kg
-1 , 称取样品2 g)置于瓷坩埚中, 加入2 mL10 mol∙L
-1 KOH溶液, 用玻璃棒将混合物搅拌均匀, 玻璃棒上的残留物用去离子水洗入坩埚, 同时以2个不加样品作为对照。将坩埚放入烘箱中, 在105°C烘干, 至坩埚中基本看不到水分时, 升温到180°C继续烘干, 至样品呈黑色胶状, 对照的坩埚可以见到白色的结晶物质。将坩埚取出放到电炉上加热炭化, 在样品完全炭化后, 加盖放入马福炉中, 升温至650°C灰化40分钟。取出坩埚, 冷却后向坩埚中加入10 mL去离子水, 用玻璃棒搅拌, 使灰分充分溶解, 将提取液转移到50 mL容量瓶中, 将坩埚中残余物全部转移到50 mL容量瓶中, 定容后摇匀。静置15分钟后过滤, 此即为碘的待测液。
1.3.2 维生素C含量测定
草莓果实中维生素C (Vc)含量的测定使用2, 6-二氯靛酚滴定法(
鲍士旦, 2000 )。称取鲜样品50.0-100.0 g, 加入等重量的20 g∙L
-1 草酸浸提剂, 快速捣碎1分钟, 将样品打成浆状(整个过程应在10分钟内完成, 以免Vc被空气氧化)。用小烧杯称取浆状物10-30.0 g, 放入100 mL容量瓶中, 用20 g∙L
-1 草酸溶液定容, 若有泡沫可加2滴辛醇除去, 过滤。若滤液色深, 影响滴定终点的判定时, 可加1-2勺白陶土脱色, 用离心机分离。
吸取5.00-10.00 mL无色滤液放入50 mL三角瓶中, 在棕色半微量滴定管中装2, 6-二氯靛酚标准溶液, 滴定滤液至浅红色, 以在15秒内不褪色为终点。同时用浸提液(草酸)做空白实验。
1.3.3 可溶性糖含量测定
草莓果实可溶性糖总量的测定采用蒽酮比色法(
陈建勋和王晓峰, 2002 )。称取捣碎均匀的样品1 g, 置于研钵中, 加入少量蒸馏水, 研磨成匀浆, 然后转入20 mL刻度试管中, 用10 mL蒸馏水分次洗涤研钵, 洗液一并转入刻度试管中。置沸水浴中加盖煮沸10分钟, 冷却后过滤, 将滤液收集在100 mL容量瓶中, 定容, 摇匀备用。
1.3.4 总酸度测定
草莓果实总酸度采用滴定法测定(
鲍士旦, 2000 )。在小烧杯中称取捣碎均匀的样品10-20 g, 用约150 mL无CO
2 水将其移入250 mL容量瓶中, 充分摇匀后稀释定容。用干滤纸过滤, 取滤液50 mL, 加入酚酞指示剂3-4滴, 用0.1 mol∙L
-1 NaOH标准溶液滴定至微红色, 以1分钟不褪色为终点。
1.3.5 硝酸盐含量测定
草莓果实硝酸盐含量的测定采用紫外分光光度法。称取捣碎均匀的样品10 g (精确至0.01 g), 置于100 mL烧杯中, 用100 mL水分次将样品转移到250 mL容量瓶中, 加入5 mL氨缓冲液(pH=9.6-9.7)和2 g粉末状活性炭。在可调式往返振荡机上(每分钟200次)振荡30分钟, 加入15%亚铁氰化钾和30%硫酸锌溶液各2 mL, 充分混合, 加水定容至250 mL, 充分摇匀, 放置5分钟, 用定量滤纸过滤。同时做空白实验。每个样品处理重复操作3次, 分析误差小于5%。
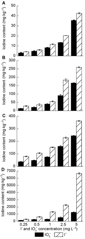
2 结果与讨论2.1 草莓对I
- 、IO
3 - 的吸收特征
图1 显示草莓根、茎、叶和果实碘吸收量随营养液I
- 与IO
3 - 浓度的变化。从
图1 可以看出, 草莓各器官碘吸收量随营养液I
- 、IO
3 - 浓度的增加而增加, 各器官中碘吸收量的大小依次为: 根>叶>茎>果实。差异显著性分析结果表明, 当营养液浓度分别为0.25和0.5 mg∙L
-1 时, 根和果实对I
- 、IO
3 - 的吸收无显著差异; 其它浓度下, 根、叶、茎和果实对I
- 、IO
3 - 的吸收均存在显著差异(
P <0.05)。草莓根对I
- 的吸收量分别为叶、茎和果实的18倍、25倍和161倍; 而草莓根对IO
3 - 的吸收量分别为叶、茎和果实的6倍、9倍和44倍, 表明草莓根系从营养液中吸收的I
- 、IO
3 - 绝大部分积累在根部, 当根部对I
- 、IO
3 - 的吸收量达到饱和时, 它们中的少部分随水分与其它养分通过木质部被转移到茎, 再通过茎输送至叶片。由于茎和叶对碘的截留作用, 最终输送至果实的碘只是很小一部分(
邢怡, 2010 )。叶片中碘的吸收量大于茎, 说明在草莓开始结果之前, 茎只是碘的输送通道, 而叶片是碘输送的终点。其原因为叶片是植物进行光合作用最重要的器官。
进一步观察发现, 草莓对2种不同形态外源碘(I
- 、IO
3 - )的吸收特征存在明显差异。草莓各器官对I
- 的吸收量随营养液I
- 浓度变化的幅度较大。当营养液I
- 浓度较低(<2.5 mg∙L
-1 )时, 各器官对I
- 的吸收量随营养液I
- 浓度的增加而逐渐增加; 而当营养液I
- 浓度较高(≥2.5 mg∙L
-1 )时, 各器官对I
- 的吸收量随营养液I
- 浓度的增加而明显增加。草莓各器官对IO
3 - 的吸收量随营养液IO
3 - 浓度变化的幅度不大。除了果实中碘的吸收量在营养液IO
3 - 浓度为5.0 mg∙L
-1 时比营养液IO
3 - 浓度为2.5 mg∙L
-1 时有较明显的增加外, 其它器官中碘的吸收量随营养液IO
3 - 浓度增加而逐渐增加。草莓各器官对I
- 的吸收量明显大于对IO
3 - 的吸收量, 根、叶、茎和果实中I
- 的最大吸收量分别约为IO
3 - 最大吸收量的5.6倍、1.5倍、1.6倍和1.2倍。在相同的外源碘浓度下, 草莓吸收的I
- 明显多于IO
3 - , 这与作物对碘的吸收量随碘分子量和化合价的增加而减少有关(
Umaly and Poel, 1971 )。IO
3 - 的分子量和碘的化合价(+5价)均大于碘离子(I
- ), 因此草莓对I
- 的吸收量多于IO
3 - 。
图1 https://www.chinbullbotany.com/article/2017/1674-3466/1674-3466-52-2-167/img_1.png 图1 草莓各器官碘的吸收量 (A) 果实; (B) 茎; (C) 叶; (D) 根Figure 1 Iodine absorption of different strawberry organs in various I- , IO3 - concentration (A) Fruit; (B) Stem; (C) Leaf; (D) RootFigure 1 https://www.chinbullbotany.com/article/2017/1674-3466/1674-3466-52-2-167/img_1.png 图1 草莓各器官碘的吸收量 (A) 果实; (B) 茎; (C) 叶; (D) 根Figure 1 Iodine absorption of different strawberry organs in various I- , IO3 - concentration (A) Fruit; (B) Stem; (C) Leaf; (D) Root 在新窗口打开 下载 下载原图ZIP 生成PPT 图1
草莓各器官碘的吸收量
(A) 果实; (B) 茎; (C) 叶; (D) 根
Figure 1
Iodine absorption of different strawberry organs in various I
- , IO
3 - concentration
(A) Fruit; (B) Stem; (C) Leaf; (D) Root
图2 显示草莓叶片碘含量与果实碘含量之间的相关性。从
图2 可以看出, 草莓叶片与果实中I
- 、IO
3 - 的吸收量之间均呈极显著正相关(I
- ,
R =0.972 7 (
P < 0.01); IO
3 - ,
R =0.951 7 (
P <0.01))。这表明草莓中I
- 、IO
3 - 的含量水平与积累在叶片中的I
- 、IO
3 - 浓度密切相关。由
图1 可知, 草莓根系中I
- 和IO
3 - 吸收量分别是果实中I
- 和IO
3 - 吸收量的165倍和44倍; 而草莓叶片中I
- 和IO
3 - 吸收量分别是果实中I
- 和IO
3 - 吸收量的9倍和7倍。草莓叶片碘吸收量与果实碘吸收量之间的差值远远小于草莓根系碘吸收量与果实碘吸收量之间的差值。 因此, 草莓果实中碘的吸收量大小并不决定于根系碘的吸收量, 而主要与叶片中碘的积累量相关。
图2 https://www.chinbullbotany.com/article/2017/1674-3466/1674-3466-52-2-167/img_2.png 图2 草莓叶与果实碘含量之间的相关性分析Figure 2 The iodine content correlation analysis between leaves and fruits of strawberryFigure 2 https://www.chinbullbotany.com/article/2017/1674-3466/1674-3466-52-2-167/img_2.png 图2 草莓叶与果实碘含量之间的相关性分析Figure 2 The iodine content correlation analysis between leaves and fruits of strawberry 在新窗口打开 下载 下载原图ZIP 生成PPT 图2
