刘天奇1,
曹凑贵1, 2,
李成芳1, 2,,
1.农业部长江中游作物生理生态与耕作重点实验室/华中农业大学植物科学技术学院 武汉 430070
2.长江大学/长江大学主要粮食作物产业化湖北省协同创新中心 荆州 434023
基金项目: 国家重点研发计划项目2017YFD0301403
国家自然科学基金项目31671637
湖北省自然科学基金项目2018CFB608
详细信息
作者简介:帅艳菊, 主要研究方向为农业生态学。E-mail:2396567435@qq.com
通讯作者:李成芳, 主要研究方向为农业生态与耕作制度。E-mail:lichengfang@126.com
中图分类号:S145.6计量
文章访问数:711
HTML全文浏览量:1
PDF下载量:602
被引次数:0
出版历程
收稿日期:2018-02-28
录用日期:2018-06-28
刊出日期:2018-12-01
Effect of combined application of organic and inorganic fertilizers on soil nitrous oxide emission in maize-cowpea systems in central China
SHUAI Yanju1,,LIU Tianqi1,
CAO Cougui1, 2,
LI Chengfang1, 2,,
1. Key Laboratory of Crop Ecophysiology and Farming Systems in the Middle Reaches of Yangtze River of Ministry of Education/College of Plant Science & Technology, Huazhong Agricultural University, Wuhan 430070, China
2. Yangtze University/Hubei Collaborative Innovation Center for Grain Industry, Yangtze University, Jingzhou 434023, China
Funds: the National Key Research and Development Project of China2017YFD0301403
the National Natural Science Foundation of China31671637
the Natural Science Foundation of Hubei Province2018CFB608
More Information
Corresponding author:LI Chengfang, E-mail: lichengfang@126.com
摘要
HTML全文
图
参考文献
相关文章
施引文献
资源附件
访问统计
摘要
摘要:在等施氮量条件下,比较有机肥与无机肥施用后旱地玉米-豇豆复种系统土壤硝化与反硝化作用、N2O排放与作物产量的变化,有助于正确认识肥料施用对N2O排放的影响,为制定大田合理的丰产减排措施提供理论依据。本研究通过田间试验,利用静态箱技术和BaPS气压过程分离技术研究了不同肥料类型处理(无机肥、有机肥、有机无机肥配施)下玉米-豇豆种植系统土壤N2O排放、硝化与反硝化作用的变化特征。结果表明:1)相对于单施无机肥或有机肥,有机无机肥配施可显著降低土壤硝化作用速率;在玉米生长季,有机无机肥配施处理平均土壤硝化作用速率分别比化肥和有机肥处理显著降低了28.74%和13.96%,豇豆生长季显著降低了24.66%和13.28%。土壤反硝化作用速率在各施肥处理间差异不显著。2)有机无机肥配施显著降低土壤N2O排放;在玉米生长季,有机无机肥配施处理分别比无机肥处理和有机肥处理显著降低33.44%和32.29%,在豇豆生长季分别显著降低27.00%和15.14%。3)相关分析表明,土壤N2O排放与硝化作用速率呈极显著相关,而与反硝化作用速率呈不显著相关。4)有机无机配施处理玉米和豇豆产量最高。因此,有机无机肥配施能有效降低玉米-豇豆系统土壤N2O排放和提高作物产量,是一项丰产低N2O排放的施肥技术,但长期有机无机肥配施对土壤N2O排放和作物产量的影响还需要进一步研究。
关键词:玉米-豇豆复种系统/
有机无机肥配施/
硝化作用/
反硝化作用/
N2O排放/
产量
Abstract:Nitrous oxide (N2O) is an important greenhouse gas that causes stratospheric ozone destruction. Application of chemical nitrogen fertilizers in upland cultivation systems is an important source of atmospheric N2O. It is important to determine the effects of nitrogen fertilization on N2O emissions in upland field in Central China where the relative researches is less conducted. In this study, soil nitrification and denitrification rates, N2O emissions and crop yields were investigated under application of organic and inorganic fertilizers with the same amounts of N in the field. Therefore in 2017, a field experiment was conducted to investigate the effects of different nitrogen fertilizer sources[inorganic nitrogen fertilizer (I), organic nitrogen fertilizer (O) and inorganic plus organic nitrogen fertilizers (I+O)] on