王津军2,
封幸兵2,
张留臣2,
邓小鹏3,
马二登3,
童文杰3,,
1.云南农业大学烟草学院 昆明 650201
2.中国烟草总公司云南省公司 昆明 650011
3.云南省烟草农业科学研究院 昆明 650021
基金项目: 中国烟草总公司云南省公司科技计划重点项目2018530000241016
中国烟草总公司云南省公司科技计划重点项目2019530000241011
详细信息
作者简介:刘棋, 主要研究方向为作物栽培与耕作。E-mail:512547782@qq.com
通讯作者:童文杰, 主要研究方向为烟草栽培与耕作。E-mail:tongwenjie0716@163.com
中图分类号:S341.1计量
文章访问数:448
HTML全文浏览量:1
PDF下载量:364
被引次数:0
出版历程
收稿日期:2019-04-24
录用日期:2019-08-04
刊出日期:2019-11-01
Effects of tillage methods on soil physical properties and spatial distribution of flue-cured tobacco (Nicotiana tabacum) roots in mountainous tobacco fields
LIU Qi1, 3,,WANG Jinjun2,
FENG Xingbing2,
ZHANG Liuchen2,
DENG Xiaopeng3,
MA Erdeng3,
TONG Wenjie3,,
1. College of Tobacco Science, Yunnan Agricultural University, Kunming 650201, China
2. China Tobacco Company Yunnan Branch, Kunming 650011, China
3. Yunnan Academy of Tobacco Agricultural Sciences, Kunming 650021, China
Funds: Key Project of Science and Technology Plan of Yunnan Company of China National Tobacco Corporation2018530000241016
Key Project of Science and Technology Plan of Yunnan Company of China National Tobacco Corporation2019530000241011
More Information
Corresponding author:Corresponding author. E-mail:tongwenjie0716@163.com
摘要
HTML全文
图
参考文献
相关文章
施引文献
资源附件
访问统计
摘要
摘要:为探讨不同耕作方式对山地烟田烤烟产量产值的影响,揭示山地烟田深耕深松增产增效机理,以烤烟‘K326’为研究材料,采用大田试验,设置旋耕20 cm(RT20,对照)、深耕30 cm(DT30)、深松30 cm(ST30)和深松40 cm(ST40)4个处理,研究不同耕作方式对烤烟生长发育、烟田土壤物理性状和烤烟根系空间分布特征的影响。结果表明:与对照RT20相比,深耕、深松措施显著提高烤烟产量、产值,其中DT30、ST30、ST40产量分别提高12.2%、12.3%和16.0%,产值分别提高10.5%、13.8%和21.8%。深耕、深松措施明显改善土壤亚表层(20~40 cm)物理结构,其中DT30、ST30、ST40土壤容重分别比对照低6.1%、5.3%和8.0%,毛管孔隙度分别比对照高11.3%、13.1%和21.6%;团棵期DT30、ST30和ST40土壤含水量分别比对照高4.9%、2.3%和5.7%,现蕾期分别比对照高4.5%、3.8%和5.6%。深耕、深松措施增加烤烟根系鲜重绝对量,促进烤烟根系纵向下扎生长,缓解上层根系的拥挤度。DT30、ST30和ST40处理根深指数分别比对照高5.32%、8.26%和16.20%。土壤亚表层(20~40 cm)不同处理间烤烟根系鲜重差异最显著,其中深耕、深松措施20~30 cm烤烟根系鲜重比对照高162.2%~469.0%,30~40 cm比对照高56.5%~292.9%。研究发现:深耕、深松措施改善山地烟田土壤容重、孔隙度、土壤水分等土壤物理性状,优化植烟土壤环境,促进烤烟根系生长发育,优化根系空间分布构型,对增加烤烟干物质、提高烟叶产量产值有较好的现实生产意义。
关键词:山地/
烤烟/
深耕/
深松/
土壤物理性状/
根系空间分布
Abstract:To explore the effects of different tillage methods on the yield and output value of flue-cured tobacco (Nicotiana tabacum) in mountainous tobacco fields and to reveal how deep tillage and subsoiling in mountainous tobacco fields increases yield and efficiency, a field experiment was conducted, and soil physical characteristics, soil water content, spatial distribution of the tobacco root system, and the growth of tobacco plants were investigated. A flue-cured tobacco variety, 'K326', was planted and subjected to tillage methods of 20 cm of rotary tillage (control, RT20), 30 cm of deep tillage (DT30), and 30 cm (ST30) and 40 cm (ST40) of subsoiling tillage. The results showed that DT30, ST30, and ST40 significantly increased the yield and output of the flue-cured tobacco when compared with RT20. The yield was increased by 12.2%, 12.3% and 16.0%, meanwhile the output was