樊廷录1,
丁宁平2,
赵刚1,
张建军1,
李尚中1,
王磊1,
党翼1,
程万莉1,
唐小明1
1.甘肃省农业科学院旱地农业研究所/甘肃省旱作区水资源高效利用重点实验室 兰州 730070
2.平凉市农业科学研究院 平凉 744500
基金项目: 国家重点研发计划项目2016YFD0300110
公益性行业(农业)科研专项201303104
公益性行业(农业)科研专项201503124
国家玉米产业技术体系兰州综合试验站项目CARS-02-60
“十二五”农村领域国家科技计划课题2013AA102902
详细信息
作者简介:王淑英, 主要研究方向为旱地水土资源高效利用。E-mail:wang_shying@163.com
中图分类号:S153.6+1计量
文章访问数:851
HTML全文浏览量:2
PDF下载量:647
被引次数:0
出版历程
收稿日期:2017-11-03
录用日期:2018-01-28
刊出日期:2018-07-01
Change characteristics of soil phosphorus and phosphorus fertilizer efficiency in Black Loessial soil of dryland in the Loess Plateau under long-term fertilization
WANG Shuying1,,,FAN Tinglu1,
DING Ningping2,
ZHAO Gang1,
ZHANG Jianjun1,
LI Shangzhong1,
WANG Lei1,
DANG Yi1,
CHENG Wanli1,
TANG Xiaoming1
1. Dryland Agricultural Institute of Gansu Academy of Agricultural Sciences/Key Laboratory of High Water Utilization on Dryland in Gansu Province, Lanzhou 730070, China
2. Pingliang Academy of Agricultural Sciences, Pingliang 744500, China
Funds: the National Key Research and Development Project of China2016YFD0300110
the Special Fund for Agro-scientific Research in the Public Interest of China201303104
the Special Fund for Agro-scientific Research in the Public Interest of China201503124
the Project of Lanzhou Experimental Station on Maize of China Agriculture Research SystemCARS-02-60
the National Technology R&D Program on Rural Areas of China2013AA102902
More Information
Corresponding author:WANG Shuying, E-mail: wang_shying@163.com
摘要
HTML全文
图
参考文献
相关文章
施引文献
资源附件
访问统计
摘要
摘要:依托甘肃平凉定位试验(1979年-),分析长期不同施肥下土壤磷素和磷肥效率的演变特征,为黄土旱塬雨养农田合理施用磷肥提供参考。试验包括6个处理:不施肥(CK)、单施氮肥(N)、氮磷配合(NP)、秸秆还田加氮和隔年施磷(SNP)、单施农家肥(M)和农家肥加氮磷(MNP),种植制度为4年冬小麦-2年春玉米的一年1熟轮作制。结果表明,试验进行38年后,长期无磷投入(CK、N)处理耕层土壤全磷和Olsen-P含量及磷活化系数比试验开始时下降,而施磷处理(NP、SNP、M和MNP)土壤全磷分别增加22.8%、14.0%、38.6%和56.1%,Olsen-P相应提高99.1%、48.4%、206.4%和375.6%,磷活化系数分别是开始时的1.7倍、1.3倍、2.2倍和3.1倍。随试验年限延长,CK处理耕层土壤全磷基本不变;N和SNP耕层土壤全磷呈下降趋势,每年下降速率为1.9 mg·kg-1和2.6 mg·kg-1;NP、M和MNP处理呈增加趋势,每年增加速率分别为1.2 mg·kg-1、1.9 mg·kg-1和2.8 mg·kg-1。CK和N处理Olsen-P呈下降趋势,年下降速率分别为0.03 mg·kg-1和0.09 mg·kg-1;NP、SNP、M和MNP处理土壤Olsen-P呈增加趋势,年增量分别为0.29 mg·kg-1、0.24 mg·kg-1、0.46 mg·kg-1和0.89 mg·kg-1。作物产量与耕层土壤Olsen-P含量呈极显著正相关(小麦R2=0.116 9,n=132;玉米R2=0.332 4,n=54)。施磷处理(NP、SNP、M和MNP)玉米的磷肥回收率、利用率和农学效率大于小麦,而生理效率小麦大于玉米;各处理磷肥效率4个指标的大小顺序均为SNP > NP > MNP > M,玉米磷肥效率的4个指标都随试验年限延长而提高。M较MNP处理P投入减少了14.2%,小麦、玉米磷素效率降低14.3%~69.5%、0.8%~75.5%。总之,有机无机结合是黄土旱塬区培肥地力、提高作物产量和资源利用效率的施肥措施。
关键词:黑垆土/
长期施肥/
土壤磷素/
磷肥回收率/
磷肥利用率/
磷肥农学效率/
磷肥生理效率