草莓叶与果实碘含量之间的相关性分析
Figure 2
The iodine content correlation analysis between leaves and fruits of strawberry
2.2 I
- 、IO
3 - 对生物量的影响
图3 显示草莓地上部分生物量随培养液I
- 、IO
3 - 浓度的变化。从
图3 可以看出, 当培养液碘浓度较低(I
- 浓度=0.25 mg∙L
-1 , IO
3 - 浓度≤0.5 mg∙L
-1 )时, 草莓根系以上部分的生物量高于对照组(CK)。差异显著性分析结果表明, 除了培养液浓度为0.25 mg∙L
-1 时, 草莓吸收I
- 、IO
3 - 根系以上部分生物量与对照组(CK)无显著差异外, 其它浓度下, 草莓吸收I
- 、IO
3 - 根系以上部分生物量与对照组(CK)均存在显著差异(
P <0.05)。这表明草莓在较低的碘浓度下, 吸收适量的外源碘可以促进植株生长, 从而使根系以上部分的生物量提高。已有的相关研究结果也证实, 尽管碘不是高等植物生长过程中所必需的微量元素, 但是低浓度的碘能刺激和促进亚麻(
Linum grandiflora )、荞麦(
Fagopyrum dibotrys )、番茄(
Lycopersicon esculentum )以及豆科作物的生长发育(
戴九兰, 2004 ;
洪春来等, 2008 ;
于文进等, 2011 )。
然而, 当培养液I
- 浓度≥0.5 mg∙L
-1 , IO
3 - 浓度≥0.5 mg∙L
-1 时, 草莓根系以上部分的生物量小于对照组(CK), 并随着I
- 、IO
3 - 浓度的增加, 草莓根系以上部分生物量与对照组(CK)的差值越来越大。这表明草莓吸收过量的外源碘会对植株产生不良影响, 抑制植株正常生长, 导致草莓根系以上部分的生物量下降。外源碘对草莓植株生长产生不良影响的程度因碘的形态不同而存在差异。从
图3 可以看出, 草莓根系以上部分生物量随培养液I
- 浓度的增加而降低的幅度明显大于随培养液IO
3 - 浓度增加而降低的幅度。特别是当培养液I
- 浓度≥1.0 mg∙L
-1 时, 草莓根系以上部分生物量相对于对照组(CK)每株分别降低了7.9、8.5和16.9 g; 而当培养液IO
3 - 浓度≥0.5 mg∙L
-1 时, 草莓根系以上部分生物量相比对照组(CK)每株分别降低了1.3、3.9和6.0 g。这与Gonda等(2007)得出的I
- 更容易对植物的生长产生毒害作用的结论相一致。Zhu等(2003)通过水培实验也发现I
- 浓度为10 µmol∙L
-1 时就会抑制菠菜(
Spinacia oleracea )生长, 而IO
3 - 浓度即使达到100 µmol∙L
-1 也没有对菠菜生长产生毒害作用。这种情况的出现与草莓吸收外源碘的实际数量有关, 在培养液碘浓度相同的水平下, 草莓吸收的I
- 明显多于IO
3 - (
图1 )。
图3 https://www.chinbullbotany.com/article/2017/1674-3466/1674-3466-52-2-167/img_3.png 图3 不同浓度I- 、IO3 - 培养后草莓地上部分的生物量Figure 3 Aboveground biomass of strawberry treated with different concentration of I- or IO3 - Figure 3 https://www.chinbullbotany.com/article/2017/1674-3466/1674-3466-52-2-167/img_3.png 图3 不同浓度I- 、IO3 - 培养后草莓地上部分的生物量Figure 3 Aboveground biomass of strawberry treated with different concentration of I- or IO3 - 在新窗口打开 下载 下载原图ZIP 生成PPT 图3
不同浓度I
- 、IO
3 - 培养后草莓地上部分的生物量
Figure 3
Aboveground biomass of strawberry treated with different concentration of I
- or IO
3 - 2.3 I
- 、IO
3 - 对草莓果实品质的影响维生素C、可溶性糖、总酸度和硝酸盐含量是评价草莓果实品质的重要指标。草莓果实的维生素C和可溶性糖含量越高, 总酸度和硝酸盐含量越低, 表明草莓果实的营养成分越高, 口感、颜色和品质越好。
图4 显示草莓果实中维生素C含量随培养液I
- 、IO
3 - 浓度水平的变化。差异显著性分析结果表明, 草莓吸收I
- 、IO
3 - 后, 果实维生素C含量与对照组(CK)之间存在显著差异(
P <0.05)。从
图4 可以看出, 当培养液I
- 、IO
3 - 浓度≤0.5 mg∙L
-1 时, 草莓果实维生素C的含量高于对照组(CK), 表明在较低的I
- 、IO
3 - 浓度水平下, 草莓适量地吸收外源碘, 可以提高维生素C的含量; 而当培养液I
- 、IO
3 - 浓度水平≥1.0 mg∙L
-1 时, 草莓果实维生素C的含量均低于对照组(CK), 表明在较高的I
- 、IO
3 - 浓度水平下, 草莓吸收过量的外源碘, 会降低维生素C的含量。
图4 右上角插图显示了草莓的可溶性糖含量随培养液I
- 、IO
3 - 浓度水平的变化。由
图4 可知, 当培养液I
- 浓度为0.5-1.0 mg∙L
-1 、IO
3 - 浓度为0.25-0.5 mg∙L
-1 时, 草莓的可溶性糖含量大于对照组(CK), 特别是在培养液I
- 、IO
3 - 浓度均为0.5 mg∙L
-1 时, 果实可溶性糖含量达到最大值, 分别为9.21%和6.39%, 比对照组(CK)分别提高了79.88%和27.29%。当培养液I
- 、IO
3 - 浓度>2.5 mg∙L
-1 时, 草莓果实可溶性糖含量明显低于对照组。这表明草莓吸收过量的外源碘, 果实中可溶性糖含量就会下降, 并显著影响果实品质。这一现象与草莓果实维生素C含量随培养液I
- 、IO
3 - 浓度的变化相似。
图4 所显示的结果表明, 当培养液I
- 、IO
3 - 浓度较低(≤0.5 mg∙L
-1 )时, 草莓果实中维生素C和可溶性糖含量相比对照组均明显增加; 当培养液I
- 、IO
3 - 浓度水平较高(5.0 mg∙L
-1 )时, 草莓果实中维生素C和可溶性糖含量降到最低。从
图3 中可以看出, 当培养液I
- 浓度=0.25 mg∙L
-1 、IO
3 - 浓度≤0.5 mg∙L
-1 时, 草莓根系以上部分的生物量高于对照组(CK); 而当培养液I
- 和IO
3 - 的浓度达到5.0 mg∙L
-1 时, 草莓根系以上部分的生物量降至最低, 分别比对照组每株减少了16.9和6.0 g。这表明草莓果实中维生素C及可溶性糖的含量与草莓根系以上部分的生物量直接相关。而草莓根系以上部分的生物量明显受I
- 或IO
3 - 吸收量的影响, 草莓吸收适量的外源碘可以刺激植株生长, 使草莓根以上部分的生物量增加, 从而促进草莓果实中维生素C和可溶性糖含量的增加; 而草莓吸收过量的外源碘会影响植株生长, 使草莓根系以上部分的生物量减少, 从而直接导致果实中维生素C和可溶性糖含量的降低。因此, 草莓在生长过程中是否吸收了适量的I
- 和IO
3 - 是影响草莓果实品质的关键因素。
图4 https://www.chinbullbotany.com/article/2017/1674-3466/1674-3466-52-2-167/img_4.png 图4 不同浓度I- 、IO3 - 培养后草莓维生素C (Vc)和可溶性总糖的含量Figure 4 Content of vitamin C (Vc) and total soluble sugar in strawberry treated with different concentration of I- or IO3 - Figure 4 https://www.chinbullbotany.com/article/2017/1674-3466/1674-3466-52-2-167/img_4.png 图4 不同浓度I- 、IO3 - 培养后草莓维生素C (Vc)和可溶性总糖的含量Figure 4 Content of vitamin C (Vc) and total soluble sugar in strawberry treated with different concentration of I- or IO3 - 在新窗口打开 下载 下载原图ZIP 生成PPT 图4