increased by 10.5%, 13.8%, and 21.8% under DT30, ST30, and ST40 treatments, respectively. Moreover, deep tillage and subsoiling tillage significantly improved the physical structure of soil subsurface layer in the range of 20-40 cm. The soil bulk density was decreased by DT30, ST30, and ST40 treatments; the soil bulk density values under DT30, ST30, and ST40 treatments were 6.1%, 5.3%, and 8.0% lower than that of RT20 treatment, respectively. However, the treatments increased the capillary porosity of the soil; capillary porosity values under those three treatments were 11.3%, 13.1%, and 21.6% higher than that under RT20 treatment, respectively. Additionally, the soil water content of the 20-40-cm soil layer was also increased by 4.9%, 2.3%, and 5.7% under DT30, ST30, and ST40 treatments compared with RT20 treatment, respectively, when measured at the rosette stage. At the budding stage, it was still increased by 4.5%, 3.8%, and 5.6% under DT30, ST30, and ST40 treatments over RT20 treatment, respectively. Deep tillage and subsoiling tillage treatments increased the absolute fresh weight and promoted vertical growth of tobacco roots as well as alleviated the crowding of the upper roots. The DT30, ST30, and ST40 treatments increased the root depth index by 5.32%, 8.26%, and 16.20% compared with RT20 treatment, respectively. The difference in the fresh weight of the tobacco roots was the most significant among different treatments of soil subsurface (depth of 20-40 cm). Among them, the fresh weight of tobacco roots in the 20-30-cm soil layer with deep ploughing and deep loosening measures was 162.2%-469.0% higher than that with the control, and in the 30-40-cm soil layer it was 56.5%-292.9% higher. It also turned out that subsoiling and deep tillage improved soil physical properties such as soil bulk density, porosity, and moisture in mountainous tobacco fields, which enhanced the soil environment for tobacco planting and benefited tobacco root growth. These treatments also allowed for optimization of the horizontal and vertical distribution of the tobacco root system. Furthermore, these tillage treatments significantly increased the dry matter of flue-cured tobacco, which resulted in increased yield and output value of tobacco.
Key words:Mountain/
Flue-cured tobacco/
Deep tillage/
Subsoiling/
Soil physical characteristic/
Spatial distribution of root system
HTML全文

图1田间烤烟根系土壤取样坐标
Figure1.Sampling coordinate of cotton root in the filed


图2不同耕作方式对不同生育期烤烟干物质的影响
RT20:旋耕20 cm, 对照; DT30:深耕30 cm; ST30:深松30 cm; ST40:深松40 cm。同一生育期不同字母表示处理间差异显著。
Figure2.Effects of different tillage methods on dry matter of flue-cured tobacco at different growth stages
RT20: 20 cm rotary tillage; DT30: 30 cm deep tillage; ST30: 30 cm subsoiling tillage; ST40: 40 cm subsoiling tillage. Different lowercase letters in the same growth stage mean significant differences at 0.05 level.


