删除或更新信息,请邮件至freekaoyan#163.com(#换成@)

水稻核不育系4个柱头性状的遗传分析

本站小编 Free考研考试/2022-01-01

江建华1,?, 党小景1,?, 姚文豪2, 胡梦竹2, 王雨停2, 胡长敏1, 张瑛1, 王德正,1,*1安徽省农业科学院水稻研究所, 水稻遗传育种安徽省重点实验室, 合肥 230031
2安徽科技学院, 凤阳 233100

Genetic Analysis of Four Stigma Traits with Genic Male Sterile Line in Rice (Oryza sativa)

Jianhua Jiang1,?, Xiaojing Dang1,?, Wenhao Yao2, Mengzhu Hu2, Yuting Wang2, Changmin Hu1, Ying Zhang1, Dezheng Wang,1,* 1Rice Genetic Breeding Key Laboratory of Anhui Province, Institute of Rice Research, Anhui Academy of Agricultural Sciences, Hefei 230031, China
2Anhui Science and Technology University, Fengyang 233100, China

通讯作者: *E-mail:wdzhengqin@163.com

? 共同第一作者
责任编辑: 朱亚娜
收稿日期:2020-12-9接受日期:2021-03-1网络出版日期:2021-05-01
基金资助:水稻遗传育种安徽省重点实验室开放基金.SDKF-201904
国家自然科学基金No.31601374


? These authors contributed equally to this paper
Received:2020-12-9Accepted:2021-03-1Online:2021-05-01


摘要
为改良水稻(Oryza sativa)核不育系柱头性状提供遗传信息, 调查了粳型核不育系7001S、籼型核不育系Z913S及其杂交、自交获得的F1、F2和F2:3群体的4个柱头性状, 分析了4个性状间的相关性, 并利用主基因+多基因遗传模型对2个世代4个性状进行遗传分析。结果表明, 4个性状两两间呈极显著正相关, 相关系数介于0.274-0.897之间。除F2:3群体中花柱长度和柱头外露率分别表现出受2对加性-显性主基因和1对负等效加性-显性主基因+多基因控制外, F2和F2:3群体的柱头长度、花柱长度、柱头-花柱总长度以及柱头外露率均表现出受2对主基因和多基因控制, 且F2:3群体中控制花柱长度的主基因表现出加性-显性效应, 其余均表现出加性-显性-上位性效应。2个世代中4个性状均以主基因遗传为主。
关键词: 水稻;核不育系;柱头性状;主基因+多基因模型;遗传分析

Abstract
To provide genetic information suitable for improving stigma-related traits of genic male sterile lines in rice. We investigated four stigma-related traits of 7001S (japonica genic male sterile line, P1), Z913S (indica genic male sterile line, P2), F1 (P1×P2), F2 and F2:3. Coefficients of linear correlation among four stigma-related traits were calculated, and genetic patterns were analyzed using mixed major-gene plus polygene inheritance models. We found an extremely significant linear positive correlation among four stigma traits, and the correlation coefficients were between 0.274 and 0.897. Genetic analysis revealed that, style length (SYL) and percentage of exserted stigma (PES) were controlled by two major genes with additive-dominant effects and one major gene with additive-equal-negative-dominant effects plus polygenes in F2:3, respectively. Stigma length (STL), SYL (except F2:3), the sum of stigma and style length (TSSL), and PES (except F2:3) were controlled by two major genes plus polygenes in F2 and F2:3. The two major genes expressed additive-dominant-epistatic effects but expressed additive-dominant effects of SYL in the F2:3 populations. Four stigma traits were mainly governed by major genes in two generations.
Keywords:rice;genic male sterile line;stigma trait;major gene plus polygene model;genetic analysis


PDF (2225KB)元数据多维度评价相关文章导出EndNote|Ris|Bibtex收藏本文
引用本文
江建华, 党小景, 姚文豪, 胡梦竹, 王雨停, 胡长敏, 张瑛, 王德正. 水稻核不育系4个柱头性状的遗传分析. 植物学报, 2021, 56(3): 284-295 doi:10.11983/CBB20200
Jiang Jianhua, Dang Xiaojing, Yao Wenhao, Hu Mengzhu, Wang Yuting, Hu Changmin, Zhang Ying, Wang Dezheng. Genetic Analysis of Four Stigma Traits with Genic Male Sterile Line in Rice (Oryza sativa). Chinese Bulletin of Botany, 2021, 56(3): 284-295 doi:10.11983/CBB20200


水稻(Oryza sativa)是最主要的粮食作物, 世界一半以上的人口以稻米为主食(袁隆平, 2010)。始于我国20世纪70年代的杂交水稻较同熟期常规稻增产20%以上, 杂交水稻的推广种植使水稻生产力大幅提升(Qian et al., 2016)。当前, 我国杂交水稻年种植面积约1.67×107 hm2, 以杂交籼稻为主, 而杂交粳稻的种植面积不足杂交水稻种植面积的3% (曹黎明等, 2018)。制种产量低是制约杂交粳稻发展的重要因素, 提高粳型不育系的异交结实率是提高杂交粳稻制种产量的关键环节(杨振玉等, 2016)。异交结实率主要取决于水稻花器性状和开花习性, 花器性状主要包括柱头长度(stigma length, STL)、花柱长度(style length, SYL)、柱头外露率(percentage of exserted stigma, PES)和开颖角度(glume opening angle, GOA)等(计慎敏和张大兵, 2007; 罗伟雄等, 2011)。廖佩言等(1986)研究发现, 柱头-花柱总长度(以下简称柱花总长度) (the sum of stigma and style length, TSSL)和柱头单外露率对异交结实率的贡献率分别为17.86%和7.9%。杨保汉(1997)研究表明, 柱头外露率和制种产量呈极显著正相关, 不育系的柱头外露率每增加1个百分点, 其异交结实率可提高0.74%- 0.92%, 制种产量可增加47-68 kg?hm-2。可见, 柱头性状与水稻异交结实率密切相关。

柱头性状主要包括柱头长度、花柱长度、柱花总长度和柱头外露率(单外露率、双外露率和总外露率)等。研究发现, 柱头性状间存在紧密联系, 如柱花总长度与柱头外露率呈显著(Virmani and Athwal, 1973; Miyata et al., 2007; Takano-Kai et al., 2011)或极显著(刘强明, 2015; Zhou et al., 2017)正相关, 柱头长度、花柱长度和柱花总长度间也表现出极显著正相关(Dang et al., 2016; Zhou et al., 2017)。但当前对于柱头性状的研究远远落后于水稻其它性状(如米质性状) (Wang et al., 2012)、农艺性状(Li et al., 2013; Zhou et al., 2013)以及抗性(Zheng et al., 2013)。目前, 对柱头性状的研究多集中于柱头外露率的QTL定位, 研究者利用不同群体检测到112个控制柱头外露率的QTLs (Xiong et al., 1999; Uga et al., 2003; Yu et al., 2006; Miyata et al., 2007; Hu et al., 2009; Yan et al., 2009; Li et al., 2014; 尹成等, 2014; Rahman et al., 2016, 2017; 李威等, 2017; Zhang et al., 2018; Bakti and Tanaka, 2019; Liu et al., 2019), 而其中仅3个QTLs (qSE7 (Rahman et al., 2017)、qSE11 (Zhang et al., 2018)和qSER-7 (Liu et al., 2019))被精细定位。对于柱头长度相关性状的报道则较少。研究者利用重组自交系(recombination inbred line, RIL) (Uga et al., 2003, 2010), F2、回交重组自交系(backcross inbred line, BIL)和双单倍体(doubled haploid line, DH)群体(Uga et al., 2010)以及自然群体(Yan et al., 2009; Marathi et al., 2015; Dang et al., 2016; Zhou et al., 2017)在水稻的11条染色体(除第11号染色体外)上检测到28个控制柱头长度的QTLs, 在水稻第1、2、3、4、6、7、10和11号染色体上检测到21个控制花柱长度的QTLs (Uga et al., 2003, 2010; Marathi et al., 2015; Dang et al., 2016; Zhou et al., 2017), 在水稻的9条染色体(除第8、9和10号染色体外)上检测到16个控制柱花总长度的QTLs (陈兰等, 2012; 刘强明, 2015; Liu et al., 2015; Marathi et al., 2015; Dang et al., 2016)。仅见Liu等(2015)qSTL3精细定位于水稻第3号染色体短臂19.8 kb区间, Dang等(2020)将控制花柱长度的基因OsSYL2AA克隆。尚未见柱头性状基因功能分析等深层次的研究报道, 说明当前对于柱头性状的研究少而浅, 这可能正是导致至今未见分子标记辅助选择(marked-assisted selection, MAS)选育长柱头、高外露率不育系等育种材料报道的主要原因。

本研究以团队自行选育的短柱头、低外露率的粳型光温敏核不育系7001S (李成荃等, 1994)为母本, 以长柱头、高外露率的籼型温敏核不育系Z913S (江建华等, 2017)为父本进行杂交、自交, 以构建的7001S/Z913S F1、F2和F2:3群体为研究对象, 对安徽庐江和海南陵水2个环境下的柱头长度、花柱长度、柱花总长度和柱头外露率4个性状间的相关性进行分析, 同时利用广泛应用于水稻(江建华等, 2009)、油菜(Brassica campestris) (田露申等, 2009)、小麦(Triticum aestivum) (解松峰等, 2019)、玉米(Zea mays) (冯云超等, 2019)和野棉花(Anemone vitifolia) (冯常辉等, 2020)等各种农作物的主基因+多基因混合模型(曹锡文等, 2013)对2个世代的4个柱头性状进行遗传分析, 旨在揭示柱头性状间的相关性及其遗传基础, 为水稻柱头性状的QTL定位和全基因组关联分析提供互补验证, 同时也为利用籼稻中柱头相关性状优异基因改良粳稻柱头性状提供理论基础, 从而为创制长柱头、高柱头外露率的粳型水稻温敏核不育系提供技术指导。

1 材料与方法

1.1 材料

供试材料包括无色短柱头、低柱头外露率的粳型水稻光温敏核不育系7001S (P1) (图1A), 紫色长柱头、高柱头外露率的籼型水稻温敏核不育系Z913S (P2) (图1A)及其杂交、自交所衍生的7001S/Z913S F1、F2和F2:3构成的遗传群体材料。

1.2 方法

2017年冬季在海南陵水以7001S (P1)为母本, 以Z913S (P2)为父本, 杂交获得7001S/Z913S F1。2018年正季将F1种植于安徽省农业科学院水稻研究所庐江基地(31°30¢23¢¢N, 117°18¢9¢¢E), 自交获得F2代种子。2019年正季将P1、P2、F1和F2种植于庐江基地(E1), 5月13日播种, 6月14日移栽。2019年冬季将P1、P2、F1和F2:3种植于海南陵水基地(E2), 11月27日播种, 12月29日移栽。2个环境中P1、P2和F1均分别种植4行, F2和F2:3群体均种植50行, 每行9株, 株行距16.7 cm × 26.7 cm, 常规栽培管理。

柱头长度(STL)指水稻雌蕊上毛刷状部分的长度, 花柱长度(SYL)指毛刷状底部与子房交界处之间的长度(Marathi et al., 2015; Zhou et al., 2017), 柱花总长度(TSSL)指柱头长度与花柱长度之和(图1B)。

柱头长度相关性状的测量方法: 在植株盛花期从主茎穗(最高穗)上取10个正张开的颖花(取样时间为每天10:00-14:00); 从颖花中剥取8个完整的雌蕊置于带有摄像头(MDX4)的体式显微镜(MZ11, 广州市明美光电技术有限公司)视野中拍照; 利用MicroShot v1.2图像处理系统在图片上测量柱头长度相关性状(图1B); 计算单株所有16个柱头(每个雌蕊2个柱头)长度相关性状的平均值, 作为该单株(株系)柱头长度相关性状的表型值。P1、P2和F1各株系调查8个雌蕊即16个柱头长度相关性状数据作为该株系的表型值; F2和F2:3分别调查了344个和300个单株, 每单株调查16个柱头长度相关性状数据作为该单株的表型值。

图1

新窗口打开|下载原图ZIP|生成PPT
图17001S和Z913S雌蕊及柱头表型

(A) 7001S和Z913S的柱头长度比较; (B) 水稻雌蕊各部位名称(STL: 柱头长度; SYL: 花柱长度; TSSL: 柱花总长度); (C) 水稻柱头无外露、单外露以及双外露的表型; (D) Z913S田间柱头外露表型。(A), (B) Bars=1 mm; (C), (D) Bars=1 cm
Figure 1Phenotypes of pistil and stigma of 7001S and Z913S