不同浓度I
- 、IO
3 - 培养后草莓维生素C (Vc)和可溶性总糖的含量
Figure 4
Content of vitamin C (Vc) and total soluble sugar in strawberry treated with different concentration of I
- or IO
3 - 图5 显示草莓在不同I
- 和IO
3 - 浓度培养液下, 叶、茎和果实中碘的相对百分含量。由
图4 可知, 当营养液I
- 和IO
3 - 浓度为0.5 mg∙L
-1 时, 草莓果实中维生素C和可溶性总糖的含量不仅明显高于对照组(CK), 而且达到最高; 而当营养液I
- 和IO
3 - 浓度增加至5 mg∙L
-1 时, 草莓果实中维生素C和可溶性总糖的含量不仅明显低于对照组(CK), 而且降至最低。在I
- 和IO
3 - 浓度均为0.5 mg∙L
-1 时, 草莓叶、茎及果实的相对百分含量分别为63%、28%、9%和71%、24%、5%; 在I
- 和IO
3 - 浓度均为5.0 mg∙L
-1 时, 草莓叶、茎及果实的相对百分含量分别为54%、38%、8%和53%、40%、7% (
图5 )。在营养液I
- 、IO
3 - 浓度较低(0.5 mg∙L
-1 )时, 草莓吸收适量的I
- 和IO
3 - , 叶中相对百分含量明显高于茎, 分别高出35%和47%, 这时草莓果实因维生素C和可溶性总糖的含量达到最大值, 从而使品质明显提高; 而在营养液I
- 、IO
3 - 浓度较高(5.0 mg∙L
-1 )时, 草莓吸收过量的I
- 和IO
3 - , 叶中相对百分含量接近于茎, 叶中I
- 和IO
3 - 相对百分含量, 分别仅高出茎中相对百分含量16%和13%, 这时草莓果实因维生素C和可溶性总糖的含量降至最低值, 从而使品质明显下降。以上结果表明, 草莓果实品质的提高或降低, 不仅与草莓对I
- 和IO
3 - 吸收量的多少有关, 还与草莓叶、茎及果实中I
- 、IO
3 - 的相对百分含量有关。
图5 https://www.chinbullbotany.com/article/2017/1674-3466/1674-3466-52-2-167/img_5.png 图5 草莓叶、茎及果实中碘含量三角相图Figure 5 Triangle diagram of iodine content in the leaf, stem and fruit of strawberryFigure 5 https://www.chinbullbotany.com/article/2017/1674-3466/1674-3466-52-2-167/img_5.png 图5 草莓叶、茎及果实中碘含量三角相图Figure 5 Triangle diagram of iodine content in the leaf, stem and fruit of strawberry 在新窗口打开 下载 下载原图ZIP 生成PPT 图5
草莓叶、茎及果实中碘含量三角相图
Figure 5
Triangle diagram of iodine content in the leaf, stem and fruit of strawberry
图6 显示了草莓果实中硝酸盐含量和总酸度随培养液I
- 、IO
3 - 浓度的变化。由
图6 可知, 除了培养液IO
3 - 浓度为0.25 mg∙L
-1 时, 草莓果实硝酸盐含量相对于对照组(CK)稍有降低外, 在IO
3 - 浓度为0.5-5.0 mg∙L
-1 时, 草莓果实硝酸盐含量相对于对照组均有较明显的增加, 这表明草莓吸收IO
3 - 后, 会使硝酸盐在果实中积累, 从而影响草莓果实品质。在培养液I
- 浓度为0.25-2.5 mg∙L
-1 时, 草莓果实硝酸盐含量相对于对照组(CK)均有较明显的下降, 这表明草莓在吸收I
- 后, 可以抑制硝酸盐在果实中的积累, 从而使草莓果实品质有所提高。但当培养液I
- 浓度为5.0 mg∙L
-1 时, 草莓果实中硝酸盐含量高于对照组(CK), 说明吸收过量的I
- 不仅会对草莓生长产生不良影响, 使草莓根系以上部分的生物量比对照组减少约70% (
图3 ), 而且在使果实维生素C和可溶性糖含量明显降低的同时(
图4 ), 草莓果实硝酸盐含量也会升高(
图6 ), 从而造成草莓果实品质整体下降。
图6 https://www.chinbullbotany.com/article/2017/1674-3466/1674-3466-52-2-167/img_6.png 图6 不同浓度I- 、IO3 - 培养后草莓中总酸度(A)和硝酸盐(B)的含量Figure 6 Content of total acidity (A) and nitrate (B) in strawberry treated with different concentration of I- or IO3 - Figure 6 https://www.chinbullbotany.com/article/2017/1674-3466/1674-3466-52-2-167/img_6.png 图6 不同浓度I- 、IO3 - 培养后草莓中总酸度(A)和硝酸盐(B)的含量Figure 6 Content of total acidity (A) and nitrate (B) in strawberry treated with different concentration of I- or IO3 - 在新窗口打开 下载 下载原图ZIP 生成PPT 图6
不同浓度I
- 、IO
3 - 培养后草莓中总酸度(A)和硝酸盐(B)的含量
Figure 6
Content of total acidity (A) and nitrate (B) in strawberry treated with different concentration of I
- or IO
3 - 从
图6 可以看出, 在整个IO
3 - 实验浓度范围内, 除了浓度为2.5 mg∙L
-1 外, 草莓果实总酸度均比对照组(CK)有所升高。尤其是当IO
3 - 浓度为1.0 mg∙L
-1 时, 草莓果实总酸度达到最大值, 比对照组高25%, 这表明草莓吸收IO
3 - 后, 会增加果实总酸度, 从而使草莓果实的品质有所下降。出现这种情况的原因可能与草莓吸收IO
3 - 后, 在将碘酸根离子中+5价的碘还原为-1价的碘离子过程中, 促使了草莓果实中有机酸形成有关(
Umaly and Poel, 1971 )。而在整个I
- 实验浓度范围内, 草莓果实总酸度的含量均明显低于对照组, 且不同I
- 浓度下的草莓果实总酸度含量没有明显差异, 这表明当草莓吸收了I
- 后, 果实中总酸度的含量明显降低, 从而使果实品质有所提高。
综上所述, 在外源碘浓度≤0.5 mg∙L
-1 时, 当草莓吸收了适量的碘离子(I
- )后, 可以促进草莓植株的生长而使根系以上部分的生物量增加, 最终使草莓果实中不仅含有有机的生物碘, 而且维生素C和可溶性糖的含量有所提高, 硝酸盐和总酸度的含量有所降低, 从而使草莓果实的品质得到明显提高。尽管在≤0.5 mg∙L
-1 的浓度下, 草莓吸收适量的IO
3 - , 也能促进草莓植株的生长而使根系以上部分的生物量增加, 然而, 在使草莓果实维生素C和可溶性糖的含量有所提高的同时, 也增加了硝酸盐和总酸度的含量, 因而不能提高草莓果实的总体品质。因此, 在利用外源碘培育含碘水果时, 建议以碘离子(I
- )作为外源碘。
2.4 结论本研究得出以下结论。(1) 草莓通过根系可以吸收外源碘。草莓各器官碘吸收量随培养液I
- 、IO
3 - 浓度的增加而增加, 碘吸收量的大小依次为: 根>叶>茎>果实。草莓叶片与果实中I
- 、IO
3 - 的吸收量之间均呈显著的正相关, 表明草莓果实中碘的积累量并不决定于根系碘的吸收量, 而主要与叶片中碘的积累量相关。(2) 在相同的外源碘浓度水平下, 草莓吸收的I
- 明显多于IO
3 - 。在较低的碘浓度(I
- ≤0.25 mg∙L
-1 , IO
3 - ≤0.5 mg∙L
-1 )水平下, 草莓吸收适量的外源碘可以促进植株生长, 从而使根系以上部分的生物量提高; 草莓吸收过量的外源碘会对植株产生不良影响, 导致草莓根系以上部分的生物量明显下降。(3) 在培养液I
- 、IO
3 - 浓度较低(0.5 mg∙L
-1 )时, 草莓叶片中碘的相对百分含量明显高于茎中相对百分含量, 草莓果实的品质明显提高; 而在培养液I
- 、IO
3 - 浓度较高(5 mg∙L
-1 )时, 草莓叶片中碘的相对百分含量接近于茎, 草莓果实品质明显下降, 表明草莓果实品质与草莓叶、茎及果实中I