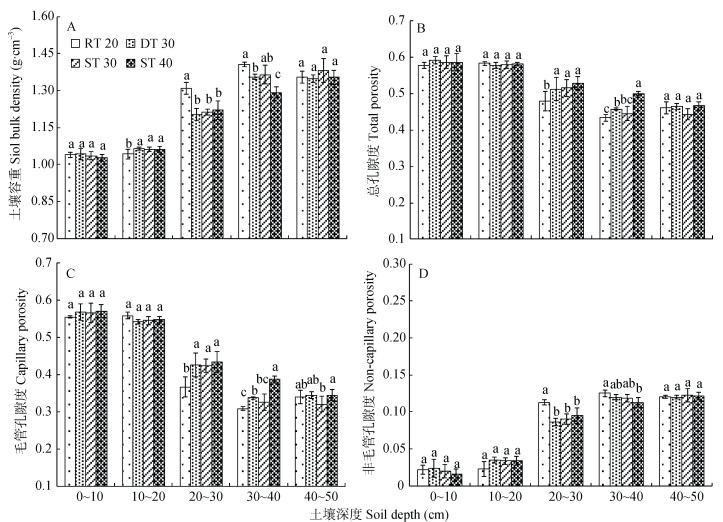
图3不同耕作方式对植烟土壤容重(A)、总孔隙度(B)、毛管孔隙度(C)和非毛管孔隙度(D)的影响
RT20:旋耕20 cm, 对照; DT30:深耕30 cm; ST30:深松30 cm; ST40:深松40 cm。同一土层不同字母表示各处理在0.05水平上差异显著。
Figure3.Effects of different tillage methods on soil bulk density (A), total porosity (B), capillary porosity (C) and non-capillary porosity (D) in tobacco field
RT20: 20 cm rotary tillage; DT30: 30 cm deep tillage; ST30: 30 cm subsoiling tillage; ST40: 40 cm subsoiling tillage. Different lowercase letters in the same soil layer mean significant differences at 0.05 level among different treatments.


图4不同耕作方式对烤烟团棵期(A)和现蕾期(B)土壤水分的影响
RT20:旋耕20 cm, 对照; DT30:深耕30 cm; ST30:深松30 cm; ST40:深松40 cm。
Figure4.Effects of different tillage methods on soil moisture contents in tobacco field at rosette stage (A) and budding stage (B)
RT20: 20 cm rotary tillage; DT30: 30 cm deep tillage; ST30: 30 cm subsoiling tillage; ST40: 40 cm subsoiling tillage.


图5不同耕作方式下不同深度烤烟根系鲜重的空间分布
(A: 0~10 cm; B: 10~20 cm; C: 20~30 cm; D: 30~40 cm; E: 40~50 cm)RT20:旋耕20 cm, 对照; DT30:深耕30 cm; ST30:深松30 cm; ST40:深松40 cm。
Figure5.Effects of different tillage methods on root spatial distribution of flue-cured tobacco in the soil depths of 0-10 cm (A), 10-20 cm (B), 20-30 cm (C), 30-40 cm (D), and 40-50 cm (E)
RT20: 20 cm rotary tillage; DT30: 30 cm deep tillage; ST30: 30 cm subsoiling tillage; ST40: 40 cm subsoiling tillage.


图6不同耕作方式下烤烟根系鲜重在土壤垂直剖面的分布
RT20:旋耕20 cm, 对照; DT30:深耕30 cm; ST30:深松30 cm; ST40:深松40 cm。
Figure6.Effect of different tillage methods on root vertical distribution of flue-cured tobacco in the soil
RT20: 20 cm rotary tillage; DT30: 30 cm deep tillage; ST30: 30 cm subsoiling tillage; ST40: 40 cm subsoiling tillage.

