赵财,
樊志龙,
苟志文,
胡发龙,
殷文,
柴强,
甘肃省干旱生境作物学重点实验室/甘肃农业大学农学院 兰州 730070
基金项目: 国家自然科学基金项目31771738
国家公益性行业(农业)科研专项201503125-3
详细信息
作者简介:王玉, 主要研究方向为旱地与绿洲农作制。E-mail:wangyu12080509@163.com
通讯作者:柴强, 主要从事多熟种植、循环农业、保护性耕作技术与理论研究。E-mail:chaiq@gsau.edu.cn
中图分类号:S341计量
文章访问数:481
HTML全文浏览量:5
PDF下载量:867
被引次数:0
出版历程
收稿日期:2019-12-05
录用日期:2020-02-24
刊出日期:2020-05-01
Characteristics of dry matter accumulation and yield formation of dense planting maize in different row spacings
WANG Yu,ZHAO Cai,
FAN Zhilong,
GOU Zhiwen,
HU Falong,
YIN Wen,
CHAI Qiang,
Gansu Provincial Key Laboratory of Arid Land Crop Science/Faculty of Agronomy, Gansu Agricultural University, Lanzhou 730070, China
Funds: the National Natural Science Foundation of China31771738
the Special Fund for Agro-scientific Research in the Public Interest of China201503125-3
More Information
Corresponding author:CHAI Qiang, E-mail:chaiq@gsau.edu.cn
摘要
HTML全文
图
参考文献
相关文章
施引文献
资源附件
访问统计
摘要
摘要:空间布局是决定玉米密植潜力的重要因子,但有关行距配置对不同密度玉米产量及其构成因素的调控研究比较薄弱,使得生产实践中缺乏通过行距配置优化挖掘玉米密植潜力的理论依据。2017—2018年,在带宽相同条件下,研究了7:3(L1:宽行56 cm:窄行24 cm)、6:4(L2:宽行48 cm:窄行32 cm)、5:5(L3:行距配置均为40 cm)3种行距配置对5种密度(D1:82 500株·hm-2、D2:90 000株·hm-2、D3:97 500株·hm-2、D4:105 000株·hm-2、D5:112 500株·hm-2)玉米产量及其构成因素的影响。行距配置、密度及二者的互作效应显著影响玉米籽粒产量,L1行距配置较L3增产5.2%~10.5%,增幅显著;D2、D3密度处理分别较D1密度处理增产6.1%~12.0%、6.5%~15.0%(P < 0.05),L1D3、L2D3产量较L3D1提高了8.3%~34.2%、4.8%~27.5%(P < 0.05),L1D3的增产效果最好,说明宽窄行种植增强了玉米植株的耐密性,提高了玉米群体的密植潜力。宽窄行结合密植有利于提高玉米的生物产量,其中L1行距配置较L3提高3.0%~6.6%(P < 0.05),D3密度较D1密度高3.4%~8.0%(P < 0.05),L1D3较L3D1处理提高5.2%~15.0%(P < 0.05)。宽窄行种植提高玉米密植潜力的原因是:1)提高了玉米生长后期(大喇叭口期至灌浆期)的干物质累积速率,该时期玉米的干物质累积速率L1行距配置较L3提高32.9%~42.0%,D3密度较D1密度高9.2%~23.9%,L1D3处理较L3D1处理高29.1%~34.3%,增幅均显著;2)提高了光合产物向穗部的转移,2017年度玉米收获指数D3密度较D1密度高6.4%,L1D3处理较L3D1处理高16.2%,2018年无显著差异;3)提高了玉米的成穗数和穗粒数,D3密度的成穗数较D1密度高16.0%~20.2%,L1D3较L3D1成穗数高16.9%~25.9%,L1行距配置较L2、L3穗粒数分别高3.0%~4.4%、3.9%~7.0%,提高幅度均显著。56 cm:24 cm宽窄行结合密度97 500株·hm-2是绿洲灌区获得高产,密植潜力充分发挥的理想种植模式。
关键词:行距配置/
密植潜力/
干物质积累/
收获指数/
产量构成/
玉米
Abstract:Spatial layout is crucial to determine the dense planting potential of maize. However, the influence of row spacing allocation on maize yield and its components with different planting densities is unclear. This uncertainty leads to a lack of a theoretical basis of the utilization of the dense planting potential of maize by optimizing the allocation of row spacing. From 2017 to 2018, with the same bandwidth, this study investigated how three row spacing allocation treatments-ratios of wide to narrow rows spacing of 7:3 (L1:56 cm:24 cm), 6:4 (L2:48 cm:32 cm), and 5:5 (L3:40 cm:40 cm)-affected maize yield and its components under five planting densities (D1:82 500 plants·hm-2; D2:90 000 plants·hm-2; D3:97 500 plants·hm-2; D4:105 000 plants·hm-2; and D5:112 500 plants·hm-2). Row spacing allocation, density, and their interactions significantly affected grain yield. Compared to L3 row spacing allocation, L1 increased significantly grain yield by 5.2%-10.5%. Compared to D1 density, D2 and D3 increased grain yield by 6.1%-12.0% and 6.5%-15.0%, respectively (P < 0.05). Compared with L3D1 treatment, L1D3 and L2D3 increased