- 、IO
3 - 的相对百分含量有关。(4) 在外源碘浓度≤0.5 mg∙L
-1 时, 草莓吸收碘离子(I
- )可以增加果实维生素C和可溶性糖的含量, 降低硝酸盐和总酸度的含量, 从而使草莓果实的品质得到明显提高; 草莓吸收IO
3 - , 在使果实维生素C和可溶性糖的含量有所增加的同时, 也增加了硝酸盐和总酸度的含量, 从而不能使草莓果实的总体品质得到提高。因此, 在植物碘强化的实践中, 建议以碘离子(I
- )作为外源碘。
The authors have declared that no competing interests exist. 参考文献 文献选项 原文顺序 文献年度倒序 文中引用次数倒序 被引期刊影响因子 [1] 鲍士旦 (2000). 土壤农化分析 . 北京: 中国农业出版社. pp. 137 -140 . [本文引用: 3][2] 陈建勋 , 王晓峰 (2002). 植物生理学实验指导 . 广州: 华南理工大学出版社. pp. 45 -51 . [本文引用: 1][3] 戴九兰 (2004 ). 碘在土壤-植物系统中的生物有效性. 博士论文. 济南: 山东农业大学 . pp.78 -81 . [本文引用: 1][4] 洪春来 , 翁焕新 , 严爱兰 , 谢伶莉 (2008 ). 大豆对外源碘吸收与积累特性的研究. 中国油料作物学报 30, 95 -99 . [本文引用: 1][5] 刘会萍 , 洪春来 , 翁焕新 , 朱凤香 , 陈晓旸 , 王卫平 , 薛智勇 (2012 ). 叶菜类蔬菜对海藻碘的吸收与积累特征. 环境科学学报 32, 2034 -2041 . [本文引用: 1][6] 刘会媛 , 白鹤英 (2004 ). 加碘食盐中碘损失的实验研究(II). 中国井矿盐 35(5 ), 43 -45 . [本文引用: 1][7] 桑仲娜 (2011 ). 碘过量对不同人群甲状腺功能影响及成人碘安全摄入量的研究. 博士论文. 天津: 天津医科大学 . pp. 83 -84 . [本文引用: 1][8] 翁焕新 , 严爱兰 , 洪春来 , 夏天虹 , 刘会萍 (2012 ). 蔬菜植物对I-、IO3 -的吸收及其生物有效性. 地球化学 41, 393 -400 . [本文引用: 1][9] 邢素芝 , 汪建飞 , 范宝荣 , 程志培 , 何兴球 (1999 ). 快速测定植物样品含碘量的新方法. 广东微量元素科学 6(6 ), 57 -60 . [本文引用: 1][10] 邢怡 (2010 ). 富碘油菜栽培与干制过程中碘含量变化的初步研究. 硕士论文. 兰州: 兰州理工大学 . pp. 54 -55 . [本文引用: 1][11] 于文进 , 姚艳 , 韦慧明 , 龙明华 , 唐小付 (2011 ). 樱桃番茄对根际外源碘的吸收及生理反应特性. 广西植物 31, 513 -519 . [本文引用: 1][12] 余孝颖 (2000 ). 内蒙高腐殖酸地下水中碘的分布特征与IDD病的关系. 环境科学 21(3 ), 56 -59 . [本文引用: 1][13] Gonda K , Yamaguchi H , Maruo T , Shinohara Y (2007 ). Effects of iodine on growth and iodine absorption of hydroponically grown tomato and spinach. Hort Res 6, 223 -227 .[14] Hetzel BS (2005 ). Towards the global elimination of brain damage due to iodine deficiency—the role of the International Council for Control of Iodine Deficiency Disorders. Int J Epidemiol 34, 762 -764 . [本文引用: 1][15] Laurberg P , Cerqueira C , Ovesen L , Rasmussen LB , Perrild H , Andersen S , Pedersen IB , Carle A (2010 ). Iodine intake as a determinant of thyroid disorders in populations. Best Pract Res Clin Endocrinol Metab 24, 13 -27 . [本文引用: 1][16] Li YO , Diosady LL , Wesley AS (2010 ). Iodine stability in iodized salt dual fortified with microencapsulated ferrous fumarate made by an extrusion-based encapsulation pro- cess. J Food Eng 99, 232 -238 . [本文引用: 1][17] Longvah T , Toteja GS , Bulliyya G (2012 ). Stability of added iodine in different Indian cooking processes. Food Chem 130, 953 -959 . [本文引用: 1][18] Rah JH , Anas AM , Chakrabarty A , Sankar R , Pandav CS , Aguayo VM (2015 ). Towards universal salt iodisation in India: achievements, challenges and future actions. Maternal Child Nutrition 11, 483 -496 . [本文引用: 1][19] Roti E , Uberti ED (2001 ). Iodine excess and hyperthyroidism.Thyroid 11, 493 -500 . [本文引用: 1][20] Stimec M , Kobe H , Smole K , Kotnik P , Campa AS , Zupancic M , Battelino T , Krzisnik C , Mis NF (2009 ). Adequate iodine intake of Slovenian adolescents is primarily attributed to excessive salt intake.Nutrition Res 29, 888 -896 . [本文引用: 1][21] Umaly RC , Poel LW (1971 ). Effects of iodine in various formulations on the growth of barley and pea plants in nutrient solution culture. Ann Bot 35, 127 -131 . [本文引用: 2][22] Waszkowiak K , Szymandera BK (2008 ). Effect of storage conditions on potassium iodide stability in iodised table salt and collagen preparations.Inter J Food Sci Technol 43, 895 -899 . [本文引用: 1][23] Welch RM , Graham RD (2005 ). Agriculture: the real nexus for enhancing bioavailable micronutrients in food crops. Trace Elem Med Biol 18, 299 -307 . [本文引用: 1][24] Weng HX , Liu HP , Li DW , Ye ML , Pan LH , Xia TH (2014 ). An innovative approach for iodine supplementation using iodine-rich phytogenic food.Environ Geochem Health 36, 815 -828 . [本文引用: 1][25] Zhu YG , Huang YZ , Hu Y , Liu YX (2003 ). Iodine uptake by spinach (Spinacia oleracea L.) plants grown in solution culture: effects of iodine species and solution concentrations.Environ Int 29, 33 -37 .