nitrification rate, denitrification rate, N2O emission and crop yield under a maize-cowpea cropping system in Central China. Emission of N2O was measured by the static chamber approach and the rates of nitrification and denitrification measured by Barometric Process Separation (BaPS). The results showed that the rate of nitrification ranged from 130.90 μg·kg-1·h-1 to 340.37 μg·kg-1·h-1 in maize season, and from 145.11 μg·kg-1·h-1 to 348.75 μg·kg-1·h-1 in cowpea season. Application of organic nitrogen significantly affected soil nitrification rate. Compared with I and O treatments, I+O treatment significantly reduced soil nitrification rate respectively by 28.74% and 13.96% in maize season, and by 24.66% and 13.28% in cowpea season. However, no significant differences were observed in the rate of denitrification among three treatments. Nitrogen fertilization significantly enhanced N2O flux, with N2O flux peak observed immediately after nitrogen fertilizer application. The combined application of inorganic and organic nitrogen fertilizers markedly influenced N2O emission. The mean N2O flux in maize season under I+O treatment was (279.54±116.58) μg·m-2·h-1, which was 33.44% (P < 0.01) and 32.29% (P < 0.01) lower than that under I and O treatments. In cowpea season, mean flux under I+O treatment[(188.07±57.63) μg·m-2·h-1] decreased significantly by 27.00% and 15.14%, compared with that under I and O treatments. Moreover, compared with I and O treatments, I+O treatment significantly reduced cumulative N2O emission respectively by 33.51% and 32.51% in maize season, and by 25.77% and 15.04% in cowpea season. However, there were no significant differences in N2O flux and cumulative N2O emission between I and O treatments. Linear correlation analysis showed that N2O emission was closely related with nitrification rate. Yields of maize and cowpea varied among different treatments and I+O treatment had the highest yields of maize and cowpea. Yield of maize under I+O treatment was 1.71 and 1.23 times that under I and O treatments, and yield of cowpea under I+O treatment was 13.4 and 1.17 times that under I and O treatments, respectively. No significant difference was found in cowpea yield between I and O treatments. Our results suggested that combined application of organic and inorganic nitrogen fertilizers effectively reduced soil N2O emissions and increased crop yield in maize-cowpea cropping systems in Central China. The study had important implications for high-yield, low-carbon crop cultivation in China.
Key words:Maize-cowpea cropping system/
Combined application of organic and inorganic fertilizers/
Nitrification/
Denitrification/
N2O emission/
Yield
HTML全文

图1玉米季(a)和豇豆季(b)不同施肥处理土壤硝化作用速率变化