(A) Stigma morphology of 7001S and Z913S; (B) Names of rice pistil parts defined in this study (STL: Stigma length; SYL: Style length; TSSL: The sum of stigma and style length); (C) Phenotype of single, dual, and no stigma exsertion in a spikelet; (D) Phenotype of exserted stigma in Z913S. (A), (B) Bars=1 mm; (C), (D) Bars=1 cm


柱头外露率在家系开花结束后10天调查, 具体方法参照Miyata等(2007)并略作改动。简而言之, 柱头外露率等于主茎穗的外露柱头数除以总柱头数(总颖花数的2倍)所得的百分比(图1C)。P1、P2和F1分别调查了10个单株的主茎穗, 10个单株主茎穗的均值即为该株系柱头外露率表型值; F2和F2:3分别调查344个和300个单株, 各单株分别调查主茎穗和2个分蘖穗, 以3个穗子柱头外露率的均值作为该单株柱头外露率表型值。

1.3 数据分析

用Excel软件进行柱头性状统计分析和性状间的相关性分析。遗传力的计算公式为: H2=(VF2-(VP1+VP2+ VF1)/3)/VF2, 其中, H表示遗传力; VP1VP2VF1VF2分别表示P1、P2、F1和F2的方差。

F2和F2:3群体4个柱头相关性状的次数分布按照盖钧镒(2000)的方法进行整理。采用曹锡文等(2013)开发的植物数量性状分离分析软件SEA-G4F2 (P1、P2、F1和F2)和SEA-G4F3 (P1、P2、F1和F2:3)中的极大似然法和IECM算法估算2个世代4个柱头相关性状, 获得5类24种遗传模型的极大对数似然函数值和AIC (Akaike’s Information Criterion)值。根据最佳模型选择原则, AIC值最小的模型为相对最适模型, 当出现与相对最适模型AIC值接近的几个模型时, 这几个模型均作为备选模型, 此时需通过样本分布与理论分布间的均匀性检验和Kolmogorov-Smirnov检验来比较各备选模型适合性概率大小, 从而筛选出最适模型, 同时得出最适模型下各成分分布参数。其中主基因遗传率h2mg(%)=σ2mg/σ2p; 多基因遗传率h2pg (%)=σ2pg/σ2p

2 结果与讨论

2.1 水稻柱头性状间的相关性分析

表1可知, 在7001S/Z913S组合未经选择的F2和F2:3群体中, 柱头性状两两之间均呈极显著正相关, 相关系数介于0.274 (F2中SYL和PES)-0.897 (F2中STL和TSSL)之间。2个世代中的柱花总长度和柱头外露率表型相关系数分别为0.383 (F2)和0.365 (F2:3) (散点图见图2), 决定系数(R2)分别达14.68% (F2)和13.34% (F2:3), 说明在7001S/Z913S后代分离群体的柱头外露率变异中, 13%以上由柱花总长度的变异引起, 这种极显著线性正相关具有一定的生物学意义。

Table 1
表1
表1水稻4个柱头性状间的相关性系数
Table 1Correlation coefficients among four stigma traits of rice
TraitsStigma lengthStyle lengthThe sum of stigma and style lengthPercentage of exserted stigma
Stigma length-0.432**0.897**0.298**
Style length0.526**-0.847**0.320**
The sum of stigma and style length0.792**0.893**-0.365**
Percentage of exserted stigma0.386**0.274**0.383**-
Lower left triangle and upper right triangle of “-” indicates F2 and F2:3, respectively; ** indicate significant differences at 1% level.
“-”的左下角和右上角分别表示F2和F2:3的相关性系数; **表示在1%水平差异显著。

新窗口打开|下载CSV

图2

新窗口打开|下载原图ZIP|生成PPT
图2水稻7001S/Z913S组合F2 (A)和F2:3 (B)群体柱花总长度和柱头外露率的散点图

Figure 2Scattered dot of the sum of stigma and style length and percentage of exserted stigma in F2 (A) and F2:3 (B) populations of rice 7001S/Z913S



2.2 水稻柱头相关性状的遗传分析

2.2.1 柱头相关性状表型特征及次数分布

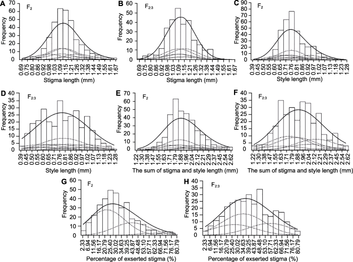
E1和E2中Z913S 4个柱头相关性状值均极显著高于7001S (表2; 图3)。7001S/Z913S F1的4个柱头相关性状均介于双亲之间, 其中STL和TSSL接近于双亲均值, 而SYL和PES偏向于高值亲本。分离群体中4个性状的变异系数介于11.88%-49.68%之间, 说明7001S/Z913S组合中的F2和F2:3群体有较好的遗传多样性。不同环境中4个性状的遗传力均大于82%, 表明这4个性状以遗传为主。但P1、P2和F1联合方差分析结果(表3)表明, 环境效应对4个柱头性状的表型值以及基因型与环境间的互作效应对PES表型值均存在一定影响。F2和F2:3分离群体中4个性状均表现出近似于连续的正态分布, 双向超亲分离, 适于进行遗传分析(图4)。

Table 2
表2
表2水稻7001S/Z913S组合F2和F2:3群体柱头性状描述
Table 2Description of stigma traits of the F2 and F2:3 populations and 7001S/Z913S of rice
TraitEnvironmentParentF1F2/F2:3 population
7001SZ913SRangeMeans±standar-d deviationCoefficient of variation (%)Heritability (%)SkewnessKurtosis
Stigma lengthE10.9151.571**1.2370.782-1.6661.145±0.14312.4882.850.540.88
E20.9151.511**1.2040.690-1.5601.122±0.14813.2482.370.110.23
Style lengthE10.7210.931**0.8520.468-1.1600.782±0.11915.2084.380.690.36
E20.6000.924**0.7900.394-1.2830.786±0.20115.6282.660.11-0.86
The sum of stigma and style lengthE11.6362.502**2.0891.406-2.6171.927±0.22911.8891.730.630.30
E21.5212.434**1.9941.218-2.6181.907±0.29715.5892.540.14-0.50
Percentage of exserted stigmaE114.8251.00**37.883.24-78.5230.64±15.2249.6886.800.760.47
E222.8350.37**38.212.33-80.7940.44±18.0144.5390.630.10-0.76
E1: 2019 in Lujiang; E2: 2020 in Lingshui; ** indicate significant differences at 1% level.
E1: 2019年庐江; E2: 2020年陵水; **表示在1%水平差异显著。

新窗口打开|下载CSV

图3

新窗口打开|下载原图ZIP|生成PPT
图32个环境下水稻7001S和Z913S 4个柱头性状的表现

(A) 柱头长度; (B) 花柱长度; (C) 柱花总长度; (D) 柱头外露率。** 表示在1%水平差异显著。
Figure 3Phenotypic evaluations of four stigma traits in two environments of rice 7001S and Z913S

(A) Stigma length; (B) Style length; (C) The sum of stigma and style length; (D) Percentage of exserted stigma. ** indicate significant differences at 1% level.


Table 3
表3
表3水稻7001S、Z913S和7001S/Z913S F1 4个柱头性状的联合方差分析
Table 3Joint analysis of variance for four stigma traits of rice 7001S, Z913S, and 7001S/Z913S F1
TraitsSource of variationDegrees of freedomSum of squaresMean squareF valueF0.05F0.01
Stigma lengthGenotypes26.343.17876.00**3.104.85
Environments10.020.026.83*3.956.93
Genotype × Environment20.010.011.513.104.85
Style lengthGenotypes21.100.5586.84**3.104.85
Environments10.080.0812.93**3.956.93
Genotype × Environment20.040.023.193.104.85
The sum of stigma and style lengthGenotypes212.676.331174.95**3.104.85
Environments10.200.2036.45**3.956.93
Genotype × Environment20.010.000.863.104.85
Percentage of exserted stigmaGenotypes216677.938338.96278.09**3.104.85
Environments1136.20136.204.54*3.956.93
Genotype × Environment2327.42163.715.46**3.104.85
*和**分别表示在P<0.05和P<0.01水平差异显著。* and ** indicate significant differences at P<0.05 and P<0.01, respectively.

新窗口打开|下载CSV

2.2.2 柱头4个相关性状遗传模型的建立

根据5类24种模型及各性状的次数分布, 求出各性状所有模型下的极大似然值和AIC值(数据未显示)。选AIC值最小及3个与之最为接近的4个模型进行适合性检验。结果表明, E1中STL性状MX2-ADI-AD模型的AIC值最小, 但PG-ADI、MX1-AD-ADI和MX2-ADI- ADI模型的AIC值与之相近, 故PG-ADI、MX1-AD- ADI、MX2-ADI-ADI和MX2-ADI-AD模型可作为STL的备选模型(表4)。应用与E1中STL相同的方法对其它性状进行备选模型的选择。2个环境下4个柱头性状备选模型的极大似然值和AIC值见表4

经适合性检验, E1中STL的4个备选模型20个适合性检验统计量均未达显著水平(表4), 但MX2-ADI- AD模型理论分布配合实际分布适合性的概率比PG-ADI、MX1-AD-ADI和MX2-ADI-ADI模型高(数据未显示), 表明MX2-ADI-AD模型比另外3个模型的适合性好。因此, 7001S/Z913S组合E1中STL的最佳遗传模型为MX2-ADI-AD, 表明STL在F2群体中表现出受两对加性-显性-上位性主基因+加性-显性多基因控制。对于E2中STL, PG-ADI和MX1-AD-ADI模型20个适合性检验统计量均有1个达显著水平; 而MX2-ADI- AD和MX2-AD-AD模型均未达显著水平, 但MX2- ADI-AD模型理论分布配合实际分布适合性的概率比MX2-AD-AD模型高, 表明MX2-ADI-AD模型的适合性好。因此, 7001S/Z913S组合E2中STL的最佳遗传模型为MX2-ADI-AD, 表明F2:3群体中STL也表现出受两对加性-显性-上位性主基因+加性-显性多基因控制。

Table 4
表4
表4水稻4个柱头相关性状备选模型配合表型分布的极大似然函数值(MLV)和AIC值(IECM算法)
Table 4Max log likelihood value (MLV) and Akaike’s Information Criterion (AIC) values of candidate models calculated with IECM method for four stigma related traits of rice
TraitEnvironmentCandidate modelMLV valueAIC valueTest of goodness-of-fita
Stigma lengthE1PG-ADI246.62-481.230/0/0/0/0
MX1-AD-ADI251.95-487.890/0/0/0/0
MX2-ADI-ADI257.05-490.090/0/0/0/0
MX2-ADI-AD256.33-494.660/0/0/0/0
E2PG-ADI210.90-409.810/0/0/1/0
MX1-AD-ADI210.90-407.800/0/0/1/0
MX2-ADI-AD211.65-397.300/0/0/0/0
MX2-AD-AD207.63-397.250/0/0/0/0
Style lengthE1MX2-ADI-ADI322.90-621.790/0/2/0/0
MX2-ADI-AD322.69-627.370/0/2/0/0
MX2-AD-AD316.56-623.120/1/1/1/0
MX2-EEAD-AD313.03-622.050/1/1/1/0
E21MG-A107.98-211.961/1/0/1/0
2MG-AD111.92-211.840/0/0/0/0
2MG-A111.21-214.410/0/0/0/0
MX1-A-AD112.06-214.110/0/0/0/0
The sum of stigma and style lengthE12MG-ADI90.19-158.380/0/0/1/0
MX1-AD-ADI92.18-168.370/0/0/1/0
MX2-ADI-ADI97.25-170.510/0/0/1/0
MX2-ADI-AD95.63-173.270/0/0/1/0
E22MG-EEAD-12.0332.050/0/1/0/0
MX1-A-AD-11.2932.591/1/1/1/0
MX2-AD-AD-2.1122.230/0/0/0/0
MX2-EEAD-AD-7.1026.190/0/0/0/0
Percentage of exserted stigmaE1MX2-ADI-ADI-1538.193100.380/0/2/0/0
MX2-ADI-AD-1538.183094.360/0/2/0/0
MX2-AD-AD-1540.163090.320/0/2/0/0
MX2-EEAD-AD-1545.893095.790/0/1/0/0
E22MG-AD-1425.362862.710/0/2/0/0
2MG-A-1426.262860.510/0/2/1/0
MX1-AD-AD-1423.532861.070/0/2/0/0
MX1-AEND-AD-1425.672861.340/0/2/0/0
a Five digitals in test of goodness-of-fit column denote numbers of significant statistic parameters among U12, U22, U32, nW2, and Dn. MG: Major gene model; PG: Polygene model; MX: Mixed major gene and polygene model; A: Additive effect; D: Dominance effect; I: Epistasis; E: Equal; N: Negative. Bold letter indicates the optimal model.
a 适合性检验中5个数字分别指在U12U22U32nW2Dn适合性检验中达到显著水平的统计量个数。MG: 主基因模型; PG: 多基因模型; MX: 主基因+多基因模型; A: 加性效应; D: 显性效应; I: 上位性; E: 等效; N: 负向。粗体表示最适模型。