Abstract:Using a long-term fertilization experiment set up in 1978 in Pingliang, Gansu Province, changes in soil phosphorus (P) and P fertilizer efficiency (PFE) were determined and used to guide rational application of P fertilizer in dry farmlands. Six fertilizer treatments-no fertilizer (CK), chemical nitrogen (N), chemical nitrogen and phosphorus (NP), straw plus chemical NP (SNP), farmyard manure (M) and farmyard manure plus chemical NP (MNP)-were used in the cropping system of 4-year continues winter wheat followed by 2-year spring corn. After 38 years, the total soil phosphorus and Olsen-P contents in CK and N treatments decreased, and phosphorus activation coefficient dropped. Total soil phosphorus contents under NP, SNP, M and MNP treatments increased respectively by 22.8%, 14.0%, 38.6% and 56.1%. Then Olsen-P contents increased respectively by 99.1%, 48.4%, 206.4% and 375.6%, while P activation coefficients were 1.7, 1.3, 2.2 and 3.1 times as that in 1978. Total soil P contents in N and SNP treatments were negatively correlated with the number of experimental years with annual decline rates of 1.9 mg·kg-1 and 2.6 mg·kg-1, respectively. Total soil P contents under NP, M and MNP treatments were positively correlated with the number of experimental years, with annual increase rates of 1.2 mg·kg-1, 1.9 mg·kg-1 and 2.8 mg·kg-1, respectively. Total soil P contents under CK remained basically unchanged with the number of experimental years. Soil available P contents under CK and N treatments decreased with increasing number of experimental years, and the annual decline rates were respectively 0.03 mg·kg-1 and 0.09 mg·kg-1. Soil available P contents under NP, SNP, M and MNP treatments were positively correlated with the number of experimental years, with annual increase rates of respectively 0.29 mg·kg-1, 0.24 mg·kg-1, 0.46 mg·kg-1 and 0.89 mg·kg-1. Crop yield was positively correlated with soil available P (wheat R2=0.116 9, n=132; corn R2=0.332 4, n=54). P using rate (PUR), P recovery rate (PRR) and P agronomic efficiency (PAE) of corn were greater than those of wheat for all 4 P treatments (NP, SNP, M and MNP), but P physiological efficiency (PPE) of wheat was greater than that of corn. The ranked order of above four indexes of P fertilizer efficiency (PFE) for different treatments was SNP > NP > MNP > M. The four indexes of PFE of maize were positively correlated with the number of experimental years. Compared with MNP treatment, P input with M decreased 14.2%. Wheat and corn PFE decreased by 14.3%-69.5% and 0.8%-75.5%, respectively. In summary, combined application of organic and inorganic fertilizers was optimal choice for improving soil fertility, increasing crop yield and enhancing resource use efficiency in Heilu soil of the Loess Plateau dryland.