3
... 碘在人体的新陈代谢过程中起着不可替代的作用, 人体一旦缺碘, 就会引起碘缺乏病(iodine deficiency disease, IDD)并严重影响人类健康(
Hetzel, 2005 ;
Laurberg et al., 2010 ).因此, 人体补碘已成为全球范围的一个公共卫生问题.食盐加碘是目前普遍采用的防治IDD的方法(
Rah et al., 2015 ).然而, 碘具有双侧阈值的特征(
Roti and Uberti, 2001 ;
Stimec et al., 2009 ;
Bürgi, 2010 ), 即摄入过量的碘与碘缺乏一样, 均会对机体产生不良的生物学效应.食盐加碘一方面由于添加的无机碘(KI或KIO
3 )具有易挥发的特点(
刘会媛和白鹤英, 2004 ;
Waszkowiak and Szyman- dera-Buszka, 2008 ;
Li et al., 2010 ;
Longvah et al., 2012 ), 在生产、储藏、运输和烹饪过程中会造成碘丢失, 因而生物利用率较低; 另一方面, 对于碘吸收特别敏感的人群, 存在摄入过量碘的风险.有资料表明, 我国自从实施全民食盐加碘后, 甲亢患者明显增多, 因摄入过量碘而引发甲状腺疾病的发病率在上升, 且呈蔓延趋势(
桑仲娜, 2011 ).因此, 全民食盐加碘存在缺陷是显而易见的. ...
... 草莓果实中维生素C (Vc)含量的测定使用2, 6-二氯靛酚滴定法(
鲍士旦, 2000 ).称取鲜样品50.0-100.0 g, 加入等重量的20 g∙L
-1 草酸浸提剂, 快速捣碎1分钟, 将样品打成浆状(整个过程应在10分钟内完成, 以免Vc被空气氧化).用小烧杯称取浆状物10-30.0 g, 放入100 mL容量瓶中, 用20 g∙L
-1 草酸溶液定容, 若有泡沫可加2滴辛醇除去, 过滤.若滤液色深, 影响滴定终点的判定时, 可加1-2勺白陶土脱色, 用离心机分离. ...
... 草莓果实总酸度采用滴定法测定(
鲍士旦, 2000 ).在小烧杯中称取捣碎均匀的样品10-20 g, 用约150 mL无CO
2 水将其移入250 mL容量瓶中, 充分摇匀后稀释定容.用干滤纸过滤, 取滤液50 mL, 加入酚酞指示剂3-4滴, 用0.1 mol∙L
-1 NaOH标准溶液滴定至微红色, 以1分钟不褪色为终点. ...
1
... 草莓果实可溶性糖总量的测定采用蒽酮比色法(
陈建勋和王晓峰, 2002 ).称取捣碎均匀的样品1 g, 置于研钵中, 加入少量蒸馏水, 研磨成匀浆, 然后转入20 mL刻度试管中, 用10 mL蒸馏水分次洗涤研钵, 洗液一并转入刻度试管中.置沸水浴中加盖煮沸10分钟, 冷却后过滤, 将滤液收集在100 mL容量瓶中, 定容, 摇匀备用. ...
碘在土壤-植物系统中的生物有效性. 博士论文
1
2004
...
图3 显示草莓地上部分生物量随培养液I
- 、IO
3 - 浓度的变化.从
图3 可以看出, 当培养液碘浓度较低(I
- 浓度=0.25 mg∙L
-1 , IO
3 - 浓度≤0.5 mg∙L
-1 )时, 草莓根系以上部分的生物量高于对照组(CK).差异显著性分析结果表明, 除了培养液浓度为0.25 mg∙L
-1 时, 草莓吸收I
- 、IO
3 - 根系以上部分生物量与对照组(CK)无显著差异外, 其它浓度下, 草莓吸收I
- 、IO
3 - 根系以上部分生物量与对照组(CK)均存在显著差异(
P <0.05).这表明草莓在较低的碘浓度下, 吸收适量的外源碘可以促进植株生长, 从而使根系以上部分的生物量提高.已有的相关研究结果也证实, 尽管碘不是高等植物生长过程中所必需的微量元素, 但是低浓度的碘能刺激和促进亚麻(
Linum grandiflora )、荞麦(
Fagopyrum dibotrys )、番茄(
Lycopersicon esculentum )以及豆科作物的生长发育(
戴九兰, 2004 ;
洪春来等, 2008 ;
于文进等, 2011 ). ...
大豆对外源碘吸收与积累特性的研究
1
2008
...
图3 显示草莓地上部分生物量随培养液I
- 、IO
3 - 浓度的变化.从
图3 可以看出, 当培养液碘浓度较低(I
- 浓度=0.25 mg∙L
-1 , IO
3 - 浓度≤0.5 mg∙L
-1 )时, 草莓根系以上部分的生物量高于对照组(CK).差异显著性分析结果表明, 除了培养液浓度为0.25 mg∙L
-1 时, 草莓吸收I
- 、IO
3 - 根系以上部分生物量与对照组(CK)无显著差异外, 其它浓度下, 草莓吸收I
- 、IO
3 - 根系以上部分生物量与对照组(CK)均存在显著差异(
P <0.05).这表明草莓在较低的碘浓度下, 吸收适量的外源碘可以促进植株生长, 从而使根系以上部分的生物量提高.已有的相关研究结果也证实, 尽管碘不是高等植物生长过程中所必需的微量元素, 但是低浓度的碘能刺激和促进亚麻(
Linum grandiflora )、荞麦(
Fagopyrum dibotrys )、番茄(
Lycopersicon esculentum )以及豆科作物的生长发育(
戴九兰, 2004 ;
洪春来等, 2008 ;
于文进等, 2011 ). ...
叶菜类蔬菜对海藻碘的吸收与积累特征
1
2012
... 在自然情况下, 人体中的碘80%以上来自植物性食物(
Welch and Graham, 2005 ).由于天然食物中的微量元素易被人体吸收, 且无生理毒副作用(
余孝颖, 2000 ), 因此人体对不同种类食物中碘的生物利用率最高可达99%.由此可见, 提高植物性食物中碘的含量水平, 使人们能够通过日常膳食自然补碘, 是彻底消除碘缺乏病(IDD)的关键.已有研究表明, 通过施加外源碘可以直接培育出含碘的蔬菜(
翁焕新等, 2012 ;
刘会萍等, 2012 ;
Weng et al., 2014 ).然而, 由于碘不是植物生长的必需微量元素, 因此施加外源碘是否能够培育出含碘水果, 水果对外源碘呈现怎样的吸收特征, 吸收外源碘后对果实的品质会产生怎样的影响, 目前尚知之甚少.本研究选择人们日常喜爱且营养丰富的草莓(
Fragaria )作为研究对象, 通过水培实验, 深入探讨了草莓对不同形态外源碘(I
- 和IO
3 - )的吸收特征, 并在分析不同外源碘浓度下草莓根系以上部分生物量的基础上, 通过对比草莓在吸收I
- 及IO
3 - 前后果实维生素C、可溶性糖、总酸度和硝酸盐含量的变化, 综合评价了草莓吸收I
- 及IO
3 - 对果实品质的影响, 从而为利用植物碘农业生物强化措施培育含碘植物性食品提供科学依据和技术支撑. ...
加碘食盐中碘损失的实验研究(II)
1
2004
... 碘在人体的新陈代谢过程中起着不可替代的作用, 人体一旦缺碘, 就会引起碘缺乏病(iodine deficiency disease, IDD)并严重影响人类健康(
Hetzel, 2005 ;
Laurberg et al., 2010 ).因此, 人体补碘已成为全球范围的一个公共卫生问题.食盐加碘是目前普遍采用的防治IDD的方法(
Rah et al., 2015 ).然而, 碘具有双侧阈值的特征(
Roti and Uberti, 2001 ;
Stimec et al., 2009 ;
Bürgi, 2010 ), 即摄入过量的碘与碘缺乏一样, 均会对机体产生不良的生物学效应.食盐加碘一方面由于添加的无机碘(KI或KIO
3 )具有易挥发的特点(
刘会媛和白鹤英, 2004 ;
Waszkowiak and Szyman- dera-Buszka, 2008 ;
Li et al., 2010 ;
Longvah et al., 2012 ), 在生产、储藏、运输和烹饪过程中会造成碘丢失, 因而生物利用率较低; 另一方面, 对于碘吸收特别敏感的人群, 存在摄入过量碘的风险.有资料表明, 我国自从实施全民食盐加碘后, 甲亢患者明显增多, 因摄入过量碘而引发甲状腺疾病的发病率在上升, 且呈蔓延趋势(
桑仲娜, 2011 ).因此, 全民食盐加碘存在缺陷是显而易见的. ...