新窗口打开|下载CSV

应用与STL相同的方法选择另外3个性状的最佳遗传模型。对于SYL, E1和E2中的最佳遗传模型分别为MX2-ADI-AD和2MG-AD, 表明SYL在2个不同的分离群体中均表现出受两对主基因控制, 但E1中表现为受两对加性-显性-上位性主基因+加性-显性多基因控制, 而E2中仅表现出受两对加性-显性主基因控制, 不存在多基因效应。对于TSSL, 两个环境中的最佳遗传模型分别为MX2-ADI-AD和MX2-EEAD-AD, 表明TSSL在F2群体中表现出受两对加性-显性-上位性主基因+加性-显性多基因控制, 而在F2:3群体中则表现出受两对等加性-显性主基因+加性-显性多基因控制。对于PES, E1中最佳遗传模型为MX2-EEAD- AD, 即在F2群体中PES表现出受两对等加性-显性主基因+加性-显性多基因控制; 而E2中PES的最佳遗传模型为MX1-AEND-AD, 即在F2:3群体中PES表现为受1对负等效加性-显性主基因+加性-显性多基因控制。4个柱头性状在各自最佳遗传模型下的理论分布拟合曲线与实际分布曲线见图4

图4

新窗口打开|下载原图ZIP|生成PPT
图4水稻7001S/Z913S组合F2和F2:3群体4个柱头性状的次数分布和拟合混合分布及其成分分布

(A), (B) F2和F2:3群体中柱头长度分布; (C), (D) F2和F2:3群体中花柱长度分布; (E), (F) F2和F2:3群体中柱花总长度分布; (G), (H) F2和F2:3群体中柱头外露率分布
Figure 4Frequency distribution, fitted mixed distribution and its component distribution for four stigma traits of F2 and F2:3 populations in the cross of rice 7001S/Z913S

(A), (B) Distribution in F2 and F2:3 populations of stigma length; (C), (D) Distribution in F2 and F2:3 populations of style length; (E), (F) Distribution in F2 and F2:3 populations of the sum of stigma and style length; (G), (H) Distribution in F2 and F2:3 populations of percentage of exserted stigma


2.2.3 柱头性状的遗传参数

我们分析了水稻4个柱头性状在F2和F2:3群体中各自最佳遗传模型下的遗传参数估计值(表5)。从一阶参数看, E1中(F2群体) STL, |da|+|db|=0.12, |ha|+|hb|= 0.22, |i|+|jab|+|jba|+|l|=0.40, |da|+|db|+|ha|+|hb|+|i|+ |jab|+|jba|+|l|=0.74, |[d]|+|[h]|=0.65; E2中(F2:3群体) |da|+|db|=0.003, |ha|+|hb|=0.10, |i|+|jab|+|jba|+|l|=0.38, |da|+|db|+|ha|+|hb|+|i|+|jab|+|jba|+|l|=0.48, |[d]|+|[h]|= 0.54, 表明STL在2个群体中均是主基因效应和多基因效应并重, 且均为主基因间的上位性效应最大, 显性效应次之, 加性效应较小。对于SYL, F2群体中|da|+ |db|=0.14, |ha|+|hb|=0.18, |i|+|jab|+|jba|+|l|=0.17, |da|+ |db|+|ha|+|hb|+|i|+|jab|+|jba|+|l|=0.49, |[d]|+|[h]|=0.41, 主基因效应和多基因效应基本一致, 且主基因中的加性、显性和上位性效应并重; 而E2中, |da|+|db|=0.25> |ha|+|hb|=0.045, 表明F2:3群体中主基因以加性效应为主。对于TSSL, F2群体|da|+|db|=0.16, |ha|+|hb|= 0.50, |i|+|jab|+|jba|+|l|=0.52, |da|+|db|+|ha|+|hb|+|i|+ |jab|+|jba|+|l|=1.18, |[d]|+|[h]|=1.04, 表明主基因效应和多基因效应并重, 而主基因中以显性效应和上位性效应为主; E2中|[d]|+|[h]|=0.60>|d|=0.26, 表明E2中TSSL以多基因效应为主。对于PES, F2群体|d|= 10.61<|[d]|+|[h]|=27.68, 而E2中|d|=17.87>|[d]|+|[h]|= 10.65, 表明在不同环境/群体中, PES的主基因效应和多基因效应均发挥一定作用。

从二阶遗传参数(表5)看, 水稻4个柱头相关性状在F2和F2:3群体中的主基因遗传率介于63.64%- 92.13%之间, 多基因遗传率介于17.63%-25.00%之间, 表明这4个柱头性状均以主基因遗传为主。

Table 5
表5
表5水稻4个柱头性状遗传参数估计值
Table 5Estimates of genetic parameters for four stigma traits of rice
Genetic parameterTrait
Stigma lengthStyle lengthThe sum of stigma and style lengthPercentage of exserted stigma
E1E2E1E2E1E2E1E2
MX2-ADI-
AD
MX2-ADI-
AD
MX2-ADI-
AD
2MG-ADMX2-ADI-
AD
MX2-EEAD-ADMX2-EEAD-ADMX1-AEND-AD
Univalent parameter
da(d)0.060.0020.110.050.14-0.26-10.61-17.87
db0.060.0010.03-0.200.02---
ha(h)-0.12-0.05-0.120.04-0.29---
hb-0.10-0.05-0.06-0.005-0.21---
i0.120.020.05-0.17---
jab0.090.0020.02-0.10---
jba-0.060.001-0.02--0.01---
l0.130.360.08-0.24---
[d]-0.45-0.30-0.24--0.590.063.01-10.51
[h]0.20-0.240.17-0.450.5424.670.14
Bivalent parameter
σ2p0.0200.0220.0140.0400.0530.089232.04325.28
σ2mg0.0130.0140.0100.0330.0390.082155.72216.11
σ2pg0.0050.005--0.010-40.9180.75
h2mg (%)65.0063.6471.4382.5073.5892.1367.1166.44
h2pg (%)25.0022.73--18.87-17.6324.82
d: Main gene additive effect value; da: Additive effect of the first pair of major genes; db: Additive effect of the second pair of major genes; h: Main gene dominant effect value; ha: Dominant effect of the first pair of major genes; hb: Dominant effect of the second pair of major genes; i: Epistatic effect value between da and db; jab: Epistatic effect value between da and hb; jba: Epistatic effect value between ha and db; l: Epistatic effect value between ha and hb; [d]: Additive effect of polygene; [h]: Dominant effect of polygene; σ2p: Phenotypic variance; σ2mg: Major gene variance; σ2pg: Polygene variance; h2mg(%): Heritability of major gene; h2pg(%): Heritability of polygene. - indicates the value is absent.
d: 主基因加性效应值; da: 第1对主基因的加性效应; db: 第2对主基因的加性效应; h: 主基因显性效应值; ha: 第1对主基因的显性效应; hb: 第2对主基因的显性效应; i: 加性×加性互作; jab: 加性×显性互作; jba: 显性×加性互作; l: 显性×显性互作; [d]: 多基因加性效应; [h]: 多基因显性效应; σ2p: 表型方差; σ2mg: 主基因方差; σ2pg: 多基因方差; h2mg(%): 主基因遗传率; h2pg(%): 多基因遗传率。-表示空缺。

新窗口打开|下载CSV

2.3 讨论

本研究对由粳型光温敏核不育系7001S和籼型温敏核不育系Z913S杂交衍生的F2和F2:3群体的4个柱头性状STL、SYL、TSSL和PES进行相关性分析。结果表明, 4个性状间的相关性系数介于0.274-0.897之间, 均表现出极显著正相关, 说明柱头性状是复杂的综合性状。其中STL、SYL和TSSL两两间的相关系数均达0.43以上, 呈紧密相关, 这与Dang等(2016)Zhou等(2017)利用不同水稻材料构成的自然群体进行分析所得结果一致, 表明STL、SYL和TSSL可能由1个或多个相同或紧密连锁的基因位点(QTL)控制。F2和F2:3群体中TSSL和PES间的相关系数分别为0.383和0.365, 呈极显著正相关, 这与前人的研究结果一致(刘强明, 2015; Zhou et al., 2017)。本研究还表明STL与PES间也表现极显著正相关。由于毛刷状柱头(柱头长度部分)是柱头接收外来花粉的器官, 因此柱头长度增加及柱头外露率提高必然导致水稻异交结实率增加, 从而促进杂交水稻制种产量增加(Miyata et al., 2007; 吴爽等, 2015)。

牛付安等(2012)同时利用主基因+多基因遗传模型和QTL定位的方法对水稻RIL群体穗角进行分析, 发现用两种方法检测到的主基因数量具有相对一致性, 两者可相互验证。本研究利用主基因+多基因模型中的SEA-G4F2和SEA-G4F3软件(曹锡文等, 2013)对4个柱头性状进行了遗传分析, 结果显示, STL、SYL和TSSL均由2对主基因控制, 除F2:3群体中SYL和TSSL的2对主基因分别表现为加性-显性效应和等加性-显性效应外, 其余均表现为加性-显性-上位性效应, 这也进一步从遗传层面解释了STL、SYL和TSSL间呈极显著相关的原因, 说明这3个性状极可能由相同的主效位点(QTL)控制。而2个世代中PES的最适模型并不一致, 分别为MX2-EEAD-AD和MX1-AEND-AD, 即F2群体中的PES表现为2对等加性-显性主基因控制, 而F2:3群体中仅检测到1对负向等效加性-显性主基因, 说明相比柱头长度相关性状, PES更易受环境因素的影响(Liu et al., 2019)。结合P1、P2和F1联合方差分析结果, 发现4个柱头性状均以基因型遗传为主, 但环境效应也对其产生显著(STL和PES)或极显著(SYL和TSSL)影响, 且PES同时受到基因型×环境互作效应的极显著影响, 从而导致2个环境中SYL、TSSL和PES检测到的主效基因数量以及主效基因间作用方式不同。本研究同时利用F2和F2:3群体在2个环境中对柱头相关性状进行遗传分析, 其结果可以互相验证, 具有一定的可靠性。即7001S/Z913S组合中的STL、SYL和TSSL可能由2个主效位点(QTL)控制, 且控制这3个性状的主效位点可能为相同位点, 同时这2个位点中有1-2个也是控制PES的主效位点。进一步结果需要通过后续的QTL定位与连锁分析进行验证。