表1不同耕作处理对烤烟产量及产值的影响
Table1.Effects of different tillage methods on tobacco leaf yield and output
处理Treatment | 产量Yield (kg·hm-2) | 产值Output (104 ·hm-2) | 上等烟比例Ratio of high quality tobacco (%) | 均价Average price ( ·kg-1) |
RT20 | 2 439.89±23.69b | 7.03±0.05c | 49.00±0.03b | 28.83±0.45b |
DT30 | 2 736.69±36.06a | 7.77±0.31b | 48.84±0.15b | 28.35±0.05b |
ST30 | 2 739.04±51.63a | 8.01±0.14ab | 49.65±0.13b | 29.23±0.12ab |
ST40 | 2 831.06±19.45a | 8.56±0.22a | 50.48±0.47a | 30.24±0.59a |
????RT20:旋耕20 cm, 对照; DT30:深耕30 cm; ST30:深松30 cm; ST40:深松40 cm。同列不同字母表示处理间差异显著。RT20: 20 cm rotary tillage; DT30: 30 cm deep tillage; ST30: 30 cm subsoiling tillage; ST40: 40 cm subsoiling tillage. Different lowercase letters mean significant differences at 0.05 level. |

参考文献
[1] | 汤文光, 肖小平, 张海林, 等.轮耕对双季稻田耕层土壤养分库容及Cd含量的影响[J].作物学报, 2018, 44(1):105-114 http://d.old.wanfangdata.com.cn/Periodical/zuowxb201801011 TANG W G, XIAO X P, ZHANG H L, et al. Effects of rotational tillage on nutrient storage capacity and Cd content in tilth soil of double-cropping rice region[J]. Acta Agronomica Sinica, 2018, 44(1):105-114 http://d.old.wanfangdata.com.cn/Periodical/zuowxb201801011 |
[2] | 王娜, 兰建强, 王定伟, 等.不同耕作深度对烤烟生长及产、质量的影响[J].西南农业学报, 2014, 27(4):1737-1740 doi: 10.3969/j.issn.1001-4829.2014.04.078 WANG N, LAN J Q, WANG D W, et al. Effect of different plowing depths on growth-development, yield and quality of flue-cured tobacco[J]. Southwest China Journal of Agricultural Sciences, 2014, 27(4):1737-1740 doi: 10.3969/j.issn.1001-4829.2014.04.078 |
[3] | 徐天养, 赵正雄, 李忠环, 等.耕作深度对烤烟生长、养分吸收及产量、质量的影响[J].作物学报, 2009, 35(7):1364-1368 http://d.old.wanfangdata.com.cn/Periodical/zuowxb200907026 XU T Y, ZHAO Z X, LI Z H, et al. Effect of tilling depth on growth, nutrient uptake, yield and quality of flue-cured tobacco plant[J]. Acta Agronomica Sinica, 2009, 35(7):1364-1368 http://d.old.wanfangdata.com.cn/Periodical/zuowxb200907026 |
[4] | 许迪, SCHMID R, MERMOUD A.夏玉米耕作方式对耕层土壤特性时间变异性的影响[J].水土保持学报, 2000, 14(1):64-70 doi: 10.3321/j.issn:1009-2242.2000.01.013 XU D, SCHMID R, MERMOUD A. Effects of tillage practices on temporal variations of soil surface properties[J]. Journal of Soil and Water Conservation, 2000, 14(1):64-70 doi: 10.3321/j.issn:1009-2242.2000.01.013 |
[5] | VERHULST N, GOVAERTS B, VERACHTERT E, et al. Conservation agriculture, improving soil quality for sustainable production systems?[M]//LAL R, STEWART B A. Advances in Soil Science: Food Security and Soil Quality. Boca Raton, FL: CRC Press, 2010 |
[6] | VERHULST N, NELISSEN V, JESPERS N, et al. Soil water content, maize yield and its stability as affected by tillage and crop residue management in rainfed semi-arid highlands[J]. Plant and Soil, 2011, 344(1/2):73-85 http://www.wanfangdata.com.cn/details/detail.do?_type=perio&id=58832c24b74877e06cd6207dd8dec426 |