碘过量对不同人群甲状腺功能影响及成人碘安全摄入量的研究
1
2011
... 碘在人体的新陈代谢过程中起着不可替代的作用, 人体一旦缺碘, 就会引起碘缺乏病(iodine deficiency disease, IDD)并严重影响人类健康(
Hetzel, 2005 ;
Laurberg et al., 2010 ).因此, 人体补碘已成为全球范围的一个公共卫生问题.食盐加碘是目前普遍采用的防治IDD的方法(
Rah et al., 2015 ).然而, 碘具有双侧阈值的特征(
Roti and Uberti, 2001 ;
Stimec et al., 2009 ;
Bürgi, 2010 ), 即摄入过量的碘与碘缺乏一样, 均会对机体产生不良的生物学效应.食盐加碘一方面由于添加的无机碘(KI或KIO
3 )具有易挥发的特点(
刘会媛和白鹤英, 2004 ;
Waszkowiak and Szyman- dera-Buszka, 2008 ;
Li et al., 2010 ;
Longvah et al., 2012 ), 在生产、储藏、运输和烹饪过程中会造成碘丢失, 因而生物利用率较低; 另一方面, 对于碘吸收特别敏感的人群, 存在摄入过量碘的风险.有资料表明, 我国自从实施全民食盐加碘后, 甲亢患者明显增多, 因摄入过量碘而引发甲状腺疾病的发病率在上升, 且呈蔓延趋势(
桑仲娜, 2011 ).因此, 全民食盐加碘存在缺陷是显而易见的. ...
蔬菜植物对I-、IO
3 -的吸收及其生物有效性
1
2012
... 在自然情况下, 人体中的碘80%以上来自植物性食物(
Welch and Graham, 2005 ).由于天然食物中的微量元素易被人体吸收, 且无生理毒副作用(
余孝颖, 2000 ), 因此人体对不同种类食物中碘的生物利用率最高可达99%.由此可见, 提高植物性食物中碘的含量水平, 使人们能够通过日常膳食自然补碘, 是彻底消除碘缺乏病(IDD)的关键.已有研究表明, 通过施加外源碘可以直接培育出含碘的蔬菜(
翁焕新等, 2012 ;
刘会萍等, 2012 ;
Weng et al., 2014 ).然而, 由于碘不是植物生长的必需微量元素, 因此施加外源碘是否能够培育出含碘水果, 水果对外源碘呈现怎样的吸收特征, 吸收外源碘后对果实的品质会产生怎样的影响, 目前尚知之甚少.本研究选择人们日常喜爱且营养丰富的草莓(
Fragaria )作为研究对象, 通过水培实验, 深入探讨了草莓对不同形态外源碘(I
- 和IO
3 - )的吸收特征, 并在分析不同外源碘浓度下草莓根系以上部分生物量的基础上, 通过对比草莓在吸收I
- 及IO
3 - 前后果实维生素C、可溶性糖、总酸度和硝酸盐含量的变化, 综合评价了草莓吸收I
- 及IO
3 - 对果实品质的影响, 从而为利用植物碘农业生物强化措施培育含碘植物性食品提供科学依据和技术支撑. ...
快速测定植物样品含碘量的新方法
1
1999
... 草莓根、茎、叶及果实各器官中碘的含量用放大反应比色法测定(
邢素芝等, 1999 ). ...
富碘油菜栽培与干制过程中碘含量变化的初步研究
1
2010
...
图1 显示草莓根、茎、叶和果实碘吸收量随营养液I
- 与IO
3 - 浓度的变化.从
图1 可以看出, 草莓各器官碘吸收量随营养液I
- 、IO
3 - 浓度的增加而增加, 各器官中碘吸收量的大小依次为: 根>叶>茎>果实.差异显著性分析结果表明, 当营养液浓度分别为0.25和0.5 mg∙L
-1 时, 根和果实对I
- 、IO
3 - 的吸收无显著差异; 其它浓度下, 根、叶、茎和果实对I
- 、IO
3 - 的吸收均存在显著差异(
P <0.05).草莓根对I
- 的吸收量分别为叶、茎和果实的18倍、25倍和161倍; 而草莓根对IO
3 - 的吸收量分别为叶、茎和果实的6倍、9倍和44倍, 表明草莓根系从营养液中吸收的I
- 、IO
3 - 绝大部分积累在根部, 当根部对I
- 、IO
3 - 的吸收量达到饱和时, 它们中的少部分随水分与其它养分通过木质部被转移到茎, 再通过茎输送至叶片.由于茎和叶对碘的截留作用, 最终输送至果实的碘只是很小一部分(
邢怡, 2010 ).叶片中碘的吸收量大于茎, 说明在草莓开始结果之前, 茎只是碘的输送通道, 而叶片是碘输送的终点.其原因为叶片是植物进行光合作用最重要的器官. ...
樱桃番茄对根际外源碘的吸收及生理反应特性
1
2011
...
图3 显示草莓地上部分生物量随培养液I
- 、IO
3 - 浓度的变化.从
图3 可以看出, 当培养液碘浓度较低(I
- 浓度=0.25 mg∙L
-1 , IO
3 - 浓度≤0.5 mg∙L
-1 )时, 草莓根系以上部分的生物量高于对照组(CK).差异显著性分析结果表明, 除了培养液浓度为0.25 mg∙L
-1 时, 草莓吸收I
- 、IO
3 - 根系以上部分生物量与对照组(CK)无显著差异外, 其它浓度下, 草莓吸收I
- 、IO
3 - 根系以上部分生物量与对照组(CK)均存在显著差异(
P <0.05).这表明草莓在较低的碘浓度下, 吸收适量的外源碘可以促进植株生长, 从而使根系以上部分的生物量提高.已有的相关研究结果也证实, 尽管碘不是高等植物生长过程中所必需的微量元素, 但是低浓度的碘能刺激和促进亚麻(
Linum grandiflora )、荞麦(
Fagopyrum dibotrys )、番茄(
Lycopersicon esculentum )以及豆科作物的生长发育(
戴九兰, 2004 ;
洪春来等, 2008 ;
于文进等, 2011 ). ...
内蒙高腐殖酸地下水中碘的分布特征与IDD病的关系
1
2000
... 在自然情况下, 人体中的碘80%以上来自植物性食物(
Welch and Graham, 2005 ).由于天然食物中的微量元素易被人体吸收, 且无生理毒副作用(
余孝颖, 2000 ), 因此人体对不同种类食物中碘的生物利用率最高可达99%.由此可见, 提高植物性食物中碘的含量水平, 使人们能够通过日常膳食自然补碘, 是彻底消除碘缺乏病(IDD)的关键.已有研究表明, 通过施加外源碘可以直接培育出含碘的蔬菜(
翁焕新等, 2012 ;
刘会萍等, 2012 ;
Weng et al., 2014 ).然而, 由于碘不是植物生长的必需微量元素, 因此施加外源碘是否能够培育出含碘水果, 水果对外源碘呈现怎样的吸收特征, 吸收外源碘后对果实的品质会产生怎样的影响, 目前尚知之甚少.本研究选择人们日常喜爱且营养丰富的草莓(
Fragaria )作为研究对象, 通过水培实验, 深入探讨了草莓对不同形态外源碘(I
- 和IO
3 - )的吸收特征, 并在分析不同外源碘浓度下草莓根系以上部分生物量的基础上, 通过对比草莓在吸收I
- 及IO
3 - 前后果实维生素C、可溶性糖、总酸度和硝酸盐含量的变化, 综合评价了草莓吸收I
- 及IO
3 - 对果实品质的影响, 从而为利用植物碘农业生物强化措施培育含碘植物性食品提供科学依据和技术支撑. ...