目前, 对于柱头性状的研究主要集中于PES (Xiong et al., 1999; Uga et al., 2003; Yu et al., 2006; Miyata et al., 2007; Hu et al., 2009; Yan et al., 2009; 尹成等, 2014; Li et al., 2014; Rahman et al., 2016, 2017; 李威等, 2017; Zhang et al., 2018; Bakti and Tanaka, 2019; Liu et al., 2019), 而对柱头长度相关性状(STL (Marathi et al., 2015; Dang et al., 2016; Zhou et al., 2017)、SYL (Marathi et al., 2015; Dang et al., 2016, 2020; Zhou et al., 2017)和TSSL (Uga et al., 2003, 2010; Yan et al., 2009; 陈兰等, 2012; 刘强明, 2015; Liu et al., 2015; Marathi et al., 2015; Dang et al., 2016))的报道较少。因此, 对于4个柱头性状遗传效应的研究也主要集中于PES。从本研究的一阶遗传参数来看, PES以加性效应为主, 这与Yan等(2009)的研究结果一致。而STL、SYL和TSSL在不同群体中表现不尽相同。例如, STL在2个群体中均表现出以上位性效应为主, 加性效应和显性效应较小。对于SYL而言, F2群体中加性、显性和上位性效应并重, 而在F2:3群体中则表现出以加性效应为主。对于TSSL, F2群体中表现出以显性效应和上位性效应为主, 而在F2:3群体中则以加性效应为主, 这与刘强明(2015)利用CSSL群体分析得出TSSL以加性效应遗传为主的结果不尽一致, 表明柱头长度性状的遗传较PES更复杂。从二阶遗传参数来看, 4个性状在2个世代中的主基因遗传率介于63.64% (F2:3群体SYL)-92.13% (F2:3群体TSSL)之间, 多基因遗传率介于17.63% (F2群体PES)-25.00% (F2群体STL)之间, 表明这4个性状均以主基因遗传为主。但本研究同时也发现, 4个柱头性状中的多基因效应(加性效应和显性效应)也起较大作用, 如F2群体的TSSL, 其主基因效应(加性效应、显性效应和上位性效应)绝对值之和为1.18, 而其多基因效应(加性效应和显性效应)绝对值之和为1.04, 两者基本一致, 其它性状类似。以上结果说明柱头性状虽然属于数量性状, 受主效基因(主基因)和微效基因(多基因)共同控制, 但其同时又与水稻其它数量性状如株高(sd1) (Sasaki et al., 2002)、穗粒数(qSSP7) (Xing et al., 2008)和生育期(Ghd7) (Xue et al., 2008)存在差异, 即本研究中的4个柱头性状其主基因(主效基因)和多基因(微效基因)间的差异并不是很大, 而sd1qSSP7Ghd7等主效基因与之对应的微效基因相比其效应差异明显, 这也可能是导致当前柱头性状研究滞后的原因之一。在育种实践中, 籼型水稻的异交率远高于粳型, 尤其是在不育系方面, 这也是限制杂交粳稻和籼粳交杂交水稻推广种植的关键性因素。本研究利用核不育系籼粳交后代群体对4个柱头性状进行遗传解析, 为粳型不育系的改良提供了技术路线和理论基础。即育种家在高异交率粳型不育系选育过程中, 可将肉眼易辨的田间柱头外露率的直接观察与柱头长度性状的室内调查相结合, 通过筛选长柱头、高外露率进而提高粳型不育系的异交率。同时, 要统筹考虑主效基因和微效基因的影响, 及时开展早期有效的单株选择, 重点关注高代单株柱头性状的表现, 降低环境因素对柱头性状选择带来的干扰。4个柱头相关性状的主基因+多基因遗传分析是对其遗传组成、遗传规律特征及遗传参数进行全面剖析, 不仅可为粳型水稻柱头性状改良提供有益的指导, 也可为柱头性状的基因挖掘、功能分析和分子设计育种提供重要的理论依据。

责任编辑: 朱亚娜

参考文献 原文顺序
文献年度倒序
文中引用次数倒序
被引期刊影响因子

曹黎明, 程灿, 周继华, 储黄伟, 牛付安, 袁勤 (2018). 上海杂交粳稻产业发展与展望
中国种业 ( 9), 19-22.

[本文引用: 1]

曹锡文, 刘兵, 章元明 (2013). 植物数量性状分离分析Windows软件包SEA的研制
南京农业大学学报 36(6), 1-6.

[本文引用: 3]

陈兰, 张红, 张启武, 江建华, 王洋, 陈杰丽, 洪德林 (2012). 水稻6个异交相关性状的SSR关联分析
南京农业大学学报 35(2), 1-9.

[本文引用: 2]

冯常辉, 张友昌, 王孝刚, 张教海, 夏松波, 韩光明, 别墅, 秦鸿德 (2020). 陆地棉现蕾期和开花期性状的遗传分析
分子植物育种 18, 4747-4753.

[本文引用: 1]

冯云超, 晏庆九, 张芳魁, 霍仕平, 向振凡, 羊炼, 张兴端 (2019). 玉米果穗露顶主基因+多基因遗传模型及遗传效应
华北农学报 34(S1), 22-28.

[本文引用: 1]

盖钧镒 (2000). 试验统计方法. 北京: 中国农业出版社. pp. 99- 126, 157-189.
[本文引用: 1]

计慎敏, 张大兵 (2007). 水稻花器官特征决定以及数量控制的分子机制
植物学通报 24, 284-292.

[本文引用: 1]

江建华, 洪德林, 郭媛, 张启武 (2009). 粳稻穗角与谷粒性状的相关性及谷粒性状遗传分析
植物学报 44, 167-177.

DOI:10.3969/j.issn.1674-3466.2009.02.004 [本文引用: 1]
粳稻穗角小的品种产量高而品质差。谷粒性状与产量和品质都有关联。为培育产量与品质相协调的品种提供相关遗传信息, 测定了粳稻直立穗品种丙8979和弯曲穗品种C堡及其重组自交系349个株系的穗角和7个谷粒性状, 分析了穗角与谷粒性状之间的相关性, 并运用主基因+多基因混合遗传模型, 对7个谷粒性状进行了遗传分析。结果表明, 穗角与粒厚、长厚比和宽厚比均无显著相关, 而与千粒重、粒长、粒宽和长宽比均呈极显著正相关。7个谷粒性状均受2对主基因+多基因控制, 2对主基因的作用方式因性状而异。千粒重、粒长、长厚比和宽厚比4个性状以主基因遗传为主; 粒宽、粒厚和长宽比3个性状以多基因遗传为主。

江建华, 吴爽, 景春雨, 王德正 (2017). 高异交率水稻籼型温敏核不育系Z913S的选育
安徽农业科学 45(27), 33-34, 37.

[本文引用: 1]

李成荃, 许克农, 王守海, 罗彦长, 王德正 (1994). 粳型水稻光敏核不育系7001S的育性与利用研究
安徽农业科学 22, 11-15.

[本文引用: 1]

李威, 圣忠华, 朱子亮, 魏祥进, 石磊, 邬亚文, 唐绍清, 王建龙, 胡培松 (2017). 粳稻柱头外露率QTL定位
中国水稻科学 31, 23-30.

[本文引用: 2]

廖佩言, 刘景西, 何平, 汪文清 (1986). 水稻花器性状对异交结实影响的初步分析
农业科学导报 ( 1), 1-5.

[本文引用: 1]

刘强明 (2015). 水稻异交相关性状的QTL遗传剖析与柱头长度QTL qSTL3. 1的精细定位. 博士论文
南京: 南京农业大学. pp. 21-42.

[本文引用: 5]

罗伟雄, 李明, 陈军, 罗琼 (2011). 一个新的水稻花器官突变体的鉴定和基因定位
植物学报 46, 506-513.

[本文引用: 1]

牛付安, 刘健, 郭媛, 陈兰, 江建华, 洪德林 (2012). 4个环境下稳定表达的控制粳稻穗角性状的新位点
中国水稻科学 26, 409-416.

[本文引用: 1]

田露申, 牛应泽, 余青青, 郭世星, 柳丽 (2009). 甘蓝型油菜白花性状的主基因+多基因遗传分析
中国农业科学 42, 3987-3995.

[本文引用: 1]

吴爽, 江建华, 汤修竹, 王德正 (2015). 水稻温敏核不育系广茉S的异交特性研究
杂交水稻 30(3), 35-38.

[本文引用: 1]

解松峰, 吉万全, 王长有, 胡卫国, 李俊, 张耀元, 师晓曦, 张俊杰, 张宏, 陈春环 (2019). 小麦穗部性状的主基因+多基因混合遗传模型分析
中国农业科学 52, 4437-4452.

[本文引用: 1]

杨保汉 (1997). 不育系柱头外露率及其结实率研究
杂交水稻 12(1), 13-15.

[本文引用: 1]

杨振玉, 李志彬, 东丽, 朱崴, 蔡卓, 曲丽君, 华泽田 (2016). 中国杂交粳稻发展与展望
科学通报 61, 3770-3777.

[本文引用: 1]

尹成, 李平波, 高冠军, 张庆路, 罗利军, 何予卿 (2014). 水稻柱头外露率QTL定位
分子植物育种 12, 43-49.

[本文引用: 2]

袁隆平 (2010). 发展杂交水稻保障粮食安全
杂交水稻 25(S1), 1-2.

[本文引用: 1]

Bakti C, Tanaka J (2019). Detection of dominant QTLs for stigma exsertion ratio in rice derived from Oryza rufipogon accession ‘W0120’
Breed Sci 69, 143-150.

DOI:10.1270/jsbbs.18139URL [本文引用: 2]

Dang XJ, Liu EB, Liang YF, Liu QM, Breria CM, Hong DL (2016). QTL detection and elite alleles mining for stigma traits in Oryza sativa by association mapping
Front Plant Sci 7, 1188.

[本文引用: 8]

Dang XJ, Yang Y, Zhang YQ, Chen XG, Fan ZL, Liu QM, Ji J, Li DL, Li YH, Fang BJ, Wu ZX, Liu EB, Hu XX, Zhu SS, She D, Wang H, Li YL, Chen SQ, Wu YF, Hong DL (2020). OsSYL2 AA, an allele identified by gene-based association, increases style length in rice (Oryza sativa L.)
Plant J 104, 1491-1503.

DOI:10.1111/tpj.v104.6URL [本文引用: 2]

Hu SP, Zhou Y, Zhang L, Zhu XD, Wang ZG, Li L, Luo LJ, Zhou QM (2009). QTL analysis of floral traits of rice (Oryza sativa L.) under well-watered and drought stress conditions
Genes Genomics 31, 173-181.

DOI:10.1007/BF03191150URL [本文引用: 2]

Li PB, Feng FC, Zhang QL, Chao Y, Gao GJ, He YQ (2014). Genetic mapping and validation of quantitative trait loci for stigma exsertion rate in rice
Mol Breed 34, 2131-2138.

DOI:10.1007/s11032-014-0168-2URL [本文引用: 2]

Li SC, Li WB, Huang B, Cao XM, Zhou XY, Ye SM, Li CB, Gao FY, Zou T, Xie KL, Ren Y, Ai P, Tang TF, Li XM, Deng QM, Wang SQ, Zheng AP, Zhu J, Liu HN, Wang LX, Li P (2013). Natural variation in PTB1 regulates rice seed setting rate by controlling pollen tube growth
Nat Commun 4, 2793.

DOI:10.1038/ncomms3793URL [本文引用: 1]

Liu QM, Qin JC, Li TW, Liu EB, Fan DJ, Edzesi WM, Liu JH, Jiang JH, Liu XL, Xiao LJ, Liu LL, Hong DL (2015). Fine mapping and candidate gene analysis of qSTL3, a stigma length-conditioning locus in rice(Oryza sativa L.)
PLoS One 10, e0127938.

DOI:10.1371/journal.pone.0127938URL [本文引用: 3]

Liu Y, Zhang AN, Wang FM, Kong DY, Li MS, Bi JG, Zhang FY, Wang JH, Luo XX, Pan ZQ, Yu XQ, Liu GL, Luo LJ (2019). Fine mapping a quantitative trait locus, qSER-7, that controls stigma exsertion rate in rice(Oryza sativa L.)
Rice 12, 46.

DOI:10.1186/s12284-019-0304-zPMID:31289958 [本文引用: 4]
Stigma exsertion rate (SER) is a key determinant of outcrossing in hybrid rice seed production. A quantitative trait locus (QTL) for stigma exsertion rate in rice, qSER-7, has previously been detected on chromosome 7 by using a F population derived from two indica cytoplasmic male sterility (CMS) maintainers, Huhan 1B and II-32B.The chromosomal location of qSER-7 was precisely delimited by fine-scale mapping. Near-isogenic lines (NILs) were established, one of which isolated the locus in the qSER-7 line, which contains an introgressed segment of II-32B in the Huhan 1B genetic background, and exhibits a significantly higher stigma exsertion rate than that of the recurrent parent. Using 3192 individuals from the BCF segregation population, the QTL qSER-7 was narrowed down to a 28.4-kb region between the markers RM3859 and Indel4373 on chromosome 7. According to the rice genome annotation database, three genes were predicted within the target region. Real-time PCR analysis showed significantly higher expression levels of LOC_Os07g15370 and LOC_Os07g15390 in II-32B than in Huhan 1B. LOC_Os07g15370(OsNRAMP5) was a previously reported gene for Mn and Cd transporter. The stigma exertion rates of OsNRAMP5-overexpressing plants were significantly higher than that of wild type plants, in contrast, a T-DNA insertion mutant osnramp5 showed a lower stigma exertion rate.In the present study, the QTL qSER-7 was isolated to a region between the markers RM3859 and Indel4373. Two candidate genes were selected based on the expression difference between the two parents, which can facilitate the further cloning of the gene underlying the quantitative trait associated with qSER-7 as well as the marker-assisted transfer of desirable genes for stigma exsertion rate improvement in rice.