[7] | 张瑞富, 杨恒山, 高聚林, 等.深松对春玉米根系形态特征和生理特性的影响[J].农业工程学报, 2015, 31(5):78-84 doi: 10.3969/j.issn.1002-6819.2015.05.012 ZHANG R F, YANG H S, GAO J L, et al. Effect of subsoiling on root morphological and physiological characteristics of spring maize[J]. Transactions of the Chinese Society of Agricultural Engineering, 2015, 31(5):78-84 doi: 10.3969/j.issn.1002-6819.2015.05.012 |
[8] | 刘浩, 孙景生, 张寄阳, 等.喷灌条件下耕作方式和亏缺灌溉对麦后移栽棉产量和水分利用的影响[J].应用生态学报, 2012, 23(2):389-394 http://d.old.wanfangdata.com.cn/Periodical/yystxb201202014 LIU H, SUN J S, ZHANG J Y, et al. Effects of tillage mode and deficit irrigation on the yield and water use of transplanted cotton following wheat harvest under sprinkler irrigation[J]. Chinese Journal of Applied Ecology, 2012, 23(2):389-394 http://d.old.wanfangdata.com.cn/Periodical/yystxb201202014 |
[9] | 张建军, 王勇, 樊廷录, 等.耕作方式与施肥对陇东旱塬冬小麦-春玉米轮作农田土壤理化性质及产量的影响[J].应用生态学报, 2013, 24(4):1001-1008 http://d.old.wanfangdata.com.cn/Periodical/yystxb201304017 ZHANG J J, WANG Y, FAN T L, et al. Effects of different tillage and fertilization modes on the soil physical and chemical properties and crop yield under winter wheat/spring corn rotation on dryland of east Gansu, Northwest China[J]. Chinese Journal of Applied Ecology, 2013, 24(4):1001-1008 http://d.old.wanfangdata.com.cn/Periodical/yystxb201304017 |
[10] | 郑成岩, 崔世明, 王东, 等.土壤耕作方式对小麦干物质生产和水分利用效率的影响[J].作物学报, 2011, 37(8):1432-1440 http://d.old.wanfangdata.com.cn/Periodical/zuowxb201108014 ZHENG C Y, CUI S M, WANG D, et al. Effects of soil tillage practice on dry matter production and water use efficiency in wheat[J]. Acta Agronomica Sinica, 2011, 37(8):1432-1440 http://d.old.wanfangdata.com.cn/Periodical/zuowxb201108014 |
[11] | 鲍士旦.土壤农化分析[M].第3版.北京:中国农业出版社, 2000 BAO S D. Soil Agro-Chemistrical Analysis[M]. 3rd ed. Beijing:China Agriculture Press, 2000 |
[12] | 赵明.作物产量性能与高产技术[M].北京:中国农业出版社, 2013:304-308 ZHAO M. The Crop Yield Performance and High Yield Technology[M]. Beijing:China Agriculture Press, 2013:304-308 |
[13] | B?HM W. Methods of Studying Root Systems[M]. Berlin, Heidelberg:Springer-Verlag, 1979 |
[14] | 孙利军, 张仁陟, 黄高宝.保护性耕作对黄土高原旱地地表土壤理化性状的影响[J].干旱地区农业研究, 2007, 25(6):207-211 http://d.old.wanfangdata.com.cn/Periodical/ghdqnyyj200706041 SUN L J, ZHANG R Z, HUANG G B. Effects of the conservation tillage on the physicochemical characteristics of soil surface in the semi-arid areas of the Loess plateau[J]. Agricultural Research in the Arid Areas, 2007, 25(6):207-211 http://d.old.wanfangdata.com.cn/Periodical/ghdqnyyj200706041 |