Key words:Black Loessial soil/
Long-term fertilization/
Soil phosphorus/
Phosphate recovery rate/
Phosphate using rate/
Phosphorus agronomic efficiency/
Phosphate physiological efficiency
HTML全文

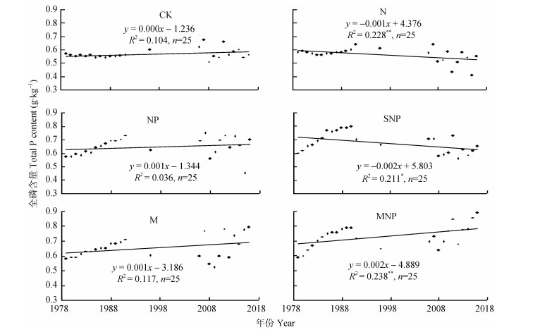
图11978—2016年长期不同施肥处理下土壤全磷含量变化
Figure1.Changes of soil P contents under different long-term fertilization treatments from 1978 to 2016


图21978—2016年长期不同施肥处理下土壤有效磷含量变化
Figure2.Changes of soil Olsen-P contents under different long-term fertilization treatments from 1978 to 2016


图31978—2016年长期不同施肥处理下土壤磷活化系数(PAC)的变化
Figure3.Changes of soil P active coefficients (PAC) under different long-term fertilization treatments from 1978 to 2016


图4作物产量与耕层土壤有效磷含量关系
Figure4.Relationship between crop yield and soil Olsen-P content in 0-20 cm soil layer

表11979—2016年各试验处理全年施肥量和磷素养分输入量
Table1.Annual application amounts of fertilizes and P inputs from different sources of different treatments during 1979-2016
处理 Treatment | 施化肥氮量 Chemical N application rate [kg(N)·hm-2] | 施化肥磷量 Chemical P application rate [kg(P2O5)·hm-2) | 秸秆/农家肥量 Straw/farm manure amount (t·hm-2) | 磷素输入量P input (kg·hm-2) | ||
有机物料 Farm manure/straw | 化肥 Chemical fertilizer | 总量 Total amount | ||||
CK | 0 | 0 | 0 | 0 | 0 | 0 |
N | 90 | 0 | 0 | 0 | 0 | 0 |
NP | 90 | 75 | 0 | 0 | 33 | 33 |
SNP | 90 | 75 (隔年施Every two years) | 3.75 (秸秆Straw) | 6.4 | 16.5 | 22.9 |
M | 0 | 0 | 75 (农家肥Farm manure) | 200 | 0 | 200 |
NPM | 90 | 75 | 75 (农家肥Farm manure) | 200 | 33 | 233 |

表2长期不同施肥处理下作物磷肥农学利用效率和生理效率的变化
Table2.Changes of agronomic and physiological efficiencies of P fertilizer under different long-term fertilization treatments
处处理 Treatment | 小麦Wheat | 玉米Corn | ||||||||
平均 Average (kg·kg-1) | 变异系数 CV (%) | 年变化率 Annual change rate (kg·kg-1·a-1) | R2 (n=26) | 平均 Average (kg·kg-1) | 变异系数 CV (%) | 年变化率 Annual change rate (kg·kg-1·a-1) | R2 (n=10) | |||
农学利用效率 Agronomic efficiency | NP | 55.64 | 49.41 | 0.862 9 | 0.118 5 | 84.39 | 52.82 | 2.161 2 | 0.379 3 | |
SNP | 87.51 | 42.42 | 1.300 5 | 0.147 7 | 147.03 | 52.25 | 4.579 5 | 0.573 2* | ||
M | 8.26 | 64.03 | 0.276 0 | 0.327 3* | 15.03 | 61.60 | 0.591 8 | 0.659 1* | ||
MNP | 11.40 | 41.14 | 0.175 9 | 0.169 7* | 18.78 | 46.60 | 0.430 6 | 0.390 7 | ||
生理效率 Physiological efficiency | NP | 267.27 | 47.10 | 6.748 7 | 0.345 8** | 212.17 | 13.04 | 0.616 5 | 0.080 1 | |
SNP | 295.50 | 23.81 | -3.133 3 | 0.238 6* | 225.84 | 14.08 | 1.488 4 | 0.353 7 | ||
M | 191.23 | 49.49 | 2.775 4 | 0.103 3 | 191.37 | 14.23 | 1.623 9 | 0.573 8* | ||
MNP | 222.77 | 29.74 | 2.813 0 | 0.216 9* | 192.92 | 7.03 | 0.566 7 | 0.281 4 | ||
??*: P < 0.05; **: P < 0.01. |

表3长期不同施肥处理下作物磷肥当季利用率和回收率的变化