Figure1.Variations of soil nitrification rates in maize season (a) and cowpea season (b) under different treatments


图2玉米季(a)和豇豆季(b)不同处理土壤反硝化作用速率变化
Figure2.Variations of soil denitrification rates in maize season (a) and cowpea season (b) under different treatments


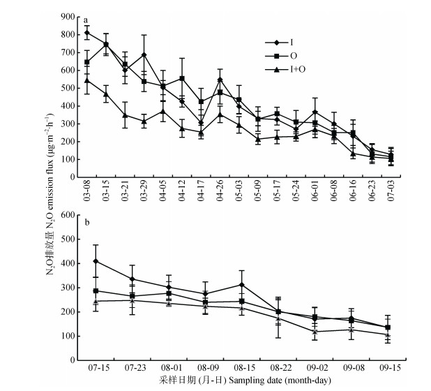
图3玉米季(a)和豇豆季(b)不同处理土壤N2O排放通量变化
Figure3.Variations of N2O fluxes in maize season (a) and cowpea season (b) under different treatments

表1不同处理肥料施用情况
Table1.Strategy of fertilizers application of different treatments
处理 Treatment | 玉米Maize | 豇豆Cowpea | ||||
底肥 Basal fertilizer | 追肥1 Topdressing 1 | 追肥2 Topdressing 2 | 底肥 Basal fertilizer | 追肥1 Topdressing 1 | ||
I | 227.2 kg?hm-2尿素+263.2 kg?hm-2磷酸二铵+350 kg?hm-2氯化钾 227.2 kg?hm-2 urea + 263.2 kg?hm-2 (NH4)2HPO4 + 350 kg?hm-2 KCl | 156.5 kg?hm-2 尿素Urea | 156.5 kg?hm-2 尿素Urea | 144.2 kg?hm-2尿素+157.9 kg?hm-2磷酸二铵+150 kg?hm-2氯化钾 144.2 kg?hm-2 urea + 157.9 kg?hm-2 (NH4)2HPO4 + 150 kg?hm-2 KCl | 195.7 kg?hm-2 尿素Urea | |
O | 2 177.1 kg?hm-2有机肥+148.6 kg?hm-2磷酸二铵+277.4 kg?hm-2氯化钾 2 177.1 kg?hm-2 organic fertilizer + 148.6 kg?hm-2 (NH4)2HPO4 + 277.4 kg?hm-2 KCl | — | — | 1 697.1 kg?hm-2有机肥+148.6 kg?hm-2磷酸二铵+93.4 kg?hm-2氯化钾 1 697.1 kg?hm-2 organic fertilizer + 148.6 kg?hm-2 (NH4)2HPO4 + 93.4 kg?hm-2 KCl | — | |
I+O | 1 200 kg?hm-2有机肥+195.7 kg?hm-2尿素+200 kg?hm-2磷酸二铵+310 kg?hm-2氯化钾 1 200 kg?hm-2 organic fertilizer + 195.7 kg?hm-2 urea + 200 kg?hm-2 (NH4)2HPO4 + 310 kg?hm-2 KCl | — | — | 900 kg?hm-2有机肥+159.6 kg?hm-2尿素+110.5 kg?hm-2磷酸二铵+120 kg?hm-2氯化钾 900 kg?hm-2 organic fertilizer + 159.6 kg?hm-2 urea + 110.5 kg?hm-2 (NH4)2HPO4 + 120 kg?hm-2 KCl | — | |
I:无机肥处理; O:有机肥处理; I+O:有机无机肥料配施处理。I: inorganic fertilizer; O: organic fertilizer; I+O: inorganic plus organic fertilizers. |

表2N2O排放通量与硝化作用和反硝化作用的相关性
Table2.Correlations of nitrification rate and denitrification rate with N2O flux
处理 Treatment | 相关系数Correlation coefficient | |
硝化作用速率 Nitrification rate | 反硝化作用速率 Denitrification rate | |
I | 0.85** | 0.18 |
O | 0.81** | 0.15 |
I+O | 0.86** | 0.12 |
**: 0.01水平显著相关。**: significant correlation at 0.01 level (n=64). |

表3不同施肥处理下玉米-豇豆系统产量与N2O累计排放量
Table3.Yields and accumulated N2O emissions of maize-cowpea system under different treatments
处理 Treatment | 产量Yield (t?hm-2) | N2O累积排放量Accumulated N2O emission (kg·hm-2) | |||||
玉米季 Maize season | 豇豆季 Cowpea season | 总量 Total | 玉米季 Maize season | 豇豆季 Cowpea season | 总量 Total | ||
I | 3.1±0.3c | 12.1±1.4b | 15.1±1.3b | 11.58±0.30a | 3.88±0.36a | 15.46±0.66a | |
O | 4.3±0.4b | 13.0±1.1ab | 17.3±1.4b | 11.41±0.59a | 3.39±0.21ab | 14.79±0.80a | |
I+O | 5.3±0.2a | 15.1±1.2a | 20.3±1.0a | 7.70±0.14b | 2.88±0.43b | 10.57±0.56b | |
同列不同字母表示5%水平差异显著。Different letters in the same column mean significant differences at 0.05 level. |