grain yield by 8.3%-34.2% and 4.8%-27.5%, respectively (P < 0.05). Compared with L2D3, the regulatory effect of L1D3 was more prominent. The findings indicated that wide-narrow rows spacing allocation could enhance the tolerance of maize plants in higher planting density and increase the dense planting potential of maize. Wide-narrow rows spacing allocation combined with dense planting were beneficial to increase biomass. L1 row spacing allocation significantly increased biomass by 3.0%-6.6% (P < 0.05) compared to L3 treatment. Compared to D1 density, D3 significantly increased biomass by 3.4%-8.0% (P < 0.05). Compared with L3D1 treatment, L1D3 significantly increased biomass by 5.2%-15.0% (P < 0.05). There were three possible reasons for wide-narrow rows spacing allocation increased dense planting potential of maize. Firstly, dry matter accumulation rate of maize was significantly increased from the large bell mouth stage to the filling stage, as evidenced by the 32.9%-42.0% increase of dry matter accumulation rate with L1 row spacing allocation compared to L3 row spacing allocation, the 9.2%-23.9% increase of dry matter accumulation rate with D3 density compared to D1 density, and by the 29.1%-34.3% increase of dry matter accumulation rate with the treatment of L1D3 compared to L3D1. Secondly, there was an increased transformation of photosynthetic product to ear. Compared with the traditional density D1, D3 density increased harvest index by 6.4% in 2017, compared with L3D1, L1D3 increased harvest index by 16.2% in 2017, and there was no significant difference in 2018. Thirdly, a significantly effective ear and kernel number was observed, with a 16.0%-20.2% increase of ear number with D3 density compared to D1 density, 16.9%-25.9% increase of ear number with L1D3 compared to L3D1, 3.0%-4.4%; and 3.9%-7.0% increase of kernel number with L1 row spacing allocation compared to L2 and L3 row spacing allocation, respectively. The wide-narrow rows spacing allocaton of 56 cm:24 cm combined with planting density of 97 500 plants·hm-2 is an ideal planting mode for high yield and high dense planting potential in the Oasis Irrigation District.
Key words:Row spacing allocation/
Dense planting potential/
Dry matter accumulation/
Harvest index/
Yield components/
Maize
HTML全文

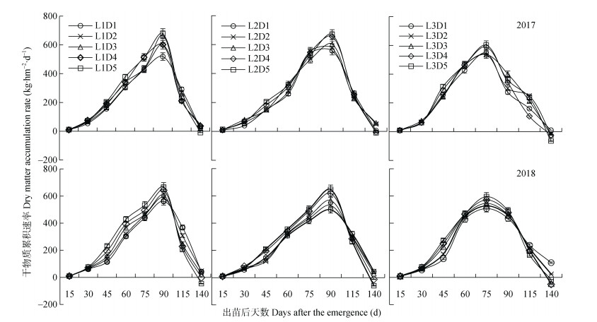
图12017年和2018年不同行距配置及密度下玉米干物质累积速率动态
Figure1.Dynamics of the dry matter accumulation rate of maize under different treatments of row spacing allocation and density in 2017 and 2018


图22017年和2018年不同行距配置下玉米干物质累积速率
Figure2.Dynamics of the dry matter accumulation rate of maize with different row spacing allocations in 2017 and 2018


图32017年和2018年不同密度下玉米干物质累积速率
Figure3.Dynamics of the dry matter accumulation rate of maize with different densities in 2017 and 2018


图42017年和2018年不同行距配置及密度下玉米的收获指数
图中不同小写字母表示处理间在P < 0.05水平差异显著。
Figure4.Harvest indexes of maize under different treatments of row spacing allocation and density in 2017 and 2018
Different lowercase letters represent significant differences among treatments at P < 0.05 level.