Marathi B, Ramos J, Hechanova SL, Oane RH, Jena KK (2015). SNP genotyping and characterization of pistil traits revealing a distinct phylogenetic relationship among the species of Oryza
Euphytica 201, 131-148.

DOI:10.1007/s10681-014-1213-2URL [本文引用: 7]

Miyata M, Yamamoto T, Komori T, Nitta N (2007). Marker- assisted selection and evaluation of the QTL for stigma exsertion under japonica rice genetic background
Theor Appl Genet 114, 539-548.

PMID:17131105 [本文引用: 5]
Stigma exsertion is one of the important traits which contribute to the efficient improvement of commercial seed production in hybrid rice. In order to understand the genetic factors involved in the stigma exsertion of an indica variety--IR24--a QTL analysis was conducted using the F2 population between a japonica variety--Koshihikari--and a breeding line showing exserted stigma selected from the backcross population between IR24 as a donor and japonica varieties. As a result, a highly significant QTL (qES3), which had been predicted in the recombinant inbred population of IR24, was confirmed at the centromeric region on chromosome 3. qES3 increases about 20% of the frequency of the exserted stigmas at the IR24 allele and explains about 32% of the total phenotypic variance. A QTL near-isogenic line for qES3 increased the frequency of the exserted stigma by 36% compared to that of Koshihikari in a field evaluation, which suggests that qES3 is a promising QTL for the development of a maternal line for hybrid rice.

Qian Q, Guo LB, Smith SM, Li JY (2016). Breeding high-yield superior quality hybrid super rice by rational design
Natl Sci Rev 3, 283-294.

DOI:10.1093/nsr/nww006URL [本文引用: 1]

Rahman MH, Yu P, Zhang YX, Sun LP, Wu WX, Shen XH, Zhan XD, Chen DB, Cao LY, Cheng SH (2016). Quantitative trait loci mapping of the stigma exertion rate and spikelet number per panicle in rice (Oryza sativa L.)
Genet Mol Res 15, gmr15048432.

[本文引用: 2]

Rahman MH, Zhang YX, Zhang KQ, Rahman MS, Barman HN, Riaz A, Chen YY, Wu WX, Zhan XD, Cao LY, Cheng SH (2017). Genetic dissection of the major quantitative trait locus (qSE11), and its validation as the major influence on the rate of stigma exsertion in rice(Oryza sativa L.)
Front Plant Sci 8, 1818.

DOI:10.3389/fpls.2017.01818URL [本文引用: 3]

Sasaki A, Ashikari M, Ueguchi-Tanaka M, Itoh H, Nishimura A, Swapan D, Ishiyama K, Saito T, Kobayashi M, Khush GS, Kitano H, Matsuoka M (2002). Green revolution: a mutant gibberellin-synthesis gene in rice
Nature 416, 701-702.

PMID:11961544 [本文引用: 1]
The chronic food shortage that was feared after the rapid expansion of the world population in the 1960s was averted largely by the development of a high-yielding semi-dwarf variety of rice known as IR8, the so-called rice 'green revolution'. The short stature of IR8 is due to a mutation in the plant's sd1 gene, and here we identify this gene as encoding an oxidase enzyme involved in the biosynthesis of gibberellin, a plant growth hormone. Gibberellin is also implicated in green-revolution varieties of wheat, but the reduced height of those crops is conferred by defects in the hormone's signalling pathway.

Takano-Kai N, Doi K, Yoshimura A(2011). GS3 participates in stigma exsertion as well as seed length in rice
Breed Sci 61, 244-250.

DOI:10.1270/jsbbs.61.244URL [本文引用: 1]

Uga Y, Fukuta Y, Cai HW, Iwata H, Ohsawa R, Morishima H, Fujimura T (2003). Mapping QTLs influencing rice floral morphology using recombinant inbred lines derived from a cross between Oryza sativa L. and Oryza rufipogon Griff
Theor Appl Genet 107, 218-226.

PMID:12845437 [本文引用: 5]
To understand the genetic basis of floral traits associated with the mating system in rice, we analyzed pistil, stamen and glume traits using a recombinant inbred line population, derived from a cross between an Asian cultivated rice ( Oryza sativa L.), Pei-kuh, and a wild rice ( Oryza rufipogon Griff.), W1944. Quantitative trait loci (QTLs) affecting floral morphology were detected by composite interval mapping using a linkage map constructed using 147 markers, mostly RFLPs. A total of 7, 4, 14 and 6 QTLs were detected for traits related to pistil, stamen, and size and shape of the glume, respectively. Comparison of 31 QTLs affecting these organs revealed ten QTLs affecting the different organs in four adjacent regions on chromosomes 2, 4, 5 and 10, but most QTLs (68%) were located separately on the whole chromosomes. Although four QTLs for stigma breadth, anther length and thickness of lemma and palea explained more than 25% of the total phenotypic variance, most QTLs (87%) had smaller effects. These results suggest that quantitative variation observed for pistil, stamen and glume traits is controlled by several distinct genes with small effects.

Uga Y, Siangliw M, Nagamine T, Ohsawa R, Fujimura T, Fukuta Y (2010). Comparative mapping of QTLs determining glume, pistil and stamen sizes in cultivated rice ( Oryza sativa L.)
Plant Breed 129, 657-669.

DOI:10.1111/j.1439-0523.2009.01765.xURL [本文引用: 4]

Virmani SS, Athwal DS (1973). Genetic variability in floral characteristics influencing outcrossing in Oryza sativa L
Crop Sci 13, 66-67.

DOI:10.2135/cropsci1973.0011183X001300010019xURL [本文引用: 1]

Wang SK, Wu K, Yuan QB, Liu XY, Liu ZB, Lin XY, Zeng RZ, Zhu HT, Dong GJ, Qian Q, Zhang GQ, Fu XD (2012). Control of grain size, shape and quality by OsSPL16 in rice
Nat Genet 44, 950-955.

DOI:10.1038/ng.2327URL [本文引用: 1]

Xing YZ, Tang WJ, Xue WY, Xu CG, Zhang QF (2008). Fine mapping of a major quantitative trait loci, qSSP7, controlling the number of spikelets per panicle as a single Mendelian factor in rice
Theor Appl Genet 116, 789-796.

DOI:10.1007/s00122-008-0711-9PMID:18219477 [本文引用: 1]
In our previous studies, one putative QTL affecting number of spikelets per panicle (SPP) was identified in the pericentromeric region of rice chromosome 7 using a recombinant inbred population. In order to define the QTL (qSPP7), RI50, a recombinant inbred line with 70% of genetic background same as the female parent of Zhenshan 97, was selected to produce near-isogenic lines for the target region in the present study. In a BC(2)F(2) population consisting of 190 plants, the frequency distribution of SPP was shown to be discontinuous and followed the expected Mendelian ratios (1:2:1 by progeny test) for single locus segregation. qSPP7 was mapped to a 0.4 cM region between SSR marker RM3859 and RFLP marker C39 based on tests of the BC(2)F(2) population and its progeny. Its additive and dominant effects on SPP were 51.1 and 24.9 spikelets, respectively. Of great interest, the QTL region also had effects on grain yield per plant (YD), 1,000 grain weight (GW), tillers per plant (TPP) and seed setting ratio (SR). Significant correlations were observed between SPP and YD (r = 0.66) and between SPP and SR (r = -0.29) in the progeny test. 1082 extremely small panicle plants of a BC(3)F(2) population containing 8,400 individuals were further used to fine map the QTL. It turns out that qSPP7 co-segregated with two markers, RM5436 and RM5499 spanning a physical distance of 912.4 kb. Overall results suggested that recombination suppression occurred in the region and positional cloning strategy is infeasible for qSPP7 isolation. The higher grain yield of Minghui 63 homozygote as compared to the heterozygote suggested that Minghui 63 homozygote at qSPP7 in hybrid rice could further improve its yield.

Xiong LX, Liu KD, Dai XK, Xu CG, Zhang Q (1999). Identification of genetic factors controlling domestication-related traits of rice using an F2 population of a cross between Oryza sativa and O. rufipogon
Theor Appl Genet 98, 243-251.

DOI:10.1007/s001220051064URL [本文引用: 2]

Xue WY, Xing YZ, Weng XY, Zhao Y, Tang WJ, Wang L, Zhou HJ, Yu SB, Xu CG, Li XH, Zhang QF (2008). Na- tural variation in Ghd7 is an important regulator of heading date and yield potential in rice
Nat Genet 40, 761-767.

DOI:10.1038/ng.143URL [本文引用: 1]

Yan WG, Li Y, Agrama HA, Luo DG, Gao FY, Lu XJ, Ren GJ (2009). Association mapping of stigma and spikelet characteristics in rice (Oryza sativa L.)
Mol Breed 24, 277-292.

DOI:10.1007/s11032-009-9290-yURL [本文引用: 5]

Yu XQ, Mei HW, Luo LJ, Liu GL, Liu HY, Zou GH, Hu SP, Li MS, Wu JH (2006). Dissection of additive, epistatic effect and Q×E interaction of quantitative trait loci influencing stigma exsertion under water stress in rice
Acta Genet Sin 33, 542-550.

DOI:10.1016/S0379-4172(06)60083-8URL [本文引用: 2]

Zhang KQ, Zhang YX, Wu WX, Zhan XD, Bakr Anis G, Rahman MH, Hong YB, Riaz A, Zhu AK, Cao YR, Sun LP, Yang ZF, Yang QQ, Cao LY, Cheng SH (2018). qSE7 is a major quantitative trait locus (QTL) influencing stigma exsertion rate in rice (Oryza sativa L.)
Sci Rep 8, 14523.

DOI:10.1038/s41598-018-32629-2URL [本文引用: 3]

Zheng AP, Lin RM, Zhang DH, Qin PG, Xu LZ, Ai P, Ding L, Wang YR, Chen Y, Liu Y, Sun ZG, Feng HT, Liang XX, Fu RT, Tang CQ, Li Q, Zhang J, Xie ZL, Deng QM, Li SC, Wang SQ, Zhu J, Wang LX, Liu HN, Li P (2013). The evolution and pathogenic mechanisms of the rice sheath blight pathogen
Nat Commun 4, 1424.

DOI:10.1038/ncomms2427URL [本文引用: 1]

Zhou F, Lin QB, Zhu LH, Ren YL, Zhou KN, Shabek N, Wu FQ, Mao HB, Dong W, Gan L, Ma WW, Gao H, Chen J, Yang C, Wang D, Tan JJ, Zhang X, Guo XP, Wang JL, Jiang L, Liu X, Chen WQ, Chu JF, Yan CY, Ueno K, Ito S, Asami T, Cheng ZJ, Wang J, Lei CL, Zhai HQ, Wu CY, Wang HY, Zheng N, Wan JM (2013). D14-SCF D3- dependent degradation of D53 regulates strigolactone signaling
Nature 504, 406-410.

DOI:10.1038/nature12878URL [本文引用: 1]

Zhou H, Li PB, Xie WB, Hussain S, Li YB, Xia D, Zhao H, Sun SY, Chen JX, Ye H, Hou J, Zhao D, Gao GJ, Zhang QL, Wang GW, Lian XM, Xiao JH, Yu SB, Li XH, He YQ (2017). Genome-wide association analyses reveal the genetic basis of stigma exsertion in rice
Mol Plant 10, 634-644.