参考文献
[1] | IPCC. Climate Change 2013: The Physical Science Basis. Contribution of Working Group Ⅰ to the Fifth Assessment Report of the Intergovernmental Panel on Climate Change[R]. Cambridge: Cambridge University Press, 2013 |
[2] | BURNEY J A, DAVIS S J, LOBELL D B. Greenhouse gas mitigation by agricultural intensification[J]. Proceedings of the National Academy of Sciences of the United States of America, 2010, 107(26):12052-12057 doi: 10.1073/pnas.0914216107 |
[3] | 朱永官, 王晓辉, 杨小茹, 等.农田土壤N2O产生的关键微生物过程及减排措施[J].环境科学, 2014, 35(2):792-800 http://d.old.wanfangdata.com.cn/Periodical/hjkx201402055 ZHU Y G, WANG X H, YANG X L, et al. Key microbial processes in nitrous oxide emissions of agricultural soil and mitigation strategies[J]. Environmental Science, 2014, 35(2):792-800 http://d.old.wanfangdata.com.cn/Periodical/hjkx201402055 |
[4] | 孙志强, 郝庆菊, 江长胜, 等.农田土壤N2O的产生机制及其影响因素研究进展[J].土壤通报, 2010, 41(6):1524-1530 http://d.old.wanfangdata.com.cn/Periodical/trtb201006045 SUN Z Q, HAO Q J, JIANG C S, et al. Advances in the study of nitrous oxide production mechanism and its influencing factors in agricultural soils[J]. Chinese Journal of Soil Science, 2010, 41(6):1524-1530 http://d.old.wanfangdata.com.cn/Periodical/trtb201006045 |
[5] | 李燕青, 唐继伟, 车升国, 等.长期施用有机肥与化肥氮对华北夏玉米N2O和CO2排放的影响[J].中国农业科学, 2015, 48(21):4381-4389 doi: 10.3864/j.issn.0578-1752.2015.21.018 LI Y Q, TANG J W, CHE S G, et al. Effect of organic and inorganic fertilizer on the emission of CO2 and N2O from the summer maize field in the North China Plain[J]. Scientia Agricultura Sinica, 2015, 48(21):4381-4389 doi: 10.3864/j.issn.0578-1752.2015.21.018 |
[6] | KRAUSS M, KRAUSS H M, SPANGLER S, et al. Tillage system affects fertilizer-induced nitrous oxide emissions[J]. Biology and Fertility of Soils, 2017, 53(1):49-59 doi: 10.1007/s00374-016-1152-2 |
[7] | TIERLING J, KUHLMANN H. Emissions of nitrous oxide (N2O) affected by pH-related nitrite accumulation during nitrification of N fertilizers[J]. Geoderma, 2018, 310:12-21 doi: 10.1016/j.geoderma.2017.08.040 |
[8] | 郝小雨, 高伟, 王玉军, 等.有机无机肥料配合施用对设施菜田土壤N2O排放的影响[J].植物营养与肥料学报, 2012, 18(5):1073-1085 http://www.wanfangdata.com.cn/details/detail.do?_type=perio&id=QK201205790611 HAO X Y, GAO W, WANG Y J, et al. Effects of combined application of organic manure and chemical fertilizers on N2O emission from greenhouse vegetable soil[J]. Plant Nutrition and Fertilizer Science, 2012, 18(5):1073-1085 http://www.wanfangdata.com.cn/details/detail.do?_type=perio&id=QK201205790611 |
[9] | 董玉红, 欧阳竹, 李运生, 等.不同施肥方式对农田土壤CO2和N2O排放的影响[J].中国土壤与肥料, 2007, (4):34-39 doi: 10.3969/j.issn.1673-6257.2007.04.008 DONG Y H, OUYANG Z, LI Y S, et al. Influence of different fertilization on CO2 and N2O fluxes from agricultural soil[J]. Soil and Fertilizer Sciences in China, 2007, (4):34-39 doi: 10.3969/j.issn.1673-6257.2007.04.008 |