2007
1
2005
... 碘在人体的新陈代谢过程中起着不可替代的作用, 人体一旦缺碘, 就会引起碘缺乏病(iodine deficiency disease, IDD)并严重影响人类健康(
Hetzel, 2005 ;
Laurberg et al., 2010 ).因此, 人体补碘已成为全球范围的一个公共卫生问题.食盐加碘是目前普遍采用的防治IDD的方法(
Rah et al., 2015 ).然而, 碘具有双侧阈值的特征(
Roti and Uberti, 2001 ;
Stimec et al., 2009 ;
Bürgi, 2010 ), 即摄入过量的碘与碘缺乏一样, 均会对机体产生不良的生物学效应.食盐加碘一方面由于添加的无机碘(KI或KIO
3 )具有易挥发的特点(
刘会媛和白鹤英, 2004 ;
Waszkowiak and Szyman- dera-Buszka, 2008 ;
Li et al., 2010 ;
Longvah et al., 2012 ), 在生产、储藏、运输和烹饪过程中会造成碘丢失, 因而生物利用率较低; 另一方面, 对于碘吸收特别敏感的人群, 存在摄入过量碘的风险.有资料表明, 我国自从实施全民食盐加碘后, 甲亢患者明显增多, 因摄入过量碘而引发甲状腺疾病的发病率在上升, 且呈蔓延趋势(
桑仲娜, 2011 ).因此, 全民食盐加碘存在缺陷是显而易见的. ...
1
2010
... 碘在人体的新陈代谢过程中起着不可替代的作用, 人体一旦缺碘, 就会引起碘缺乏病(iodine deficiency disease, IDD)并严重影响人类健康(
Hetzel, 2005 ;
Laurberg et al., 2010 ).因此, 人体补碘已成为全球范围的一个公共卫生问题.食盐加碘是目前普遍采用的防治IDD的方法(
Rah et al., 2015 ).然而, 碘具有双侧阈值的特征(
Roti and Uberti, 2001 ;
Stimec et al., 2009 ;
Bürgi, 2010 ), 即摄入过量的碘与碘缺乏一样, 均会对机体产生不良的生物学效应.食盐加碘一方面由于添加的无机碘(KI或KIO
3 )具有易挥发的特点(
刘会媛和白鹤英, 2004 ;
Waszkowiak and Szyman- dera-Buszka, 2008 ;
Li et al., 2010 ;
Longvah et al., 2012 ), 在生产、储藏、运输和烹饪过程中会造成碘丢失, 因而生物利用率较低; 另一方面, 对于碘吸收特别敏感的人群, 存在摄入过量碘的风险.有资料表明, 我国自从实施全民食盐加碘后, 甲亢患者明显增多, 因摄入过量碘而引发甲状腺疾病的发病率在上升, 且呈蔓延趋势(
桑仲娜, 2011 ).因此, 全民食盐加碘存在缺陷是显而易见的. ...
1
2010
... 碘在人体的新陈代谢过程中起着不可替代的作用, 人体一旦缺碘, 就会引起碘缺乏病(iodine deficiency disease, IDD)并严重影响人类健康(
Hetzel, 2005 ;
Laurberg et al., 2010 ).因此, 人体补碘已成为全球范围的一个公共卫生问题.食盐加碘是目前普遍采用的防治IDD的方法(
Rah et al., 2015 ).然而, 碘具有双侧阈值的特征(
Roti and Uberti, 2001 ;
Stimec et al., 2009 ;
Bürgi, 2010 ), 即摄入过量的碘与碘缺乏一样, 均会对机体产生不良的生物学效应.食盐加碘一方面由于添加的无机碘(KI或KIO
3 )具有易挥发的特点(
刘会媛和白鹤英, 2004 ;
Waszkowiak and Szyman- dera-Buszka, 2008 ;
Li et al., 2010 ;
Longvah et al., 2012 ), 在生产、储藏、运输和烹饪过程中会造成碘丢失, 因而生物利用率较低; 另一方面, 对于碘吸收特别敏感的人群, 存在摄入过量碘的风险.有资料表明, 我国自从实施全民食盐加碘后, 甲亢患者明显增多, 因摄入过量碘而引发甲状腺疾病的发病率在上升, 且呈蔓延趋势(
桑仲娜, 2011 ).因此, 全民食盐加碘存在缺陷是显而易见的. ...
1
2012
... 碘在人体的新陈代谢过程中起着不可替代的作用, 人体一旦缺碘, 就会引起碘缺乏病(iodine deficiency disease, IDD)并严重影响人类健康(
Hetzel, 2005 ;
Laurberg et al., 2010 ).因此, 人体补碘已成为全球范围的一个公共卫生问题.食盐加碘是目前普遍采用的防治IDD的方法(
Rah et al., 2015 ).然而, 碘具有双侧阈值的特征(
Roti and Uberti, 2001 ;
Stimec et al., 2009 ;
Bürgi, 2010 ), 即摄入过量的碘与碘缺乏一样, 均会对机体产生不良的生物学效应.食盐加碘一方面由于添加的无机碘(KI或KIO
3 )具有易挥发的特点(
刘会媛和白鹤英, 2004 ;
Waszkowiak and Szyman- dera-Buszka, 2008 ;
Li et al., 2010 ;
Longvah et al., 2012 ), 在生产、储藏、运输和烹饪过程中会造成碘丢失, 因而生物利用率较低; 另一方面, 对于碘吸收特别敏感的人群, 存在摄入过量碘的风险.有资料表明, 我国自从实施全民食盐加碘后, 甲亢患者明显增多, 因摄入过量碘而引发甲状腺疾病的发病率在上升, 且呈蔓延趋势(
桑仲娜, 2011 ).因此, 全民食盐加碘存在缺陷是显而易见的. ...
1
2015
... 碘在人体的新陈代谢过程中起着不可替代的作用, 人体一旦缺碘, 就会引起碘缺乏病(iodine deficiency disease, IDD)并严重影响人类健康(
Hetzel, 2005 ;
Laurberg et al., 2010 ).因此, 人体补碘已成为全球范围的一个公共卫生问题.食盐加碘是目前普遍采用的防治IDD的方法(
Rah et al., 2015 ).然而, 碘具有双侧阈值的特征(
Roti and Uberti, 2001 ;
Stimec et al., 2009 ;
Bürgi, 2010 ), 即摄入过量的碘与碘缺乏一样, 均会对机体产生不良的生物学效应.食盐加碘一方面由于添加的无机碘(KI或KIO
3 )具有易挥发的特点(
刘会媛和白鹤英, 2004 ;
Waszkowiak and Szyman- dera-Buszka, 2008 ;
Li et al., 2010 ;
Longvah et al., 2012 ), 在生产、储藏、运输和烹饪过程中会造成碘丢失, 因而生物利用率较低; 另一方面, 对于碘吸收特别敏感的人群, 存在摄入过量碘的风险.有资料表明, 我国自从实施全民食盐加碘后, 甲亢患者明显增多, 因摄入过量碘而引发甲状腺疾病的发病率在上升, 且呈蔓延趋势(
桑仲娜, 2011 ).因此, 全民食盐加碘存在缺陷是显而易见的. ...
1
2001
... 碘在人体的新陈代谢过程中起着不可替代的作用, 人体一旦缺碘, 就会引起碘缺乏病(iodine deficiency disease, IDD)并严重影响人类健康(
Hetzel, 2005 ;
Laurberg et al., 2010 ).因此, 人体补碘已成为全球范围的一个公共卫生问题.食盐加碘是目前普遍采用的防治IDD的方法(
Rah et al., 2015 ).然而, 碘具有双侧阈值的特征(
Roti and Uberti, 2001 ;
Stimec et al., 2009 ;
Bürgi, 2010 ), 即摄入过量的碘与碘缺乏一样, 均会对机体产生不良的生物学效应.食盐加碘一方面由于添加的无机碘(KI或KIO
3 )具有易挥发的特点(
刘会媛和白鹤英, 2004 ;
Waszkowiak and Szyman- dera-Buszka, 2008 ;
Li et al., 2010 ;
Longvah et al., 2012 ), 在生产、储藏、运输和烹饪过程中会造成碘丢失, 因而生物利用率较低; 另一方面, 对于碘吸收特别敏感的人群, 存在摄入过量碘的风险.有资料表明, 我国自从实施全民食盐加碘后, 甲亢患者明显增多, 因摄入过量碘而引发甲状腺疾病的发病率在上升, 且呈蔓延趋势(
桑仲娜, 2011 ).因此, 全民食盐加碘存在缺陷是显而易见的. ...