DOI:S1674-2052(17)30002-3PMID:28110091 [本文引用: 9]
Stigma exsertion, a key determinant of the rice mating system, greatly contributes to the application of heterosis in rice. Although a few quantitative trait loci associated with stigma exsertion have been fine mapped or cloned, the underlying genetic architecture remains unclear. We performed a genome-wide association study on stigma exsertion and related floral traits using 6.5 million SNPs characterized in 533 diverse accessions of Oryza sativa. We identified 23 genomic loci that are significantly associated with stigma exsertion and related traits, three of which are co-localized with three major grain size genes GS3, GW5, and GW2. Further analyses indicated that these three genes affected the stigma exsertion by controlling the size and shape of the spikelet and stigma. Combinations of GS3 and GW5 largely defined the levels of stigma exsertion and related traits. Selections of these two genes resulted in specific distributions of floral traits among subpopulations of O.?sativa. The low stigma exsertion combination gw5GS3 existed in half of the cultivated rice varieties; therefore, introducing the GW5gs3 combination into male sterile lines is of high potential for improving the seed production of hybrid rice.Copyright ? 2017 The Author. Published by Elsevier Inc. All rights reserved.
上海杂交粳稻产业发展与展望
1
2018

... 水稻(Oryza sativa)是最主要的粮食作物, 世界一半以上的人口以稻米为主食(袁隆平, 2010).始于我国20世纪70年代的杂交水稻较同熟期常规稻增产20%以上, 杂交水稻的推广种植使水稻生产力大幅提升(Qian et al., 2016).当前, 我国杂交水稻年种植面积约1.67×107 hm2, 以杂交籼稻为主, 而杂交粳稻的种植面积不足杂交水稻种植面积的3% (曹黎明等, 2018).制种产量低是制约杂交粳稻发展的重要因素, 提高粳型不育系的异交结实率是提高杂交粳稻制种产量的关键环节(杨振玉等, 2016).异交结实率主要取决于水稻花器性状和开花习性, 花器性状主要包括柱头长度(stigma length, STL)、花柱长度(style length, SYL)、柱头外露率(percentage of exserted stigma, PES)和开颖角度(glume opening angle, GOA)等(计慎敏和张大兵, 2007; 罗伟雄等, 2011).廖佩言等(1986)研究发现, 柱头-花柱总长度(以下简称柱花总长度) (the sum of stigma and style length, TSSL)和柱头单外露率对异交结实率的贡献率分别为17.86%和7.9%.杨保汉(1997)研究表明, 柱头外露率和制种产量呈极显著正相关, 不育系的柱头外露率每增加1个百分点, 其异交结实率可提高0.74%- 0.92%, 制种产量可增加47-68 kg?hm-2.可见, 柱头性状与水稻异交结实率密切相关. ...

植物数量性状分离分析Windows软件包SEA的研制
3
2013

... 本研究以团队自行选育的短柱头、低外露率的粳型光温敏核不育系7001S (李成荃等, 1994)为母本, 以长柱头、高外露率的籼型温敏核不育系Z913S (江建华等, 2017)为父本进行杂交、自交, 以构建的7001S/Z913S F1、F2和F2:3群体为研究对象, 对安徽庐江和海南陵水2个环境下的柱头长度、花柱长度、柱花总长度和柱头外露率4个性状间的相关性进行分析, 同时利用广泛应用于水稻(江建华等, 2009)、油菜(Brassica campestris) (田露申等, 2009)、小麦(Triticum aestivum) (解松峰等, 2019)、玉米(Zea mays) (冯云超等, 2019)和野棉花(Anemone vitifolia) (冯常辉等, 2020)等各种农作物的主基因+多基因混合模型(曹锡文等, 2013)对2个世代的4个柱头性状进行遗传分析, 旨在揭示柱头性状间的相关性及其遗传基础, 为水稻柱头性状的QTL定位和全基因组关联分析提供互补验证, 同时也为利用籼稻中柱头相关性状优异基因改良粳稻柱头性状提供理论基础, 从而为创制长柱头、高柱头外露率的粳型水稻温敏核不育系提供技术指导. ...

... F2和F2:3群体4个柱头相关性状的次数分布按照盖钧镒(2000)的方法进行整理.采用曹锡文等(2013)开发的植物数量性状分离分析软件SEA-G4F2 (P1、P2、F1和F2)和SEA-G4F3 (P1、P2、F1和F2:3)中的极大似然法和IECM算法估算2个世代4个柱头相关性状, 获得5类24种遗传模型的极大对数似然函数值和AIC (Akaike’s Information Criterion)值.根据最佳模型选择原则, AIC值最小的模型为相对最适模型, 当出现与相对最适模型AIC值接近的几个模型时, 这几个模型均作为备选模型, 此时需通过样本分布与理论分布间的均匀性检验和Kolmogorov-Smirnov检验来比较各备选模型适合性概率大小, 从而筛选出最适模型, 同时得出最适模型下各成分分布参数.其中主基因遗传率h2mg(%)=σ2mg/σ2p; 多基因遗传率h2pg (%)=σ2pg/σ2p. ...

... 牛付安等(2012)同时利用主基因+多基因遗传模型和QTL定位的方法对水稻RIL群体穗角进行分析, 发现用两种方法检测到的主基因数量具有相对一致性, 两者可相互验证.本研究利用主基因+多基因模型中的SEA-G4F2和SEA-G4F3软件(曹锡文等, 2013)对4个柱头性状进行了遗传分析, 结果显示, STL、SYL和TSSL均由2对主基因控制, 除F2:3群体中SYL和TSSL的2对主基因分别表现为加性-显性效应和等加性-显性效应外, 其余均表现为加性-显性-上位性效应, 这也进一步从遗传层面解释了STL、SYL和TSSL间呈极显著相关的原因, 说明这3个性状极可能由相同的主效位点(QTL)控制.而2个世代中PES的最适模型并不一致, 分别为MX2-EEAD-AD和MX1-AEND-AD, 即F2群体中的PES表现为2对等加性-显性主基因控制, 而F2:3群体中仅检测到1对负向等效加性-显性主基因, 说明相比柱头长度相关性状, PES更易受环境因素的影响(Liu et al., 2019).结合P1、P2和F1联合方差分析结果, 发现4个柱头性状均以基因型遗传为主, 但环境效应也对其产生显著(STL和PES)或极显著(SYL和TSSL)影响, 且PES同时受到基因型×环境互作效应的极显著影响, 从而导致2个环境中SYL、TSSL和PES检测到的主效基因数量以及主效基因间作用方式不同.本研究同时利用F2和F2:3群体在2个环境中对柱头相关性状进行遗传分析, 其结果可以互相验证, 具有一定的可靠性.即7001S/Z913S组合中的STL、SYL和TSSL可能由2个主效位点(QTL)控制, 且控制这3个性状的主效位点可能为相同位点, 同时这2个位点中有1-2个也是控制PES的主效位点.进一步结果需要通过后续的QTL定位与连锁分析进行验证. ...

水稻6个异交相关性状的SSR关联分析
2
2012

... 柱头性状主要包括柱头长度、花柱长度、柱花总长度和柱头外露率(单外露率、双外露率和总外露率)等.研究发现, 柱头性状间存在紧密联系, 如柱花总长度与柱头外露率呈显著(Virmani and Athwal, 1973; Miyata et al., 2007; Takano-Kai et al., 2011)或极显著(刘强明, 2015; Zhou et al., 2017)正相关, 柱头长度、花柱长度和柱花总长度间也表现出极显著正相关(Dang et al., 2016; Zhou et al., 2017).但当前对于柱头性状的研究远远落后于水稻其它性状(如米质性状) (Wang et al., 2012)、农艺性状(Li et al., 2013; Zhou et al., 2013)以及抗性(Zheng et al., 2013).目前, 对柱头性状的研究多集中于柱头外露率的QTL定位, 研究者利用不同群体检测到112个控制柱头外露率的QTLs (Xiong et al., 1999; Uga et al., 2003; Yu et al., 2006; Miyata et al., 2007; Hu et al., 2009; Yan et al., 2009; Li et al., 2014; 尹成等, 2014; Rahman et al., 2016, 2017; 李威等, 2017; Zhang et al., 2018; Bakti and Tanaka, 2019; Liu et al., 2019), 而其中仅3个QTLs (qSE7 (Rahman et al., 2017)、qSE11 (Zhang et al., 2018)和qSER-7 (Liu et al., 2019))被精细定位.对于柱头长度相关性状的报道则较少.研究者利用重组自交系(recombination inbred line, RIL) (Uga et al., 2003, 2010), F2、回交重组自交系(backcross inbred line, BIL)和双单倍体(doubled haploid line, DH)群体(Uga et al., 2010)以及自然群体(Yan et al., 2009; Marathi et al., 2015; Dang et al., 2016; Zhou et al., 2017)在水稻的11条染色体(除第11号染色体外)上检测到28个控制柱头长度的QTLs, 在水稻第1、2、3、4、6、7、10和11号染色体上检测到21个控制花柱长度的QTLs (Uga et al., 2003, 2010; Marathi et al., 2015; Dang et al., 2016; Zhou et al., 2017), 在水稻的9条染色体(除第8、9和10号染色体外)上检测到16个控制柱花总长度的QTLs (陈兰等, 2012; 刘强明, 2015; Liu et al., 2015; Marathi et al., 2015; Dang et al., 2016).仅见Liu等(2015)qSTL3精细定位于水稻第3号染色体短臂19.8 kb区间, Dang等(2020)将控制花柱长度的基因OsSYL2AA克隆.尚未见柱头性状基因功能分析等深层次的研究报道, 说明当前对于柱头性状的研究少而浅, 这可能正是导致至今未见分子标记辅助选择(marked-assisted selection, MAS)选育长柱头、高外露率不育系等育种材料报道的主要原因. ...

... 目前, 对于柱头性状的研究主要集中于PES (Xiong et al., 1999; Uga et al., 2003; Yu et al., 2006; Miyata et al., 2007; Hu et al., 2009; Yan et al., 2009; 尹成等, 2014; Li et al., 2014; Rahman et al., 2016, 2017; 李威等, 2017; Zhang et al., 2018; Bakti and Tanaka, 2019; Liu et al., 2019), 而对柱头长度相关性状(STL (Marathi et al., 2015; Dang et al., 2016; Zhou et al., 2017)、SYL (Marathi et al., 2015; Dang et al., 2016, 2020; Zhou et al., 2017)和TSSL (Uga et al., 2003, 2010; Yan et al., 2009; 陈兰等, 2012; 刘强明, 2015; Liu et al., 2015; Marathi et al., 2015; Dang et al., 2016))的报道较少.因此, 对于4个柱头性状遗传效应的研究也主要集中于PES.从本研究的一阶遗传参数来看, PES以加性效应为主, 这与Yan等(2009)的研究结果一致.而STL、SYL和TSSL在不同群体中表现不尽相同.例如, STL在2个群体中均表现出以上位性效应为主, 加性效应和显性效应较小.对于SYL而言, F2群体中加性、显性和上位性效应并重, 而在F2:3群体中则表现出以加性效应为主.对于TSSL, F2群体中表现出以显性效应和上位性效应为主, 而在F2:3群体中则以加性效应为主, 这与刘强明(2015)利用CSSL群体分析得出TSSL以加性效应遗传为主的结果不尽一致, 表明柱头长度性状的遗传较PES更复杂.从二阶遗传参数来看, 4个性状在2个世代中的主基因遗传率介于63.64% (F2:3群体SYL)-92.13% (F2:3群体TSSL)之间, 多基因遗传率介于17.63% (F2群体PES)-25.00% (F2群体STL)之间, 表明这4个性状均以主基因遗传为主.但本研究同时也发现, 4个柱头性状中的多基因效应(加性效应和显性效应)也起较大作用, 如F2群体的TSSL, 其主基因效应(加性效应、显性效应和上位性效应)绝对值之和为1.18, 而其多基因效应(加性效应和显性效应)绝对值之和为1.04, 两者基本一致, 其它性状类似.以上结果说明柱头性状虽然属于数量性状, 受主效基因(主基因)和微效基因(多基因)共同控制, 但其同时又与水稻其它数量性状如株高(sd1) (Sasaki et al., 2002)、穗粒数(qSSP7) (Xing et al., 2008)和生育期(Ghd7) (Xue et al., 2008)存在差异, 即本研究中的4个柱头性状其主基因(主效基因)和多基因(微效基因)间的差异并不是很大, 而sd1qSSP7Ghd7等主效基因与之对应的微效基因相比其效应差异明显, 这也可能是导致当前柱头性状研究滞后的原因之一.在育种实践中, 籼型水稻的异交率远高于粳型, 尤其是在不育系方面, 这也是限制杂交粳稻和籼粳交杂交水稻推广种植的关键性因素.本研究利用核不育系籼粳交后代群体对4个柱头性状进行遗传解析, 为粳型不育系的改良提供了技术路线和理论基础.即育种家在高异交率粳型不育系选育过程中, 可将肉眼易辨的田间柱头外露率的直接观察与柱头长度性状的室内调查相结合, 通过筛选长柱头、高外露率进而提高粳型不育系的异交率.同时, 要统筹考虑主效基因和微效基因的影响, 及时开展早期有效的单株选择, 重点关注高代单株柱头性状的表现, 降低环境因素对柱头性状选择带来的干扰.4个柱头相关性状的主基因+多基因遗传分析是对其遗传组成、遗传规律特征及遗传参数进行全面剖析, 不仅可为粳型水稻柱头性状改良提供有益的指导, 也可为柱头性状的基因挖掘、功能分析和分子设计育种提供重要的理论依据. ...