Table3.Changes of using and recovery rates of P fertilizer under different long-term fertilization treatments
处理 Treatment | 小麦Wheat | 玉米Corn | ||||||||
平均 Average (%) | 变异系数 CV (%) | 年变化率 Annual change rate (%·a-1) | R2 (n=26) | 平均 Average (%) | 变异系数 CV (%) | 年变化率 Annual change rate (%·a-1) | R2 (n=10) | |||
当季利用率 Using rate | NP | 22.87 | 61.21 | -0.421 5 | 0.108 91 | 39.22 | 43.06 | 0.846 4 | 0.405 0* | |
SNP | 29.98 | 53.20 | 0.859 8 | 0.349 6** | 63.32 | 45.57 | 1.667 6 | 0.538 8* | ||
M | 4.35 | 56.77 | 0.073 5 | 0.106 8 | 7.58 | 51.03 | 0.236 9 | 0.606 0** | ||
MNP | 5.20 | 42.08 | 0.000 9 | 0.000 2 | 9.64 | 42.53 | 0.191 2 | 0.350 6 | ||
当季回收率 Recovery rate | NP | 25.22 | 71.65 | -0.822 8 | 0.249 5** | 35.89 | 52.77 | 0.816 9 | 0.300 1 | |
SNP | 33.37 | 36.98 | 0.280 9 | 0.062 4 | 58.52 | 63.78 | 1.625 0 | 0.305 8 | ||
M | 4.74 | 57.19 | 0.007 3 | 0.000 9 | 7.03 | 63.41 | 0.232 1 | 0.437 8* | ||
MNP | 15.55 | 42.63 | -0.155 1 | 0.065 8 | 28.72 | 42.79 | 0.506 8 | 0.274 2 | ||
??*: P < 0.05; **: P < 0.01. |

参考文献
[1] | 张丽, 任意, 展晓莹, 等.常规施肥条件下黑土磷盈亏及其有效磷的变化[J].核农学报, 2014, 28(9):1685-1692 http://www.oalib.com/paper/4205215 ZHANG L, REN Y, ZHAN X Y, et al. Soil phosphorus balance and changes of Olsen-P of black soil under long-term conventional fertilization[J]. Journal of Nuclear Agricultural Sciences, 2014, 28(9):1685-1692 http://www.oalib.com/paper/4205215 |
[2] | 胡霭堂.植物营养学(下册)[M].第2版.北京:中国农业大学出版社, 2005:44-51 HU A T. Plant Nutrition (Volume Two)[M]. 2nd ed. Beijing:China Agricultural University Press, 2005:44-51 |
[3] | 李庆逵.磷矿粉肥效问题的理论基础[J].科学通报, 1966, 17(2):49-57 http://www.oalib.com/paper/1681302 LI Q K. Theoretical basis of fertilizer efficiency of phosphate rock[J]. Chinese Journal of Science, 1966, 17(2):49-57 http://www.oalib.com/paper/1681302 |
[4] | 孔庆波, 白由路, 杨俐苹, 等.黄淮海平原农田土壤磷素空间分布特征及影响因素研究[J].中国土壤与肥料, 2009, (5):10-14 http://mall.cnki.net/magazine/Article/TRFL200905004.htm KONG Q B, BAI Y L, YANG L P, et al. Spatial distribution characteristic and its influential factors of soil phosphorus in region of the Huang-Huai-Hai Plain[J]. Soil and Fertilizer Sciences in China, 2009, (5):10-14 http://mall.cnki.net/magazine/Article/TRFL200905004.htm |
[5] | 秦胜金, 刘景双, 王国平.影响土壤磷有效性变化作用机理[J].土壤通报, 2006, 37(5):1012-1016 http://www.irgrid.ac.cn/handle/1471x/729730?mode=full&submit_simple=Show+full+item+record QIN S J, LIU J S, WANG G P. Mechanism of phosphorus availability changing in soil[J]. Chinese Journal of Soil Science, 2006, 37(5):1012-1016 http://www.irgrid.ac.cn/handle/1471x/729730?mode=full&submit_simple=Show+full+item+record |