[10] | 孟磊, 蔡祖聪, 丁维新.长期施肥对华北典型潮土N分配和N2O排放的影响[J].生态学报, 2008, 28(12):6197-6203 doi: 10.3321/j.issn:1000-0933.2008.12.050 MENG L, CAI Z C, DING W X. Effects of long-term fertilization on N distribution and N2O emission in fluvo-aquci soil in North China[J]. Acta Ecologica Sinica, 2008, 28(12):6197-6203 doi: 10.3321/j.issn:1000-0933.2008.12.050 |
[11] | 肖乾颖, 黄有胜, 胡廷旭, 等.施肥方式对紫色土农田生态系统N2O和NO排放的影响[J].中国生态农业学报, 2018, 26(2):203-213 http://www.ecoagri.ac.cn/zgstny/ch/reader/view_abstract.aspx?file_no=2018-0206&flag=1 XIAO Q Y, HUANG Y S, HU T X, et al. Effects of fertilization regimes on N2O and NO emissions from agro-ecosystems of purplish soil[J]. Chinese Journal of Eco-Agriculture, 2018, 26(2):203-213 http://www.ecoagri.ac.cn/zgstny/ch/reader/view_abstract.aspx?file_no=2018-0206&flag=1 |
[12] | 陈晨, 许欣, 毕智超, 等.生物炭和有机肥对菜地土壤N2O排放及硝化、反硝化微生物功能基因丰度的影响[J].环境科学学报, 2017, 37(5):1912-1920 http://d.old.wanfangdata.com.cn/Periodical/hjkxxb201705036 CHEN C, XU X, BI Z C, et al. Effects of biochar and organic manure on N2O emissions and the functional gene abundance of nitrification and denitrification microbes under intensive vegetable production[J]. Acta Scientiae Circumstantiae, 2017, 37(5):1912-1920 http://d.old.wanfangdata.com.cn/Periodical/hjkxxb201705036 |
[13] | 何飞飞, 梁运姗, 易珍玉, 等.有机无机肥配施对酸性菜地土壤硝化作用的影响[J].植物营养与肥料学报, 2014, 20(3):534-540 http://d.old.wanfangdata.com.cn/Periodical/zwyyyflxb201403004 HE F F, LIANG Y S, YI Z Y, et al. Effects of combined application of manure and chemical fertilizer on the nitrification in acid vegetable soil[J]. Journal of Plant Nutrition and Fertilizer, 2014, 20(3):534-540 http://d.old.wanfangdata.com.cn/Periodical/zwyyyflxb201403004 |
[14] | ZHENG X H, WANG M X, WANG Y S, et al. Comparison of manual and automatic methods for measurement of methane emission from rice paddy fields[J]. Advances in Atmospheric Sciences, 1998, 15(4):569-579 doi: 10.1007/s00376-998-0033-5 |
[15] | INGWERSEN J, BUTTERBACH-BAHL K, GASCHE R, et al. Barometric process separation:New method for quantifying nitrification, denitrification, and nitrous oxide sources in soil[J]. Soil Science Society of America Journal, 1999, 63(1):117-128 doi: 10.2136/sssaj1999.03615995006300010018x |
[16] | 梁银丽, 熊亚梅, 吴燕, 等.日光温室豇豆产量和品质对水分和氮素水平的响应[J].水土保持学报, 2008, 22(5):142-145 doi: 10.3321/j.issn:1009-2242.2008.05.032 LIANG Y L, XIONG Y M, WU Y, et al. The response of cowpea yield and quality to soil moisture and nitrogen in solar greenhouse[J]. Journal of Soil and Water Conservation, 2008, 22(5):142-145 doi: 10.3321/j.issn:1009-2242.2008.05.032 |