表1玉米行距配置和密度互作试验处理及其代码
Table1.Treatment codes of row spacing allocation and density interaction test of maize
行距配置 Row spacing allocation (cm) | 密度?Density (×104 plants·hm-2) | ||||
8.25 (D1) | 9.0 (D2) | 9.75 (D3) | 10.5 (D4) | 11.25 (D5) | |
56:24 (L1) | L1D1 | L1D2 | L1D3 | L1D4 | L1D5 |
48:32 (L2) | L2D1 | L2D2 | L2D3 | L2D4 | L2D5 |
40:40 (L3) | L3D1 | L3D2 | L3D3 | L3D4 | L3D5 |

表22017年和2018年不同行距配置及密度下玉米产量比较
Table2.Maize yields under different treatments of row spacing allocation and density in 2017 and 2018?
处理 Treatment | 2017 | 2018 | |||
籽粒产量 Grain yield | 生物产量 Biomass | 籽粒产量 Grain yield | 生物产量 Biomass | ||
L1D1 | 14 300±129ef | 29 858±100de | 13 179±109h | 31 594±795cdef | |
L1D2 | 15 031±89bc | 30 751±402cd | 14 886±93b | 32 539±435ab | |
L1D3 | 16 198±70a | 32 064±27abc | 15 150±166a | 31 918±51bcde | |
L1D4 | 13 744±186g | 32 212±81abc | 14 226±104d | 32 764±650ab | |
L1D5 | 12 898±274h | 33 425±1039a | 10 484±75i | 33 154±515a | |
L2D1 | 13 143±423h | 30 051±889de | 13 641±92f | 31 074±197efg | |
L2D2 | 14 473±228de | 31 398±1 453bcd | 14 589±73c | 30 793±689fg | |
L2D3 | 15 392±474b | 32 164±1 026abc | 14 665±89c | 31 394±331def | |
L2D4 | 14 036±100fg | 33 751±55a | 13 450±100g | 32 808±180ab | |
L2D5 | 12 158±223i | 33 929±2 107ab | 10 068±39j | 32 053±668bcd | |
L3D1 | 12 072±122i | 27 875±848f | 13 989±88e | 30 335±604g | |
L3D2 | 14 759±265cd | 30 108±822de | 13 833±101ef | 31 031±706efg | |
L3D3 | 13 852±226g | 30 616±822cd | 13 661±148f | 32 846±88ab | |
L3D4 | 12 423±148i | 28 399±1 453ef | 13 055±25h | 31 347±151def | |
L3D5 | 12 193±254i | 31 472±1 000bcd | 10 035±208j | 32 386±357abc | |
L1 | 14 434±78A | 31 662±261A | 13 585±16A | 32 394±133A | |
L2 | 13 840±48B | 32 119±506A | 13 282±43B | 31 624±299B | |
L3 | 13 059±14C | 29 709±408B | 12 915±67C | 31 589±188B | |
D1 | 13 557±67C | 29 261±525C | 13 603±87B | 31 001±402B | |
D2 | 14 754±148B | 30 767±610B | 14 436±58A | 31 455±422B | |
D3 | 15 147±84A | 31 626±329AB | 14 492±75A | 32 053±114A | |
D4 | 13 401±104C | 31 445±474AB | 13 577±46B | 32 306±119A | |
D5 | 12 416±94D | 32 718±1198A | 10 196±79C | 32 531±133A | |
显著性(P值)? Significance (P value) | |||||
行距?Row spacing (L) | ** | ** | ** | ** | |
密度?Density (D) | ** | ** | ** | ** | |
行距×密度?L × D | ** | * | ** | ** | |
同列不同小写字母表示不同处理间差异显著(P < 0.05)。同列不同大写字母表示不同行距配置或不同密度平均值间差异显著(P < 0.05)。**表示在P < 0.01水平影响显著, *表示在P < 0.05水平影响显著。Different lowercase letters in the same column indicate significant differences among different treatments at P < 0.05. Different capital letters in the same column indicate significant differences among averages of different row spacing allocations or densities at P < 0.05. ** indicates significant effect at P < 0.01 level, * indicates significant effect at P < 0.05 level. |

表32017年和2018年不同行距配置及密度下玉米产量构成
Table3.Yield components of maize under different treatments of row spacing allocation and density in 2017 and 2018
处理 Treatment | 2017 | 2018 | |||||