[6] | 贾兴永, 李菊梅.土壤磷有效性及其与土壤性质关系的研究[J].中国土壤与肥料, 2011, (6):76-82 https://www.wenkuxiazai.com/doc/8bf501e2b8f67c1cfad6b82d.html JIA X Y, LI J M. Study on soil phosphorus availability and its relation to the soil properties in 14 soils from different sites in China[J]. Soil and Fertilizer Sciences in China, 2011, (6):76-82 https://www.wenkuxiazai.com/doc/8bf501e2b8f67c1cfad6b82d.html |
[7] | 李学敏, 张劲苗.河北潮土磷素状态的研究[J].土壤通报, 1994, 25(6):259-260 http://www.cnki.com.cn/Article/CJFDTotal-TRXB201603023.htm LI X M, ZHANG J M. Study on soil phosphorus of in Fluvo-aquic soil in Hebei[J]. Chinese Journal of Soil Sciences, 1994, 25(6):259-260 http://www.cnki.com.cn/Article/CJFDTotal-TRXB201603023.htm |
[8] | ZHENG Z M, SIMARD R R, LAFOND J, et al. Changes in phosphorus fractions of a Humic Gleysol as influenced by cropping systems and nutrient sources[J]. Canadian Journal of Soil Science, 2001, 81(2):175-183 doi: 10.4141/S00-666 |
[9] | 蒋柏藩, 顾益初.石灰性土壤无机磷分级体系的研究[J].中国农业科学, 1989, 22(3):58-66 http://www.cnki.com.cn/Article/CJFDTOTAL-ZNYK198903008.htm JIANG B F, GU Y C. A suggested fractionation scheme of inorganic phosphorus in calcareous soils[J]. Scientia Agricultura Sinica, 1989, 22(3):58-66 http://www.cnki.com.cn/Article/CJFDTOTAL-ZNYK198903008.htm |
[10] | 黄芳, 韩晓宇, 王峥, 等.不同年代冬小麦品种的产量和磷生理效率对土壤肥力水平的响应[J].植物营养与肥料学报, 2016, 22(5):1222-1231 doi: 10.11674/zwyf.15375 HUANG F, HAN X Y, WANG Z, et al. Responses of grain yield and phosphorus physiological efficiency of wheat cultivars released in different decades to soil fertility levels[J]. Journal of Plant Nutrition and Fertilizer, 2016, 22(5):1222-1231 doi: 10.11674/zwyf.15375 |
[11] | 高静, 张淑香, 徐明岗, 等.长期施肥下三类典型农田土壤小麦磷肥利用效率的差异[J].应用生态学报, 2009, 20(9):2142-2148 http://www.oalib.com/paper/1480866 GAO J, ZHANG S X, XU M G, et al. Phosphorus use efficiency of wheat on three typical farmland soils under long-term fertilization[J]. Chinese Journal of Applied Ecology, 2009, 20(9):2142-2148 http://www.oalib.com/paper/1480866 |
[12] | 高静. 长期施肥下我国典型农田土壤磷库与作物磷肥效率的演变特征[D]. 北京: 中国农业科学院, 2009 http://cdmd.cnki.com.cn/Article/CDMD-82101-2009152267.htm GAO J. Evolution characteristics of soil phosphorus pool and efficiency of phosphorus fertilizer in typical cropland of china under Long-term fertilization[D]. Beijing: Chinese Academy of Agricultural Sciences, 2009 http://cdmd.cnki.com.cn/Article/CDMD-82101-2009152267.htm |
[13] | 信秀丽, 钦绳武, 张佳宝, 等.长期不同施肥下潮土磷素的演变特征[J].植物营养与肥料学报, 2015, 21(6):1514-1520 doi: 10.11674/zwyf.2015.0617 XIN X L, QIN S W, ZHANG J B, et al. Dynamics of phosphorus in Fluvo-aquic soil under Long-term fertilization[J]. Journal of Plant Nutrition and Fertilizer, 2015, 21(6):1514-1520 doi: 10.11674/zwyf.2015.0617 |