[15] | DAO T H. Tillage and winter wheat residue management effects on water infiltration and storage[J]. Soil Science Society of America Journal, 1993, 57(6):1586-1595 doi: 10.2136/sssaj1993.03615995005700060032x |
[16] | 傅积平.机械耕作条件下的土壤改良[M].北京:中国农业出版社, 1978 FU J P. Soil Improvement under Mechanical Tillage[M]. Beijing:China Agriculture Press, 1978 |
[17] | 黄健, 王爱文, 张艳茹, 等.玉米宽窄行轮换种植、条带深松、留高茬新耕作制对土壤性状的影响[J].土壤通报, 2002, 33(3):168-171 doi: 10.3321/j.issn:0564-3945.2002.03.003 HUANG J, WANG A W, ZHANG Y R, et al. Effects of new cropping system on soil properties of wide and narrow spacing maize rotation planting, striply deep loosening and leaving high stubble on the ground[J]. Chinese Journal of Soil Science, 2002, 33(3):168-171 doi: 10.3321/j.issn:0564-3945.2002.03.003 |
[18] | ALAMOUTI M Y, NAVABZADEH M. Investigation of plowing depth effect on some soil physical properties[J]. Pakistan Journal of Biological Sciences, 2007, 10(24):4510-4514 doi: 10.3923/pjbs.2007.4510.4514 |
[19] | 罗俊, 林兆里, 阙友雄, 等.耕作深度对蔗地土壤物理性状及甘蔗产量的影响[J].应用生态学报, 2019, 30(2):405-412 http://d.old.wanfangdata.com.cn/Periodical/yystxb201902006 LUO J, LIN Z L, QUE Y X, et al. Effect of subsoiling depths on soil physical characters and sugarcane yield[J]. Chinese Journal of Applied Ecology, 2019, 30(2):405-412 http://d.old.wanfangdata.com.cn/Periodical/yystxb201902006 |
[20] | 王浩, 王淑兰, 徐宗贵, 等.耕作与施肥对旱地玉米田土壤耗水量和水分利用效率的影响[J].中国生态农业学报, 2017, 25(6):856-864 http://d.old.wanfangdata.com.cn/Periodical/stnyyj201706009 WANG H, WANG S L, XU Z G, et al. Effect of tillage and fertilization on water use efficiency of maize in dryland conditions[J]. Chinese Journal of Eco-Agriculture, 2017, 25(6):856-864 http://d.old.wanfangdata.com.cn/Periodical/stnyyj201706009 |
[21] | 曹秀, 夏仁学, 杨环宇, 等.沙培条件下磷、钾、钙亏缺对枳(Poncirus trifoliata)幼苗根系形态及营养吸收的影响[J].植物营养与肥料学报, 2014, 20(4):981-988 http://d.old.wanfangdata.com.cn/Periodical/zwyyyflxb201404021 CAO X, XIA R X, YANG H Y, et, al. Effects of P, K and Ca deficiency on the root morphology and nutrient absorption of Poncirus trifoliata seedlings[J]. Journal of Plant Nutrition and Fertilizers, 2014, 20(4):981-988 http://d.old.wanfangdata.com.cn/Periodical/zwyyyflxb201404021 |
[22] | 王空军, 郑洪建, 刘开昌, 等.我国玉米品种更替过程中根系时空分布特性的演变[J].植物生态学报, 2001, 25(4):472-475 doi: 10.3321/j.issn:1005-264X.2001.04.015 WANG K J, ZHENG H J, LIU K C, et al. Evolution of maize root distribution in space-time during maize varieties replacing in China[J]. Acta Phytoecologica Sinica, 2001, 25(4):472-475 doi: 10.3321/j.issn:1005-264X.2001.04.015 |