穗数 Ear number (×104 ears·hm-2) | 穗粒数 Kernels per ear | 百粒重100-grain weight (g) | 穗数 Ear number (×104 ears·hm-2) | 穗粒数 Kernels per ear | 百粒重100-grain weight (g) | ||
L1D1 | 8.08±0.05j | 533.7±2.0bc | 32.5 | 7.96±0.07g | 515.5±5.4b | 32.3±0.7e | |
L1D2 | 8.79±0.03g | 549.2±4.5a | 32.4 | 8.43±0.08ef | 542.7±5.6a | 32.4±0.7e | |
L1D3 | 9.44±0.02e | 498.0±3.5d | 34.4 | 9.43±0.02d | 469.1±5.0e | 34.6±0.4ab | |
L1D4 | 9.61±0.04d | 451.6±6.3f | 32.3 | 9.69±0.03c | 431.7±2.3g | 34.1±0.9abc | |
L1D5 | 10.21±0.08a | 410.0±4.7hi | 31.5 | 10.32±0.08a | 331.2±2.8i | 30.5±0.5f | |
L2D1 | 8.03±0.05j | 529.3±8.0c | 31.0 | 8.00±0.03g | 505.6±1.7c | 32.9±0.2de | |
L2D2 | 8.28±0.05i | 540.9±7.9ab | 32.4 | 8.50±0.04e | 518.5±5.3b | 33.9±0.3abcd | |
L2D3 | 9.28±0.05f | 481.2±3.5e | 34.5 | 9.31±0.06d | 451.3±7.9f | 34.9±0.2a | |
L2D4 | 9.86±0.05c | 414.4±2.6hi | 34.7 | 9.60±0.07c | 424.0±5.3gh | 33.4±0.7cd | |
L2D5 | 10.14±0.05ab | 372.1±8.2j | 33.3 | 10.19±0.02ab | 324.7±2.4i | 30.4±0.4f | |
L3D1 | 8.07±0.03j | 520.9±4.3c | 32.3 | 7.49±0.29h | 544.4±4.8a | 34.5±0.4abc | |
L3D2 | 8.47±0.07h | 496.1±11.5d | 35.0 | 8.34±0.04f | 495.1±3.6d | 33.8±0.9abcd | |
L3D3 | 9.31±0.13f | 440.7±8.1g | 32.5 | 9.42±0.03d | 426.9±5.3gh | 33.8±0.6bcd | |
L3D4 | 9.47±0.07e | 417.7±8.1h | 31.3 | 9.69±0.04c | 422.0±5.2h | 32.0±0.8e | |
L3D5 | 10.06±0.03b | 406.8±2.9i | 30.1 | 10.08±0.03b | 315.1±4.4j | 31.9±0.5e | |
L1 | 9.23 | 488.5±1.7A | 32.6 | 9.16 | 458.0±2.3A | 32.8 | |
L2 | 9.12 | 467.6±5.1B | 33.2 | 9.12 | 444.8±1.9B | 33.1 | |
L3 | 9.08 | 456.4±4.8C | 32.2 | 8.99 | 440.7±0.8C | 33.2 | |
D1 | 8.06±0.03E | 528.0±3.4A | 31.9 | 7.81±0.08E | 521.8±3.1A | 33.2±0.12B | |
D2 | 8.52±0.04D | 528.7±6.2A | 33.3 | 8.42±0.05D | 518.8±3.0A | 33.4±0.15B | |
D3 | 9.34±0.05C | 473.3±3.2B | 33.8 | 9.38±0.02C | 449.1±2.4B | 34.4±0.22A | |
D4 | 9.65±0.02B | 427.9±2.1C | 32.8 | 9.66±0.03B | 425.9±3.7C | 33.2±0.29B | |
D5 | 10.14±0.04A | 396.3±5.2D | 31.6 | 10.19±0.03A | 323.6±2.4D | 30.9±0.25C | |
显著性(P值) ?Significance (P value) | |||||||
行距配置?Row spacing allocation (L) | NS | ** | NS | NS | ** | NS | |
密度?Density (D) | ** | ** | NS | ** | ** | ** | |
行距配置×密度?L × D | ** | ** | NS | ** | ** | ** | |
同列不同小写字母表示不同处理间差异显著(P < 0.05)。同列不同大写字母表示不同行距配置或不同密度平均值间差异显著(P < 0.05)。**表示在P < 0.01水平影响显著, *表示在P < 0.05水平影响显著, NS表示不显著。Different lowercase letters in the same column indicate significant differences among different treatments at P < 0.05. Different capital letters in the same column indicate significant differences among averages of different row spacing allocations or densities at P < 0.05. ** indicates significant effect at P < 0.01 level; * indicates significant effect at P < 0.05 level; NS indicates non-significant difference. |

表4不同行距配置及密度下玉米籽粒产量与产量构成因素的相关系数和通径系数
Table4.Correlation coefficients and path coefficients between grain yield and yield components of maize
产量构成因素 Yield components | 与产量的简单相关系数 Correlation coefficient with yield | 直接通径系数 Direct path coefficient | 间接通径系数 Indirect path coefficient | ||