[14] | 王伯仁, 李冬初, 黄晶.红壤长期肥料定位试验中土壤磷素肥力的演变[J].水土保持学报, 2008, 22(5):96-101 http://www.cqvip.com/QK/96166X/200805/28619324.html WANG B R, LI D C, HUANG J. Development of P fertility in long-term fertilizer experiment on red soil[J]. Journal of Soil and Water Conservation, 2008, 22(5):96-101 http://www.cqvip.com/QK/96166X/200805/28619324.html |
[15] | 张淑香, 张文菊, 沈仁芳, 等.我国典型农田长期施肥土壤肥力变化与研究展望[J].植物营养与肥料学报, 2015, 21(6):1389-1393 doi: 10.11674/zwyf.2015.0602 ZHANG S X, ZHANG W J, SHEN R F, et al. Variation of soil quality in typical farmlands in China under long-term fertilization and research expedition[J]. Journal of Plant Nutrition and Fertilizer, 2015, 21(6):1389-1393 doi: 10.11674/zwyf.2015.0602 |
[16] | 戚瑞生, 党廷辉, 杨绍琼, 等.长期轮作与施肥对农田土壤磷素形态和吸持特性的影响[J].土壤学报, 2012, 49(6):1136-1146 doi: 10.11766/trxb201111050423 QI R S, DANG T H, YANG S Q, et al. Forms of soil phosphorus and P adsorption in soils under long-term crop rotation and fertilization systems[J]. Acta Pedologica Sinica, 2012, 49(6):1136-1146 doi: 10.11766/trxb201111050423 |
[17] | 戚瑞生, 党廷辉, 杨绍琼, 等.长期定位施肥对土壤磷素吸持特性与淋失突变点影响的研究[J].土壤通报, 2012, 43(5):1187-1194 http://www.cnki.com.cn/Article/CJFDTotal-TRTB201205029.htm QI R S, DANG T H, YANG S Q, et al. The impact on soil phosphorus adsorption characteristics and leaching change-point under long-term fertilization[J]. Chinese Journal of Soil Science, 2012, 43(5):1187-1194 http://www.cnki.com.cn/Article/CJFDTotal-TRTB201205029.htm |
[18] | 王玉平, 郑丽娜, 沈禹颖.免耕和秸秆覆盖对黑垆土磷素形态组分的影响[J].水土保持通报, 2015, 35(5):149-154 http://industry.wanfangdata.com.cn/yj/Magazine?magazineId=stbctb&yearissue=2015_5 WANG Y P, ZHENG L N, SHEN Y Y. Effects of no-till and stubble retention on phosphorus fractions of Heilu soil[J]. Bulletin of Soil and Water Conservation, 2015, 35(5):149-154 http://industry.wanfangdata.com.cn/yj/Magazine?magazineId=stbctb&yearissue=2015_5 |
[19] | 王永壮, 陈欣, 史奕.农田土壤中磷素有效性及影响因素[J].应用生态学报, 2013, 24(1):260-268 http://med.wanfangdata.com.cn/Paper/Detail?id=PeriodicalPaper_yystxb201301036 WANG Y Z, CHEN X, SHI Y. Phosphorus availability in cropland soils of China and related affecting factors[J]. Chinese Journal of Applied Ecology, 2013, 24(1):260-268 http://med.wanfangdata.com.cn/Paper/Detail?id=PeriodicalPaper_yystxb201301036 |
[20] | 裴瑞娜.长期施肥对黑垆土冬小麦、玉米产量和磷素利用效率的影响[J].甘肃农业科技, 2015, (8):48-53 http://www.cqvip.com/QK/95961X/201508/665769968.html PEI R N. Influences of long-term fertilizations on phosphorus use efficiencies and yield of winter wheat and corn in Black Loessial soil[J]. Gansu Agricultural Science and Technology, 2015, (8):48-53 http://www.cqvip.com/QK/95961X/201508/665769968.html |