[17] | MATHIEU O, HéNAULT C, LéVêQUE J, et al. Quantifying the contribution of nitrification and denitrification to the nitrous oxide flux using 15N tracers[J]. Environmental Pollution, 2006, 144(3):933-940 doi: 10.1016/j.envpol.2006.02.005 |
[18] | 林存刚.硝化与反硝化作用对农田土壤N2O排放的贡献[D].重庆: 西南大学, 2006 http://www.wanfangdata.com.cn/details/detail.do?_type=degree&id=Y937535 LIN C G. Contributions of nitrification & denitrification to emission of nitrous oxide in farmland soil[D]. Chongqing: Southwest University, 2006 http://www.wanfangdata.com.cn/details/detail.do?_type=degree&id=Y937535 |
[19] | 王军, 申田田, 车钊, 等.有机和无机肥配比对黄褐土硝化和反硝化微生物丰度及功能的影响[J].植物营养与肥料学报, 2018, 24(3):641-650 http://d.old.wanfangdata.com.cn/Periodical/zwyyyflxb201803009 WANG J, SHEN T T, CHE Z, et al. Effects of combination of organic and inorganic fertilizers on abundances of nitrifiers and denitrifiers and their function in yellow-cinnamon soil[J]. Journal of Plant Nutrition and Fertilizers, 2018, 24(3):641-650 http://d.old.wanfangdata.com.cn/Periodical/zwyyyflxb201803009 |
[20] | 翟振, 王立刚, 李虎, 等.有机无机肥料配施对春玉米农田N2O排放及净温室效应的影响[J].农业环境科学学报, 2013, 32(12):2502-2510 http://d.wanfangdata.com.cn/Periodical_nyhjbh201312025.aspx ZHAI Z, WANG L G, LI H, et al. Nitrous oxide emissions and net greenhouse effect from spring-maize field as influenced by combined application of manure and inorganic fertilizer[J]. Journal of Agro-Environment Science, 2013, 32(12):2502-2510 http://d.wanfangdata.com.cn/Periodical_nyhjbh201312025.aspx |
[21] | 王秀斌, 梁国庆, 周卫, 等.优化施肥下华北冬小麦/夏玉米轮作体系农田反硝化损失与N2O排放特征[J].植物营养与肥料学报, 2009, 15(1):48-54 doi: 10.3321/j.issn:1008-505X.2009.01.007 WANG X B, LIANG G Q, ZHOU W, et al. Effect of optimized nitrogen application on denitrification losses and N2O emissions from soil in winter wheat/summer corn rotation system in North China[J]. Plant Nutrition and Fertilizer Science, 2009, 15(1):48-54 doi: 10.3321/j.issn:1008-505X.2009.01.007 |
[22] | 黄晶, 张杨珠, 刘宏斌, 等.长期不同施肥条件下红壤小麦和玉米季CO2、N2O排放特征[J].生态与农村环境学报, 2011, 27(4):7-13 doi: 10.3969/j.issn.1673-4831.2011.04.002 HUANG J, ZHANG Y Z, LIU H B, et al. CO2 and N2O emissions from red soil during wheat and corn growing seasons under different patterns of long-term fertilization[J]. Journal of Ecology and Rural Environment, 2011, 27(4):7-13 doi: 10.3969/j.issn.1673-4831.2011.04.002 |
[23] | GUNTI?AS M E, LEIRóS M C, TRASAR-CEPEDA C, et al. Effects of moisture and temperature on net soil nitrogen mineralization:A laboratory study[J]. European Journal of Soil Biology, 2012, 48:73-80 doi: 10.1016/j.ejsobi.2011.07.015 |
[24] | 郎漫, 李平, 张小川.土地利用方式和培养温度对土壤氮转化及温室气体排放的影响[J].应用生态学报, 2012, 23(10):2670-2676 http://d.old.wanfangdata.com.cn/Periodical/yystxb201210007 LANG M, LI P, ZHANG X C. Effects of land use type and incubation temperature on soil nitrogen transformation and greenhouse gas emission[J]. Chinese Journal of Applied Ecology, 2012, 23(10):2670-2676 http://d.old.wanfangdata.com.cn/Periodical/yystxb201210007 |