陆地棉现蕾期和开花期性状的遗传分析
1
2020

... 本研究以团队自行选育的短柱头、低外露率的粳型光温敏核不育系7001S (李成荃等, 1994)为母本, 以长柱头、高外露率的籼型温敏核不育系Z913S (江建华等, 2017)为父本进行杂交、自交, 以构建的7001S/Z913S F1、F2和F2:3群体为研究对象, 对安徽庐江和海南陵水2个环境下的柱头长度、花柱长度、柱花总长度和柱头外露率4个性状间的相关性进行分析, 同时利用广泛应用于水稻(江建华等, 2009)、油菜(Brassica campestris) (田露申等, 2009)、小麦(Triticum aestivum) (解松峰等, 2019)、玉米(Zea mays) (冯云超等, 2019)和野棉花(Anemone vitifolia) (冯常辉等, 2020)等各种农作物的主基因+多基因混合模型(曹锡文等, 2013)对2个世代的4个柱头性状进行遗传分析, 旨在揭示柱头性状间的相关性及其遗传基础, 为水稻柱头性状的QTL定位和全基因组关联分析提供互补验证, 同时也为利用籼稻中柱头相关性状优异基因改良粳稻柱头性状提供理论基础, 从而为创制长柱头、高柱头外露率的粳型水稻温敏核不育系提供技术指导. ...

玉米果穗露顶主基因+多基因遗传模型及遗传效应
1
2019

... 本研究以团队自行选育的短柱头、低外露率的粳型光温敏核不育系7001S (李成荃等, 1994)为母本, 以长柱头、高外露率的籼型温敏核不育系Z913S (江建华等, 2017)为父本进行杂交、自交, 以构建的7001S/Z913S F1、F2和F2:3群体为研究对象, 对安徽庐江和海南陵水2个环境下的柱头长度、花柱长度、柱花总长度和柱头外露率4个性状间的相关性进行分析, 同时利用广泛应用于水稻(江建华等, 2009)、油菜(Brassica campestris) (田露申等, 2009)、小麦(Triticum aestivum) (解松峰等, 2019)、玉米(Zea mays) (冯云超等, 2019)和野棉花(Anemone vitifolia) (冯常辉等, 2020)等各种农作物的主基因+多基因混合模型(曹锡文等, 2013)对2个世代的4个柱头性状进行遗传分析, 旨在揭示柱头性状间的相关性及其遗传基础, 为水稻柱头性状的QTL定位和全基因组关联分析提供互补验证, 同时也为利用籼稻中柱头相关性状优异基因改良粳稻柱头性状提供理论基础, 从而为创制长柱头、高柱头外露率的粳型水稻温敏核不育系提供技术指导. ...

1
2000

... F2和F2:3群体4个柱头相关性状的次数分布按照盖钧镒(2000)的方法进行整理.采用曹锡文等(2013)开发的植物数量性状分离分析软件SEA-G4F2 (P1、P2、F1和F2)和SEA-G4F3 (P1、P2、F1和F2:3)中的极大似然法和IECM算法估算2个世代4个柱头相关性状, 获得5类24种遗传模型的极大对数似然函数值和AIC (Akaike’s Information Criterion)值.根据最佳模型选择原则, AIC值最小的模型为相对最适模型, 当出现与相对最适模型AIC值接近的几个模型时, 这几个模型均作为备选模型, 此时需通过样本分布与理论分布间的均匀性检验和Kolmogorov-Smirnov检验来比较各备选模型适合性概率大小, 从而筛选出最适模型, 同时得出最适模型下各成分分布参数.其中主基因遗传率h2mg(%)=σ2mg/σ2p; 多基因遗传率h2pg (%)=σ2pg/σ2p. ...

水稻花器官特征决定以及数量控制的分子机制
1
2007

... 水稻(Oryza sativa)是最主要的粮食作物, 世界一半以上的人口以稻米为主食(袁隆平, 2010).始于我国20世纪70年代的杂交水稻较同熟期常规稻增产20%以上, 杂交水稻的推广种植使水稻生产力大幅提升(Qian et al., 2016).当前, 我国杂交水稻年种植面积约1.67×107 hm2, 以杂交籼稻为主, 而杂交粳稻的种植面积不足杂交水稻种植面积的3% (曹黎明等, 2018).制种产量低是制约杂交粳稻发展的重要因素, 提高粳型不育系的异交结实率是提高杂交粳稻制种产量的关键环节(杨振玉等, 2016).异交结实率主要取决于水稻花器性状和开花习性, 花器性状主要包括柱头长度(stigma length, STL)、花柱长度(style length, SYL)、柱头外露率(percentage of exserted stigma, PES)和开颖角度(glume opening angle, GOA)等(计慎敏和张大兵, 2007; 罗伟雄等, 2011).廖佩言等(1986)研究发现, 柱头-花柱总长度(以下简称柱花总长度) (the sum of stigma and style length, TSSL)和柱头单外露率对异交结实率的贡献率分别为17.86%和7.9%.杨保汉(1997)研究表明, 柱头外露率和制种产量呈极显著正相关, 不育系的柱头外露率每增加1个百分点, 其异交结实率可提高0.74%- 0.92%, 制种产量可增加47-68 kg?hm-2.可见, 柱头性状与水稻异交结实率密切相关. ...

粳稻穗角与谷粒性状的相关性及谷粒性状遗传分析
1
2009

... 本研究以团队自行选育的短柱头、低外露率的粳型光温敏核不育系7001S (李成荃等, 1994)为母本, 以长柱头、高外露率的籼型温敏核不育系Z913S (江建华等, 2017)为父本进行杂交、自交, 以构建的7001S/Z913S F1、F2和F2:3群体为研究对象, 对安徽庐江和海南陵水2个环境下的柱头长度、花柱长度、柱花总长度和柱头外露率4个性状间的相关性进行分析, 同时利用广泛应用于水稻(江建华等, 2009)、油菜(Brassica campestris) (田露申等, 2009)、小麦(Triticum aestivum) (解松峰等, 2019)、玉米(Zea mays) (冯云超等, 2019)和野棉花(Anemone vitifolia) (冯常辉等, 2020)等各种农作物的主基因+多基因混合模型(曹锡文等, 2013)对2个世代的4个柱头性状进行遗传分析, 旨在揭示柱头性状间的相关性及其遗传基础, 为水稻柱头性状的QTL定位和全基因组关联分析提供互补验证, 同时也为利用籼稻中柱头相关性状优异基因改良粳稻柱头性状提供理论基础, 从而为创制长柱头、高柱头外露率的粳型水稻温敏核不育系提供技术指导. ...

高异交率水稻籼型温敏核不育系Z913S的选育
1
2017

... 本研究以团队自行选育的短柱头、低外露率的粳型光温敏核不育系7001S (李成荃等, 1994)为母本, 以长柱头、高外露率的籼型温敏核不育系Z913S (江建华等, 2017)为父本进行杂交、自交, 以构建的7001S/Z913S F1、F2和F2:3群体为研究对象, 对安徽庐江和海南陵水2个环境下的柱头长度、花柱长度、柱花总长度和柱头外露率4个性状间的相关性进行分析, 同时利用广泛应用于水稻(江建华等, 2009)、油菜(Brassica campestris) (田露申等, 2009)、小麦(Triticum aestivum) (解松峰等, 2019)、玉米(Zea mays) (冯云超等, 2019)和野棉花(Anemone vitifolia) (冯常辉等, 2020)等各种农作物的主基因+多基因混合模型(曹锡文等, 2013)对2个世代的4个柱头性状进行遗传分析, 旨在揭示柱头性状间的相关性及其遗传基础, 为水稻柱头性状的QTL定位和全基因组关联分析提供互补验证, 同时也为利用籼稻中柱头相关性状优异基因改良粳稻柱头性状提供理论基础, 从而为创制长柱头、高柱头外露率的粳型水稻温敏核不育系提供技术指导. ...

粳型水稻光敏核不育系7001S的育性与利用研究
1
1994

... 本研究以团队自行选育的短柱头、低外露率的粳型光温敏核不育系7001S (李成荃等, 1994)为母本, 以长柱头、高外露率的籼型温敏核不育系Z913S (江建华等, 2017)为父本进行杂交、自交, 以构建的7001S/Z913S F1、F2和F2:3群体为研究对象, 对安徽庐江和海南陵水2个环境下的柱头长度、花柱长度、柱花总长度和柱头外露率4个性状间的相关性进行分析, 同时利用广泛应用于水稻(江建华等, 2009)、油菜(Brassica campestris) (田露申等, 2009)、小麦(Triticum aestivum) (解松峰等, 2019)、玉米(Zea mays) (冯云超等, 2019)和野棉花(Anemone vitifolia) (冯常辉等, 2020)等各种农作物的主基因+多基因混合模型(曹锡文等, 2013)对2个世代的4个柱头性状进行遗传分析, 旨在揭示柱头性状间的相关性及其遗传基础, 为水稻柱头性状的QTL定位和全基因组关联分析提供互补验证, 同时也为利用籼稻中柱头相关性状优异基因改良粳稻柱头性状提供理论基础, 从而为创制长柱头、高柱头外露率的粳型水稻温敏核不育系提供技术指导. ...

粳稻柱头外露率QTL定位
2
2017

... 柱头性状主要包括柱头长度、花柱长度、柱花总长度和柱头外露率(单外露率、双外露率和总外露率)等.研究发现, 柱头性状间存在紧密联系, 如柱花总长度与柱头外露率呈显著(Virmani and Athwal, 1973; Miyata et al., 2007; Takano-Kai et al., 2011)或极显著(刘强明, 2015; Zhou et al., 2017)正相关, 柱头长度、花柱长度和柱花总长度间也表现出极显著正相关(Dang et al., 2016; Zhou et al., 2017).但当前对于柱头性状的研究远远落后于水稻其它性状(如米质性状) (Wang et al., 2012)、农艺性状(Li et al., 2013; Zhou et al., 2013)以及抗性(Zheng et al., 2013).目前, 对柱头性状的研究多集中于柱头外露率的QTL定位, 研究者利用不同群体检测到112个控制柱头外露率的QTLs (Xiong et al., 1999; Uga et al., 2003; Yu et al., 2006; Miyata et al., 2007; Hu et al., 2009; Yan et al., 2009; Li et al., 2014; 尹成等, 2014; Rahman et al., 2016, 2017; 李威等, 2017; Zhang et al., 2018; Bakti and Tanaka, 2019; Liu et al., 2019), 而其中仅3个QTLs (qSE7 (Rahman et al., 2017)、qSE11 (Zhang et al., 2018)和qSER-7 (Liu et al., 2019))被精细定位.对于柱头长度相关性状的报道则较少.研究者利用重组自交系(recombination inbred line, RIL) (Uga et al., 2003, 2010), F2、回交重组自交系(backcross inbred line, BIL)和双单倍体(doubled haploid line, DH)群体(Uga et al., 2010)以及自然群体(Yan et al., 2009; Marathi et al., 2015; Dang et al., 2016; Zhou et al., 2017)在水稻的11条染色体(除第11号染色体外)上检测到28个控制柱头长度的QTLs, 在水稻第1、2、3、4、6、7、10和11号染色体上检测到21个控制花柱长度的QTLs (Uga et al., 2003, 2010; Marathi et al., 2015; Dang et al., 2016; Zhou et al., 2017), 在水稻的9条染色体(除第8、9和10号染色体外)上检测到16个控制柱花总长度的QTLs (陈兰等, 2012; 刘强明, 2015; Liu et al., 2015; Marathi et al., 2015; Dang et al., 2016).仅见Liu等(2015)qSTL3精细定位于水稻第3号染色体短臂19.8 kb区间, Dang等(2020)将控制花柱长度的基因OsSYL2AA克隆.尚未见柱头性状基因功能分析等深层次的研究报道, 说明当前对于柱头性状的研究少而浅, 这可能正是导致至今未见分子标记辅助选择(marked-assisted selection, MAS)选育长柱头、高外露率不育系等育种材料报道的主要原因. ...