[21] | 徐明岗, 张文菊, 张夫道, 等.中国土壤肥力演变[M].第2版.北京:中国农业科学技术出版社, 2015 XU M G, ZHANG W J, ZHANG F D, et al. Change of Soil Fertility in China[M]. 2nd ed. Beijing:China Agricultural Science and Technology Press, 2015 |
[22] | 裴瑞娜, 杨生茂, 徐明岗, 等.长期施肥条件下黑垆土有效磷对磷盈亏的响应[J].中国农业科学, 2010, 43(19):4008-4015 doi: 10.3864/j.issn.0578-1752.2010.19.013 PEI R N, YANG S M, XU M G, et al. Response of Olsen-P to P balance in black Loessial soil under long-term fertilization[J]. Scientia Agricultura Sinica, 2010, 43(19):4008-4015 doi: 10.3864/j.issn.0578-1752.2010.19.013 |
[23] | 王淑英, 樊廷录, 丁宁平, 等.长期定位施肥条件下黄土旱塬农田作物产量、水分利用效率的变化[J].核农学报, 2010, 24(5):1044-1050 doi: 10.11869/hnxb.2010.05.1044 WANG S Y, FAN T L, DING N P, et al. Crop yield and water use efficiency under long-term fertilization in Loess Plateau[J]. Journal of Nuclear Agricultural Sciences, 2010, 24(5):1044-1050 doi: 10.11869/hnxb.2010.05.1044 |
[24] | 王淑英, 樊廷录, 丁宁平, 等.长期定位施肥对黄土旱塬黑垆土土壤酶活性的影响[J].土壤通报, 2011, 42(2):307-310 http://www.cqvip.com/QK/91157X/201102/37011768.html WANG S Y, FAN T L, DING N P, et al. Effect of long-term fertilization on soil enzyme activities in dryland black humus soil in the Loess Plateau[J]. Chinese Journal of Soil Science, 2011, 42(2):307-310 http://www.cqvip.com/QK/91157X/201102/37011768.html |
[25] | LIU E K, YAN C R, MEI X R, et al. Long-term effect of chemical fertilizer, straw, and manure on soil chemical and biological properties in northwest China[J]. Geoderma, 2010, 158(3/4):173-180 http://www.sciencedirect.com/science/article/pii/S0016706110001473 |
[26] | 王淑英, 樊廷录, 丁宁平, 等.长期施肥下黄土旱塬黑垆土供氮能力的变化[J].植物营养与肥料学报, 2015, 21(6):1487-1495 doi: 10.11674/zwyf.2015.0614 WANG S Y, FAN T L, DING N P, et al. Changes of soil nitrogen supply in black Loessial in Loess Plateau under long-term fertilization[J]. Journal of Plant Nutrition and Fertilizer, 2015, 21(6):1487-1495 doi: 10.11674/zwyf.2015.0614 |
[27] | 柳开楼, 胡志华, 叶会财, 等.双季玉米种植下长期施肥改变红壤氮磷活化能力[J].水土保持学报, 2016, 30(2):187-192 http://www.wanfangdata.com.cn/details/detail.do?_type=perio&id=trqsystbcxb201602033 LIU K L, HU Z H, YE H C, et al. Long-term fertilization changes soil nitrogen and phosphorus activation in red soil under double maize system[J]. Journal of Soil and Water Conservation, 2016, 30(2):187-192 http://www.wanfangdata.com.cn/details/detail.do?_type=perio&id=trqsystbcxb201602033 |
[28] | 李中阳. 我国典型土壤长期定位施肥下土壤无机磷的变化规律研究[D]. 杨凌: 西北农林科技大学, 2007 http://cdmd.cnki.com.cn/article/cdmd-10712-2008102627.htm LI Z Y. Studies on change law of inorganic phosphorus with the situation of long-term fertilization in typical soils in our country[D]. Yangling: Northwest A&F University, 2007 http://cdmd.cnki.com.cn/article/cdmd-10712-2008102627.htm |