穗粒数?Kernels per ear | 百粒重100-grain weight | 穗数?Ear number | |||
穗数?Ear number | -0.412** | 0.881 | -1.177 | -0.116 | — |
穗粒数?Kernels per ear | 0.766** | 1.376 | — | 0.143 | -0.753 |
百粒重100-grain weight | 0.640** | 0.402 | 0.492 | — | -0.254 |
**表示在P < 0.01水平下显著相关。** indicates significant correlation at P < 0.01. |

参考文献
[1] | SHIFERAW B, PRASANNA B M, HELLIN J, et al. Crops that feed the world 6. Past successes and future challenges to the role played by maize in global food security[J]. Food Security, 2011, 3(3):307-327 http://www.wanfangdata.com.cn/details/detail.do?_type=perio&id=4fbc136d572b23cfebebf8fc5b120b78 |
[2] | 王志敏, 王树安.集约多熟超高产——21世纪我国粮食生产发展的重要途径[J].农业现代化研究, 2000, 21(4):193-196 doi: 10.3969/j.issn.1000-0275.2000.04.001 WANG Z M, WANG S A. Intensive multiple-cropping for super-high yield:Major way to develop food production of China in the 21st Century[J]. Research of Agricultural Modernization, 2000, 21(4):193-196 doi: 10.3969/j.issn.1000-0275.2000.04.001 |
[3] | 李少昆, 赵久然, 董树亭, 等.中国玉米栽培研究进展与展望[J].中国农业科学, 2017, 50(11):1941-1959 doi: 10.3864/j.issn.0578-1752.2017.11.001 LI S K, ZHAO J R, DONG S T, et al. Advances and prospects of maize cultivation in China[J]. Scientia Agricultura Sinica, 2017, 50(11):1941-1959 doi: 10.3864/j.issn.0578-1752.2017.11.001 |
[4] | 阎旭东, 王秀领, 徐玉鹏, 等.旱地春玉米不同覆膜种植模式的增产效应[J].中国生态农业学报, 2018, 26(1):75-82 http://www.ecoagri.ac.cn/zgstny/ch/reader/view_abstract.aspx?file_no=20180109&flag=1 YAN X D, WANG X L, XU Y P, et al. Yield-increase effect of film-mulching and planting pattern on dryland spring maize[J]. Chinese Journal of Eco-Agriculture, 2018, 26(1):75-82 http://www.ecoagri.ac.cn/zgstny/ch/reader/view_abstract.aspx?file_no=20180109&flag=1 |
[5] | 孙凯, 刘振, 胡恒宇, 等.有机培肥与轮耕方式对夏玉米田土壤碳氮和产量的影响[J].作物学报, 2019, 45(3):401-410 http://d.old.wanfangdata.com.cn/Periodical/zuowxb201903008 SUN K, LIU Z, HU H Y, et al. Effect of organic fertilizer and rotational tillage practices on soil carbon and nitrogen and maize yield in wheat-maize cropping system[J]. Acta Agronomica Sinica, 2019, 45(3):401-410 http://d.old.wanfangdata.com.cn/Periodical/zuowxb201903008 |
[6] | 魏欢欢, 王仕稳, 杨文稼, 等.免耕及深松耕对黄土高原地区春玉米和冬小麦产量及水分利用效率影响的整合分析[J].中国农业科学, 2017, 50(3):461-473 http://d.old.wanfangdata.com.cn/Periodical/zgnykx201703005 WEI H H, WANG S W, YANG W J, et al. Meta analysis on impact of no-tillage and subsoiling tillage on spring maize and winter wheat yield and water use efficiency on the Loess Plateau[J]. Scientia Agricultura Sinica, 2017, 50(3):461-473 http://d.old.wanfangdata.com.cn/Periodical/zgnykx201703005 |
[7] | 孙景生, 康绍忠, 张寄阳, 等.霍泉灌区冬小麦夏玉米高产节水灌溉制度[J].农业工程学报, 2000, 16(4):50-53 http://d.old.wanfangdata.com.cn/Periodical/nygcxb200004013 SUN J S, KANG S Z, ZHANG J Y, et al. Schedules of irrigation for the high-yield and water-saving cultivation of winter wheat and summer maize in Huoquan irrigation district[J]. Transactions of the CSAE, 2000, 16(4):50-53 http://d.old.wanfangdata.com.cn/Periodical/nygcxb200004013 |