[25] | 范晓晖, 朱兆良.旱地土壤中的硝化-反硝化作用[J].土壤通报, 2002, 33(5):385-391 doi: 10.3321/j.issn:0564-3945.2002.05.017 FAN X H, ZHU Z L. Nitrification and denitrification in upland soils[J]. Chinese Journal of Soil Science, 2002, 33(5):385-391 doi: 10.3321/j.issn:0564-3945.2002.05.017 |
[26] | 万伟帆, 美丽, 红梅, 等.内蒙古阴山北麓滴灌马铃薯田氨挥发和氧化亚氮排放特征[J].灌溉排水学报, 2016, 35(8):36-41 http://d.old.wanfangdata.com.cn/Periodical/ggps201608007 WAN W F, MEI L, HONG M, et al. Characteristics of ammonia volatilization and nitrous oxide emission under drip irrigated potato in North of Yinshan of Inner Mongolia[J]. Journal of Irrigation and Drainage, 2016, 35(8):36-41 http://d.old.wanfangdata.com.cn/Periodical/ggps201608007 |
[27] | LIANG B, ZHAO W, YANG X Y, et al. Fate of nitrogen-15 as influenced by soil and nutrient management history in a 19-year wheat-maize experiment[J]. Field Crops Research, 2013, 144:126-134 http://www.wanfangdata.com.cn/details/detail.do?_type=perio&id=f1f69d403e2f4b383ce300e51463b298 |
[28] | 邢素丽, 韩宝文, 刘孟朝, 等.有机无机配施对土壤养分环境及小麦增产稳定性的影响[J].农业环境科学学报, 2010, 29(S1):135-140 http://d.old.wanfangdata.com.cn/Periodical/nyhjbh2010z1028 XING S L, HAN B W, LIU M C, et al. The effect of NPK fertilizer combined with soil organic manure on soil nutrition and wheat yield increasing[J]. Journal of Agro-Environment Science, 2010, 29(S1):135-140 http://d.old.wanfangdata.com.cn/Periodical/nyhjbh2010z1028 |
[29] | 梁斌.有机肥与化肥长期配施协调土壤供氮的效应及机理[D].杨凌: 西北农林科技大学, 2012 http://cdmd.cnki.com.cn/article/cdmd-10712-1012437396.htm LIANG B. Effect of long-term combined application of manure and inorganic fertilizers on soil nitrogen availability and its mechanism[D]. Yangling: Northwest A&F University, 2012 http://cdmd.cnki.com.cn/article/cdmd-10712-1012437396.htm |
[30] | CHADWICK D R, PAIN B F, BROOKMAN S K E. Nitrous oxide and methane emissions following application of animal manures to grassland[J]. Journal of Environmental Quality, 2000, 29(1):277-287 http://www.wanfangdata.com.cn/details/detail.do?_type=perio&id=CC025501911 |
[31] | 黄国宏, 陈冠雄, 韩冰.土壤含水量与N2O产生途径研究[J].应用生态学报, 1999, 10(1):53-56 doi: 10.3321/j.issn:1001-9332.1999.01.014 HUANG G H, CHEN G X, HAN B. Relationships between soil water content and N2O production[J]. Chinese Journal of Applied Ecology, 1999, 10(1):53-56 doi: 10.3321/j.issn:1001-9332.1999.01.014 |
[32] | GREGORICH E G, ROCHETTE P, VANDENBYGAART A J, et al. Greenhouse gas contributions of agricultural soils and potential mitigation practices in Eastern Canada[J]. Soil and Tillage Research, 2005, 83(1):53-72 doi: 10.1016/j.still.2005.02.009 |