[23] | 童文杰, 邓小鹏, 徐照丽.等.不同耕作深度对土壤物理性状及烤烟根系空间分布特征的影响[J].中国生态农业学报, 2016, 24(11):1464-1472 http://d.old.wanfangdata.com.cn/Periodical/stnyyj201611004 TONG W J, DENG X P, XU Z L, et al. Effect of plowing depth on soil physical characteristics and spatial distribution of root system of flue-cured tobacco[J]. Chinese Journal of Eco-Agriculture, 2016, 24(11):1464-1472 http://d.old.wanfangdata.com.cn/Periodical/stnyyj201611004 |
[24] | 孔晓民, 韩成卫, 曾苏明, 等.不同耕作方式对土壤物理性状及玉米产量的影响[J].玉米科学, 2014, 22(1):108-113 doi: 10.3969/j.issn.1005-0906.2014.01.019 KONG X M, HAN C W, ZENG S M, et al. Effects of different tillage managements on soil physical properties and maize yield[J]. Journal of Maize Sciences, 2014, 22(1):108-113 doi: 10.3969/j.issn.1005-0906.2014.01.019 |
[25] | 王新兵, 侯海鹏, 周宝元, 等.条带深松对不同密度玉米群体根系空间分布的调节效应[J].作物学报, 2014, 40(12):2136-2148 http://d.old.wanfangdata.com.cn/Periodical/zuowxb201412013 WANG X B, HOU H P, ZHOU B Y, et al. Effect of strip subsoiling on population root spatial distribution of maize under different planting densities[J]. Acta Agronomica Sinica, 2014, 40(12):2136-2148 http://d.old.wanfangdata.com.cn/Periodical/zuowxb201412013 |
[26] | 朱献玳, 陈学留, 刘益同, 等.玉米根系的生长及其在土壤中的分布[J].莱阳农学院学报, 1991, 8(1):15-19 ZHU X D, CHEN X L, LIU Y T, et al. Root growth and distribution in soil of maize[J]. Journal of Laiyang Agricultural College, 1991, 8(1):15-19 |
[27] | 杨永辉, 武继承, 张洁梅, 等.耕作方式对土壤水分入渗、有机碳含量及土壤结构的影响[J].中国生态农业学报, 2017, 25(2):258-266 http://d.old.wanfangdata.com.cn/Periodical/stnyyj201702013 YANG Y H, WU J C, ZHANG J M, et al. Effect of tillage method on soil water infiltration, organic carbon content and structure[J]. Chinese Journal of Eco-Agriculture, 2017, 25(2):258-266 http://d.old.wanfangdata.com.cn/Periodical/stnyyj201702013 |
[28] | 芦伟龙, 董建新, 宋文静, 等.土壤深耕与秸秆还田对土壤物理性状及烟叶产质量的影响[J].中国烟草科学, 2019, 40(1):25-32 http://d.old.wanfangdata.com.cn/Periodical/zgyckx201901004 LU W L, DONG J X, SONG W J, et al. Effects of deep soil tillage and straw returning on soil physical properties and yield and quality of tobacco leaves[J]. Chinese Tobacco Science, 2019, 40(1):25-32 http://d.old.wanfangdata.com.cn/Periodical/zgyckx201901004 |
[29] | 孟庆秋, 谢佳贵, 胡会军, 等.土壤深松对玉米产量及其构成因素的影响[J].吉林农业科学, 2000, 25(2):25-28 doi: 10.3969/j.issn.1003-8701.2000.02.006 MENG Q Q, XIE J G, HU H J, et al. Effect of deep tillage of soil to maize yield and its component factors[J]. Journal of Jilin Agriculture Sciences, 2000, 25(2):25-28 doi: 10.3969/j.issn.1003-8701.2000.02.006 |
[30] | 袁静超, 刘剑钊, 闫孝贡, 等.春玉米连作体系高产栽培模式优化研究[J].植物营养与肥料学报, 2018, 24(1):53-62 http://d.old.wanfangdata.com.cn/Periodical/zwyyyflxb201801005 YUAN J C, LIU J Z, YAN X G, et al. Optimization of agronomic management mode for high-yield continuous spring maize cropping system[J]. Journal of Plant Nutrition and Fertilizers, 2018, 24(1):53-62 http://d.old.wanfangdata.com.cn/Periodical/zwyyyflxb201801005 |