[8] | 苌建峰, 董朋飞, 张海红, 等.行距配置方式对夏玉米氮素吸收利用及产量的影响[J].中国生态农业学报, 2016, 24(7):853-863 http://www.ecoagri.ac.cn/zgstny/ch/reader/view_abstract.aspx?file_no=2016702&flag=1 CHANG J F, DONG P F, ZHANG H H, et al. Effect of row spacing on nitrogen uptake, nitrogen utilization and yield of summer maize[J]. Chinese Journal of Eco-Agriculture, 2016, 24(7):853-863 http://www.ecoagri.ac.cn/zgstny/ch/reader/view_abstract.aspx?file_no=2016702&flag=1 |
[9] | 勾玲, 黄建军, 张宾, 等.群体密度对玉米茎秆抗倒力学和农艺性状的影响[J].作物学报, 2007, 33(10):1688-1695 doi: 10.3321/j.issn:0496-3490.2007.10.019 GOU L, HUANG J J, ZHANG B, et al. Effects of population density on stalk lodging resistant mechanism and agronomic characteristics of maize[J]. Acta Agronomica Sinica, 2007, 33(10):1688-1695 doi: 10.3321/j.issn:0496-3490.2007.10.019 |
[10] | 段民孝.从农大108和郑单958中得到的玉米育种启示[J].玉米科学, 2005, 13(4):49-52 doi: 10.3969/j.issn.1005-0906.2005.04.014 DUAN M X. Some advice on corn breeding obtained from the elite varieties of Nongda 108 and Zhengdan 958[J]. Journal of Maize Sciences, 2005, 13(4):49-52 doi: 10.3969/j.issn.1005-0906.2005.04.014 |
[11] | 徐宗贵, 孙磊, 王浩, 等.种植密度对旱地不同株型春玉米品种光合特性与产量的影响[J].中国农业科学, 2017, 50(13):2463-2475 doi: 10.3864/j.issn.0578-1752.2017.13.006 XU Z G, SUN L, WANG H, et al. Effects of different planting densities on photosynthetic characteristics and yield of different variety types of spring maize on dryland[J]. Scientia Agricultura Sinica, 2017, 50(13):2463-2475 doi: 10.3864/j.issn.0578-1752.2017.13.006 |
[12] | 石培君, 刘洪光, 何新林, 等.水肥耦合对滴灌矮化密植大枣生理变化及产量影响[J].核农学报, 2018, 32(1):177-187 http://d.old.wanfangdata.com.cn/Periodical/hnxb201801021 SHI P J, LIU H G, HE X L, et al. The influence of water and fertilizer coupling on physiological change and yield of dwarf dense planting jujube under drip irrigation[J]. Journal of Nuclear Agricultural Sciences, 2018, 32(1):177-187 http://d.old.wanfangdata.com.cn/Periodical/hnxb201801021 |
[13] | 李宗新, 陈源泉, 王庆成, 等.密植条件下种植方式对夏玉米群体根冠特性及产量的影响[J].生态学报, 2012, 32(23):7391-7401 http://www.wanfangdata.com.cn/details/detail.do?_type=perio&id=stxb201223015 LI Z X, CHEN Y Q, WANG Q C, et al. Effect of different planting methods on root-shoot characteristics and grain yield of summer maize under high densities[J]. Acta Ecologica Sinica, 2012, 32(23):7391-7401 http://www.wanfangdata.com.cn/details/detail.do?_type=perio&id=stxb201223015 |
[14] | COULTER J A, NAFZIGER E D, JANSSEN M R, et al. Response of Bt and near-isoline corn hybrids to plant density[J]. Agronomy Journal, 2010, 102(1):103-111 http://www.wanfangdata.com.cn/details/detail.do?_type=perio&id=98488b1d187a401fb9e75b9382b4f411 |
[15] | 王楷, 王克如, 王永宏, 等.密度对玉米产量(> 15000 kg·hm-2)及其产量构成因子的影响[J].中国农业科学, 2012, 45(16):3437-3445 doi: 10.3864/j.issn.0578-1752.2012.16.025 WANG K, WANG K R, WANG Y H, et al. Effects of density on maize yield and yield components[J]. Scientia Agricultura Sinica, 2012, 45(16):3437-3445 doi: 10.3864/j.issn.0578-1752.2012.16.025 |