[33] | ZHANG J, WANG M Y, CAO Y C, et al. Replacement of mineral fertilizers with anaerobically digested pig slurry in paddy fields:Assessment of plant growth and grain quality[J]. Environmental Science and Pollution Research, 2017, 24(10):8916-8923 doi: 10.1007/s11356-015-5125-z |
[34] | 孟琳, 张小莉, 蒋小芳, 等.有机肥料氮替代部分化肥氮对稻谷产量的影响及替代率[J].中国农业科学, 2009, 42(2):532-542 doi: 10.3864/j.issn.0578-1752.2009.02.019 MENG L, ZHANG X L, JIANG X F, et al. Effects of partial mineral nitrogen substitution by organic fertilizer nitrogen on the yields of rice grains and their proper substitution rate[J]. Scientia Agricultura Sinica, 2009, 42(2):532-542 doi: 10.3864/j.issn.0578-1752.2009.02.019 |
[35] | 郑凤霞, 董树亭, 刘鹏, 等.长期有机无机肥配施对冬小麦籽粒产量及氨挥发损失的影响[J].植物营养与肥料学报, 2017, 23(3):567-577 http://d.old.wanfangdata.com.cn/Periodical/zwyyyflxb201703002 ZHENG F X, DONG S T, LIU P, et al. Effects of combined application of manure and chemical fertilizers on ammonia volatilization loss and yield of winter wheat[J]. Journal of Plant Nutrition and Fertilizer, 2017, 23(3):567-577 http://d.old.wanfangdata.com.cn/Periodical/zwyyyflxb201703002 |
[36] | LIU C A, LI F R, ZHOU L M, et al. Effect of organic manure and fertilizer on soil water and crop yields in newly-built terraces with loess soils in a semi-arid environment[J]. Agricultural Water Management, 2013, 117:123-132 doi: 10.1016/j.agwat.2012.11.002 |
[37] | 李絮花, 杨守祥, 于振文, 等.有机肥对小麦根系生长及根系衰老进程的影响[J].植物营养与肥料学报, 2005, 11(4):467-472 doi: 10.3321/j.issn:1008-505X.2005.04.007 LI X H, YANG S X, YU Z W, et al. Effects of organic manure application on growth and senescence of root in winter wheat[J]. Plant Nutrition and Fertilizer Science, 2005, 11(4):467-472 doi: 10.3321/j.issn:1008-505X.2005.04.007 |
[38] | 张欣, 施利利, 刘晓宇, 等.不同施肥处理对水稻产量、食味品质及蛋白质组分的影响[J].中国农学通报, 2010, 26(4):104-108 http://d.old.wanfangdata.com.cn/Periodical/zgnxtb201004024 ZHANG X, SHI L L, LIU X Y, et al. Effect of different fertilizer treatments on rice yield, grain quality and protein fraction content[J]. Chinese Agricultural Science Bulletin, 2010, 26(4):104-108 http://d.old.wanfangdata.com.cn/Periodical/zgnxtb201004024 |
[39] | WEI W L, YAN Y, CAO J, et al. Effects of combined application of organic amendments and fertilizers on crop yield and soil organic matter:An integrated analysis of long-term experiments[J]. Agriculture, Ecosystems & Environment, 2016, 225:86-92 |
[40] | 赵丹, 戴维, 罗德木, 等.麦冬-玉米-豇豆高效立体套作栽培技术[J].现代农业科技, 2017, (24):80-81 doi: 10.3969/j.issn.1007-5739.2017.24.049 ZHAO D, DAI W, LUO D M, et al. Cultural technology of high yield dwarf lilyturf tuber-maize-cowpea cropping system[J]. Modern and Agricultural Science and Technology, 2017, (24):80-81 doi: 10.3969/j.issn.1007-5739.2017.24.049 |