1
2009
... 碘在人体的新陈代谢过程中起着不可替代的作用, 人体一旦缺碘, 就会引起碘缺乏病(iodine deficiency disease, IDD)并严重影响人类健康(
Hetzel, 2005 ;
Laurberg et al., 2010 ).因此, 人体补碘已成为全球范围的一个公共卫生问题.食盐加碘是目前普遍采用的防治IDD的方法(
Rah et al., 2015 ).然而, 碘具有双侧阈值的特征(
Roti and Uberti, 2001 ;
Stimec et al., 2009 ;
Bürgi, 2010 ), 即摄入过量的碘与碘缺乏一样, 均会对机体产生不良的生物学效应.食盐加碘一方面由于添加的无机碘(KI或KIO
3 )具有易挥发的特点(
刘会媛和白鹤英, 2004 ;
Waszkowiak and Szyman- dera-Buszka, 2008 ;
Li et al., 2010 ;
Longvah et al., 2012 ), 在生产、储藏、运输和烹饪过程中会造成碘丢失, 因而生物利用率较低; 另一方面, 对于碘吸收特别敏感的人群, 存在摄入过量碘的风险.有资料表明, 我国自从实施全民食盐加碘后, 甲亢患者明显增多, 因摄入过量碘而引发甲状腺疾病的发病率在上升, 且呈蔓延趋势(
桑仲娜, 2011 ).因此, 全民食盐加碘存在缺陷是显而易见的. ...
2
1971
... 进一步观察发现, 草莓对2种不同形态外源碘(I
- 、IO
3 - )的吸收特征存在明显差异.草莓各器官对I
- 的吸收量随营养液I
- 浓度变化的幅度较大.当营养液I
- 浓度较低(<2.5 mg∙L
-1 )时, 各器官对I
- 的吸收量随营养液I
- 浓度的增加而逐渐增加; 而当营养液I
- 浓度较高(≥2.5 mg∙L
-1 )时, 各器官对I
- 的吸收量随营养液I
- 浓度的增加而明显增加.草莓各器官对IO
3 - 的吸收量随营养液IO
3 - 浓度变化的幅度不大.除了果实中碘的吸收量在营养液IO
3 - 浓度为5.0 mg∙L
-1 时比营养液IO
3 - 浓度为2.5 mg∙L
-1 时有较明显的增加外, 其它器官中碘的吸收量随营养液IO
3 - 浓度增加而逐渐增加.草莓各器官对I
- 的吸收量明显大于对IO
3 - 的吸收量, 根、叶、茎和果实中I
- 的最大吸收量分别约为IO
3 - 最大吸收量的5.6倍、1.5倍、1.6倍和1.2倍.在相同的外源碘浓度下, 草莓吸收的I
- 明显多于IO
3 - , 这与作物对碘的吸收量随碘分子量和化合价的增加而减少有关(
Umaly and Poel, 1971 ).IO
3 - 的分子量和碘的化合价(+5价)均大于碘离子(I
- ), 因此草莓对I
- 的吸收量多于IO
3 - . ...
... 从
图6 可以看出, 在整个IO
3 - 实验浓度范围内, 除了浓度为2.5 mg∙L
-1 外, 草莓果实总酸度均比对照组(CK)有所升高.尤其是当IO
3 - 浓度为1.0 mg∙L
-1 时, 草莓果实总酸度达到最大值, 比对照组高25%, 这表明草莓吸收IO
3 - 后, 会增加果实总酸度, 从而使草莓果实的品质有所下降.出现这种情况的原因可能与草莓吸收IO
3 - 后, 在将碘酸根离子中+5价的碘还原为-1价的碘离子过程中, 促使了草莓果实中有机酸形成有关(
Umaly and Poel, 1971 ).而在整个I
- 实验浓度范围内, 草莓果实总酸度的含量均明显低于对照组, 且不同I
- 浓度下的草莓果实总酸度含量没有明显差异, 这表明当草莓吸收了I
- 后, 果实中总酸度的含量明显降低, 从而使果实品质有所提高. ...
1
2008
... 碘在人体的新陈代谢过程中起着不可替代的作用, 人体一旦缺碘, 就会引起碘缺乏病(iodine deficiency disease, IDD)并严重影响人类健康(
Hetzel, 2005 ;
Laurberg et al., 2010 ).因此, 人体补碘已成为全球范围的一个公共卫生问题.食盐加碘是目前普遍采用的防治IDD的方法(
Rah et al., 2015 ).然而, 碘具有双侧阈值的特征(
Roti and Uberti, 2001 ;
Stimec et al., 2009 ;
Bürgi, 2010 ), 即摄入过量的碘与碘缺乏一样, 均会对机体产生不良的生物学效应.食盐加碘一方面由于添加的无机碘(KI或KIO
3 )具有易挥发的特点(
刘会媛和白鹤英, 2004 ;
Waszkowiak and Szyman- dera-Buszka, 2008 ;
Li et al., 2010 ;
Longvah et al., 2012 ), 在生产、储藏、运输和烹饪过程中会造成碘丢失, 因而生物利用率较低; 另一方面, 对于碘吸收特别敏感的人群, 存在摄入过量碘的风险.有资料表明, 我国自从实施全民食盐加碘后, 甲亢患者明显增多, 因摄入过量碘而引发甲状腺疾病的发病率在上升, 且呈蔓延趋势(
桑仲娜, 2011 ).因此, 全民食盐加碘存在缺陷是显而易见的. ...
1
2005
... 在自然情况下, 人体中的碘80%以上来自植物性食物(
Welch and Graham, 2005 ).由于天然食物中的微量元素易被人体吸收, 且无生理毒副作用(
余孝颖, 2000 ), 因此人体对不同种类食物中碘的生物利用率最高可达99%.由此可见, 提高植物性食物中碘的含量水平, 使人们能够通过日常膳食自然补碘, 是彻底消除碘缺乏病(IDD)的关键.已有研究表明, 通过施加外源碘可以直接培育出含碘的蔬菜(
翁焕新等, 2012 ;
刘会萍等, 2012 ;
Weng et al., 2014 ).然而, 由于碘不是植物生长的必需微量元素, 因此施加外源碘是否能够培育出含碘水果, 水果对外源碘呈现怎样的吸收特征, 吸收外源碘后对果实的品质会产生怎样的影响, 目前尚知之甚少.本研究选择人们日常喜爱且营养丰富的草莓(
Fragaria )作为研究对象, 通过水培实验, 深入探讨了草莓对不同形态外源碘(I
- 和IO
3 - )的吸收特征, 并在分析不同外源碘浓度下草莓根系以上部分生物量的基础上, 通过对比草莓在吸收I
- 及IO
3 - 前后果实维生素C、可溶性糖、总酸度和硝酸盐含量的变化, 综合评价了草莓吸收I
- 及IO
3 - 对果实品质的影响, 从而为利用植物碘农业生物强化措施培育含碘植物性食品提供科学依据和技术支撑. ...
1
2014
... 在自然情况下, 人体中的碘80%以上来自植物性食物(
Welch and Graham, 2005 ).由于天然食物中的微量元素易被人体吸收, 且无生理毒副作用(
余孝颖, 2000 ), 因此人体对不同种类食物中碘的生物利用率最高可达99%.由此可见, 提高植物性食物中碘的含量水平, 使人们能够通过日常膳食自然补碘, 是彻底消除碘缺乏病(IDD)的关键.已有研究表明, 通过施加外源碘可以直接培育出含碘的蔬菜(
翁焕新等, 2012 ;
刘会萍等, 2012 ;
Weng et al., 2014 ).然而, 由于碘不是植物生长的必需微量元素, 因此施加外源碘是否能够培育出含碘水果, 水果对外源碘呈现怎样的吸收特征, 吸收外源碘后对果实的品质会产生怎样的影响, 目前尚知之甚少.本研究选择人们日常喜爱且营养丰富的草莓(
Fragaria )作为研究对象, 通过水培实验, 深入探讨了草莓对不同形态外源碘(I
- 和IO
3 - )的吸收特征, 并在分析不同外源碘浓度下草莓根系以上部分生物量的基础上, 通过对比草莓在吸收I
- 及IO
3 - 前后果实维生素C、可溶性糖、总酸度和硝酸盐含量的变化, 综合评价了草莓吸收I
- 及IO
3 - 对果实品质的影响, 从而为利用植物碘农业生物强化措施培育含碘植物性食品提供科学依据和技术支撑. ...
2003