[16] | 杨吉顺, 高辉远, 刘鹏, 等.种植密度和行距配置配置对超高产夏玉米群体光合特性的影响[J].作物学报, 2010, 36(7):1226-1233 http://www.wanfangdata.com.cn/details/detail.do?_type=perio&id=zuowxb201007022 YANG J S, GAO H Y, LIU P, et al. Effects of planting density and row spacing on canopy apparent photosynthesis of high-yield summer corn[J]. Acta Agronomica Sinica, 2010, 36(7):1226-1233 http://www.wanfangdata.com.cn/details/detail.do?_type=perio&id=zuowxb201007022 |
[17] | 李荣发, 刘鹏, 杨清龙, 等.玉米密植群体下部叶片衰老对植株碳氮分配与产量形成的影响[J].作物学报, 2018, 44(7):1032-1042 http://d.old.wanfangdata.com.cn/Periodical/zuowxb201807010 LI R F, LIU P, YANG Q L, et al. Effects of lower leaf senescence on carbon and nitrogen distribution and yield formation in maize (Zea mays L.) with high planting density[J]. Acta Agronomica Sinica, 2018, 44(7):1032-1042 http://d.old.wanfangdata.com.cn/Periodical/zuowxb201807010 |
[18] | 王巧梅, 樊志龙, 赵彦华, 等.绿洲灌区不同密度玉米群体的耗水特性研究[J].作物学报, 2017, 43(9):1347-1356 http://d.old.wanfangdata.com.cn/Periodical/zuowxb201709011 WANG Q M, FAN Z L, ZHAO Y H, et al. Effect of planting density on water consumption characteristics of maize in oasis irrigation area[J]. Acta Agronomica Sinica, 2017, 43(9):1347-1356 http://d.old.wanfangdata.com.cn/Periodical/zuowxb201709011 |
[19] | 王一帆, 秦亚洲, 冯福学, 等.根间作用与密度协同作用对小麦间作玉米产量及产量构成的影响[J].作物学报, 2017, 43(5):754-762 http://www.wanfangdata.com.cn/details/detail.do?_type=perio&id=zuowxb201705014 WANG Y F, QIN Y Z, FENG F X, et al. Synergistic effect of root interaction and density on yield and yield components of wheat/maize intercropping system[J]. Acta Agronomica Sinica, 2017, 43(5):754-762 http://www.wanfangdata.com.cn/details/detail.do?_type=perio&id=zuowxb201705014 |
[20] | 史振声, 孙萌, 李凤海, 等.辽宁西部地区玉米密植潜力研究[J].玉米科学, 2010, 18(4):99-102 http://d.old.wanfangdata.com.cn/Periodical/ymkx201004023 SHI Z S, SUN M, LI F H, et al. Study on potential densities of maize in the west of Liaoning Province[J]. Journal of Maize Sciences, 2010, 18(4):99-102 http://d.old.wanfangdata.com.cn/Periodical/ymkx201004023 |
[21] | 梁熠, 齐华, 王敬亚, 等.宽窄行栽培对玉米生长发育及产量的影响[J].玉米科学, 2009, 17(4):97-100 http://d.old.wanfangdata.com.cn/Periodical/ymkx200904024 LIANG Y, QI H, WANG J Y, et al. Effects of growth and yield of maize under wide and narrow row cultivation[J]. Journal of Maize Sciences, 2009, 17(4):97-100 http://d.old.wanfangdata.com.cn/Periodical/ymkx200904024 |
[22] | 张胜爱, 郝秀钗, 王志辉, 等.夏玉米行距配置与株距交互作用对产量及产量构成的影响[J].中国农学通报, 2013, 29(21):51-56 doi: 10.11924/j.issn.1000-6850.2013-0232 ZHANG S A, HAO X C, WANG Z H, et al. Interactive effects of different combination of row spacing and plant distance on the yield and yield components of summer maize[J]. Chinese Agricultural Science Bulletin, 2013, 29(21):51-56 doi: 10.11924/j.issn.1000-6850.2013-0232 |
[23] | BOOMSMA C R, SANTINI J B, TOLLENAAR M, et al. Maize morphophysiological responses to intense crowding and low nitrogen availability:An analysis and review[J]. Agronomy Journal, 2009, 101(6):1426-1452 |
[24] | 王志刚, 高聚林, 张宝林, 等.内蒙古平原灌区高产春玉米(15 t·hm-2以上)产量性能及增产途径[J].作物学报, 2012, 38(7):1318-1327 http://d.old.wanfangdata.com.cn/Periodical/zuowxb201207020 WANG Z G, GAO J L, ZHANG B L, et al. Productivity performance of high-yield spring maize and approaches to increase grain yield (above 15 t ha-1) in irrigated plain of Inner Mongolia[J]. Acta Agronomica Sinica, 2012, 38(7):1318-1327 http://d.old.wanfangdata.com.cn/Periodical/zuowxb201207020 |
[25] | TOKATLIDIS I S, HAS V, MELIDIS V, et al. Maize hybrids less dependent on high plant densities improve resource-use efficiency in rainfed and irrigated conditions[J]. Field Crops Research, 2011, 120(3):345-351 doi: 10.1016/j.fcr.2010.11.006 |
[26] | 杨利华, 张丽华, 张全国, 等.种植样式对高密度夏玉米产量和株高整齐度的影响[J].玉米科学, 2016, 14(6):122-124 http://d.old.wanfangdata.com.cn/Periodical/ymkx200606032 YANG L H, ZHANG L H, ZHANG Q G, et al. Effect of row spacing pattern on yield and plant height uniformity in highly-densed summer maize[J]. Journal of Maize Sciences, 2016, 14(6):122-124 http://d.old.wanfangdata.com.cn/Periodical/ymkx200606032 |
[27] | 姜兴芳, 陶洪斌, 郑志芳, 等.株行距配置对玉米根系性状及产量的影响[J].玉米科学, 2013, 21(2):116-121 doi: 10.3969/j.issn.1005-0906.2013.02.030 JIANG X F, TAO H B, ZHENG Z F, et al. Effect of spacing allocation on the root system characters and yield of maize[J]. Journal of Maize Sciences, 2013, 21(2):116-121 doi: 10.3969/j.issn.1005-0906.2013.02.030 |
[28] | 苌建峰, 张海红, 李鸿萍, 等.不同行距置方式对夏玉米冠层结构和群体抗性的影响[J].作物学报, 2016, 42(1):104-112 doi: 10.7505/j.issn.1007-9084.2016.01.016 CHANG J F, ZHANG H H, LI H P, et al. Effects of different row spaces on canopy structure and resistance of summer maize[J]. Acta Agronomica Sinica, 2016, 42(1):104-112 doi: 10.7505/j.issn.1007-9084.2016.01.016 |
[29] | 张倩, 张洪生, 宋希云, 等.种植方式和密度对夏玉米光合特征及产量的影响[J].生态学报, 2015, 35(4):1235-1241 http://d.old.wanfangdata.com.cn/Periodical/jxnye201816041 ZHANG Q, ZHANG H S, SONG X Y, et al. The effects of planting patterns and densities on photosynthetic characteristics and yield in summer maize[J]. Acta Ecologica Sinica, 2015, 35(4):1235-1241 http://d.old.wanfangdata.com.cn/Periodical/jxnye201816041 |
[30] | 吴含玉, 张雅君, 张旺锋, 等.田间密植诱导抽穗期玉米叶片衰老时的光合作用机制[J].作物学报, 2019, 45(2):248-255 http://d.old.wanfangdata.com.cn/Periodical/zuowxb201902009 WU H Y, ZHANG Y J, ZHANG W F, et al. Photosynthetic characteristics of senescent leaf induced by high planting density of maize at heading stage in the field[J]. Acta Agronomica Sinica, 2019, 45(2):248-255 http://d.old.wanfangdata.com.cn/Periodical/zuowxb201902009 |
[31] | 冯亚阳, 史海滨, 李瑞平, 等.膜下滴灌水氮耦合效应对玉米干物质与产量的影响[J].排灌机械工程学报, 2018, 36(8):750-755 http://d.old.wanfangdata.com.cn/Periodical/pgjx201808019 FENG Y Y, SHI H B, LI R P, et al. Water-nitrogen coupling effect by mulched drip irrigation on dry matter and yield of maize[J]. Journal of Drainage and Irrigation Machinery Engineering, 2018, 36(8):750-755 http://d.old.wanfangdata.com.cn/Periodical/pgjx201808019 |