... 目前, 对于柱头性状的研究主要集中于PES (Xiong et al., 1999; Uga et al., 2003; Yu et al., 2006; Miyata et al., 2007; Hu et al., 2009; Yan et al., 2009; 尹成等, 2014; Li et al., 2014; Rahman et al., 2016, 2017; 李威等, 2017; Zhang et al., 2018; Bakti and Tanaka, 2019; Liu et al., 2019), 而对柱头长度相关性状(STL (Marathi et al., 2015; Dang et al., 2016; Zhou et al., 2017)、SYL (Marathi et al., 2015; Dang et al., 2016, 2020; Zhou et al., 2017)和TSSL (Uga et al., 2003, 2010; Yan et al., 2009; 陈兰等, 2012; 刘强明, 2015; Liu et al., 2015; Marathi et al., 2015; Dang et al., 2016))的报道较少.因此, 对于4个柱头性状遗传效应的研究也主要集中于PES.从本研究的一阶遗传参数来看, PES以加性效应为主, 这与Yan等(2009)的研究结果一致.而STL、SYL和TSSL在不同群体中表现不尽相同.例如, STL在2个群体中均表现出以上位性效应为主, 加性效应和显性效应较小.对于SYL而言, F2群体中加性、显性和上位性效应并重, 而在F2:3群体中则表现出以加性效应为主.对于TSSL, F2群体中表现出以显性效应和上位性效应为主, 而在F2:3群体中则以加性效应为主, 这与刘强明(2015)利用CSSL群体分析得出TSSL以加性效应遗传为主的结果不尽一致, 表明柱头长度性状的遗传较PES更复杂.从二阶遗传参数来看, 4个性状在2个世代中的主基因遗传率介于63.64% (F2:3群体SYL)-92.13% (F2:3群体TSSL)之间, 多基因遗传率介于17.63% (F2群体PES)-25.00% (F2群体STL)之间, 表明这4个性状均以主基因遗传为主.但本研究同时也发现, 4个柱头性状中的多基因效应(加性效应和显性效应)也起较大作用, 如F2群体的TSSL, 其主基因效应(加性效应、显性效应和上位性效应)绝对值之和为1.18, 而其多基因效应(加性效应和显性效应)绝对值之和为1.04, 两者基本一致, 其它性状类似.以上结果说明柱头性状虽然属于数量性状, 受主效基因(主基因)和微效基因(多基因)共同控制, 但其同时又与水稻其它数量性状如株高(sd1) (Sasaki et al., 2002)、穗粒数(qSSP7) (Xing et al., 2008)和生育期(Ghd7) (Xue et al., 2008)存在差异, 即本研究中的4个柱头性状其主基因(主效基因)和多基因(微效基因)间的差异并不是很大, 而sd1qSSP7Ghd7等主效基因与之对应的微效基因相比其效应差异明显, 这也可能是导致当前柱头性状研究滞后的原因之一.在育种实践中, 籼型水稻的异交率远高于粳型, 尤其是在不育系方面, 这也是限制杂交粳稻和籼粳交杂交水稻推广种植的关键性因素.本研究利用核不育系籼粳交后代群体对4个柱头性状进行遗传解析, 为粳型不育系的改良提供了技术路线和理论基础.即育种家在高异交率粳型不育系选育过程中, 可将肉眼易辨的田间柱头外露率的直接观察与柱头长度性状的室内调查相结合, 通过筛选长柱头、高外露率进而提高粳型不育系的异交率.同时, 要统筹考虑主效基因和微效基因的影响, 及时开展早期有效的单株选择, 重点关注高代单株柱头性状的表现, 降低环境因素对柱头性状选择带来的干扰.4个柱头相关性状的主基因+多基因遗传分析是对其遗传组成、遗传规律特征及遗传参数进行全面剖析, 不仅可为粳型水稻柱头性状改良提供有益的指导, 也可为柱头性状的基因挖掘、功能分析和分子设计育种提供重要的理论依据. ...

水稻花器性状对异交结实影响的初步分析
1
1986

... 水稻(Oryza sativa)是最主要的粮食作物, 世界一半以上的人口以稻米为主食(袁隆平, 2010).始于我国20世纪70年代的杂交水稻较同熟期常规稻增产20%以上, 杂交水稻的推广种植使水稻生产力大幅提升(Qian et al., 2016).当前, 我国杂交水稻年种植面积约1.67×107 hm2, 以杂交籼稻为主, 而杂交粳稻的种植面积不足杂交水稻种植面积的3% (曹黎明等, 2018).制种产量低是制约杂交粳稻发展的重要因素, 提高粳型不育系的异交结实率是提高杂交粳稻制种产量的关键环节(杨振玉等, 2016).异交结实率主要取决于水稻花器性状和开花习性, 花器性状主要包括柱头长度(stigma length, STL)、花柱长度(style length, SYL)、柱头外露率(percentage of exserted stigma, PES)和开颖角度(glume opening angle, GOA)等(计慎敏和张大兵, 2007; 罗伟雄等, 2011).廖佩言等(1986)研究发现, 柱头-花柱总长度(以下简称柱花总长度) (the sum of stigma and style length, TSSL)和柱头单外露率对异交结实率的贡献率分别为17.86%和7.9%.杨保汉(1997)研究表明, 柱头外露率和制种产量呈极显著正相关, 不育系的柱头外露率每增加1个百分点, 其异交结实率可提高0.74%- 0.92%, 制种产量可增加47-68 kg?hm-2.可见, 柱头性状与水稻异交结实率密切相关. ...

水稻异交相关性状的QTL遗传剖析与柱头长度QTL qSTL3. 1的精细定位. 博士论文
5
2015

... 柱头性状主要包括柱头长度、花柱长度、柱花总长度和柱头外露率(单外露率、双外露率和总外露率)等.研究发现, 柱头性状间存在紧密联系, 如柱花总长度与柱头外露率呈显著(Virmani and Athwal, 1973; Miyata et al., 2007; Takano-Kai et al., 2011)或极显著(刘强明, 2015; Zhou et al., 2017)正相关, 柱头长度、花柱长度和柱花总长度间也表现出极显著正相关(Dang et al., 2016; Zhou et al., 2017).但当前对于柱头性状的研究远远落后于水稻其它性状(如米质性状) (Wang et al., 2012)、农艺性状(Li et al., 2013; Zhou et al., 2013)以及抗性(Zheng et al., 2013).目前, 对柱头性状的研究多集中于柱头外露率的QTL定位, 研究者利用不同群体检测到112个控制柱头外露率的QTLs (Xiong et al., 1999; Uga et al., 2003; Yu et al., 2006; Miyata et al., 2007; Hu et al., 2009; Yan et al., 2009; Li et al., 2014; 尹成等, 2014; Rahman et al., 2016, 2017; 李威等, 2017; Zhang et al., 2018; Bakti and Tanaka, 2019; Liu et al., 2019), 而其中仅3个QTLs (qSE7 (Rahman et al., 2017)、qSE11 (Zhang et al., 2018)和qSER-7 (Liu et al., 2019))被精细定位.对于柱头长度相关性状的报道则较少.研究者利用重组自交系(recombination inbred line, RIL) (Uga et al., 2003, 2010), F2、回交重组自交系(backcross inbred line, BIL)和双单倍体(doubled haploid line, DH)群体(Uga et al., 2010)以及自然群体(Yan et al., 2009; Marathi et al., 2015; Dang et al., 2016; Zhou et al., 2017)在水稻的11条染色体(除第11号染色体外)上检测到28个控制柱头长度的QTLs, 在水稻第1、2、3、4、6、7、10和11号染色体上检测到21个控制花柱长度的QTLs (Uga et al., 2003, 2010; Marathi et al., 2015; Dang et al., 2016; Zhou et al., 2017), 在水稻的9条染色体(除第8、9和10号染色体外)上检测到16个控制柱花总长度的QTLs (陈兰等, 2012; 刘强明, 2015; Liu et al., 2015; Marathi et al., 2015; Dang et al., 2016).仅见Liu等(2015)qSTL3精细定位于水稻第3号染色体短臂19.8 kb区间, Dang等(2020)将控制花柱长度的基因OsSYL2AA克隆.尚未见柱头性状基因功能分析等深层次的研究报道, 说明当前对于柱头性状的研究少而浅, 这可能正是导致至今未见分子标记辅助选择(marked-assisted selection, MAS)选育长柱头、高外露率不育系等育种材料报道的主要原因. ...

... ; 刘强明, 2015; Liu et al., 2015; Marathi et al., 2015; Dang et al., 2016).仅见Liu等(2015)qSTL3精细定位于水稻第3号染色体短臂19.8 kb区间, Dang等(2020)将控制花柱长度的基因OsSYL2AA克隆.尚未见柱头性状基因功能分析等深层次的研究报道, 说明当前对于柱头性状的研究少而浅, 这可能正是导致至今未见分子标记辅助选择(marked-assisted selection, MAS)选育长柱头、高外露率不育系等育种材料报道的主要原因. ...

... 本研究对由粳型光温敏核不育系7001S和籼型温敏核不育系Z913S杂交衍生的F2和F2:3群体的4个柱头性状STL、SYL、TSSL和PES进行相关性分析.结果表明, 4个性状间的相关性系数介于0.274-0.897之间, 均表现出极显著正相关, 说明柱头性状是复杂的综合性状.其中STL、SYL和TSSL两两间的相关系数均达0.43以上, 呈紧密相关, 这与Dang等(2016)Zhou等(2017)利用不同水稻材料构成的自然群体进行分析所得结果一致, 表明STL、SYL和TSSL可能由1个或多个相同或紧密连锁的基因位点(QTL)控制.F2和F2:3群体中TSSL和PES间的相关系数分别为0.383和0.365, 呈极显著正相关, 这与前人的研究结果一致(刘强明, 2015; Zhou et al., 2017).本研究还表明STL与PES间也表现极显著正相关.由于毛刷状柱头(柱头长度部分)是柱头接收外来花粉的器官, 因此柱头长度增加及柱头外露率提高必然导致水稻异交结实率增加, 从而促进杂交水稻制种产量增加(Miyata et al., 2007; 吴爽等, 2015). ...

... 目前, 对于柱头性状的研究主要集中于PES (Xiong et al., 1999; Uga et al., 2003; Yu et al., 2006; Miyata et al., 2007; Hu et al., 2009; Yan et al., 2009; 尹成等, 2014; Li et al., 2014; Rahman et al., 2016, 2017; 李威等, 2017; Zhang et al., 2018; Bakti and Tanaka, 2019; Liu et al., 2019), 而对柱头长度相关性状(STL (Marathi et al., 2015; Dang et al., 2016; Zhou et al., 2017)、SYL (Marathi et al., 2015; Dang et al., 2016, 2020; Zhou et al., 2017)和TSSL (Uga et al., 2003, 2010; Yan et al., 2009; 陈兰等, 2012; 刘强明, 2015; Liu et al., 2015; Marathi et al., 2015; Dang et al., 2016))的报道较少.因此, 对于4个柱头性状遗传效应的研究也主要集中于PES.从本研究的一阶遗传参数来看, PES以加性效应为主, 这与Yan等(2009)的研究结果一致.而STL、SYL和TSSL在不同群体中表现不尽相同.例如, STL在2个群体中均表现出以上位性效应为主, 加性效应和显性效应较小.对于SYL而言, F2群体中加性、显性和上位性效应并重, 而在F2:3群体中则表现出以加性效应为主.对于TSSL, F2群体中表现出以显性效应和上位性效应为主, 而在F2:3群体中则以加性效应为主, 这与刘强明(2015)利用CSSL群体分析得出TSSL以加性效应遗传为主的结果不尽一致, 表明柱头长度性状的遗传较PES更复杂.从二阶遗传参数来看, 4个性状在2个世代中的主基因遗传率介于63.64% (F2:3群体SYL)-92.13% (F2:3群体TSSL)之间, 多基因遗传率介于17.63% (F2群体PES)-25.00% (F2群体STL)之间, 表明这4个性状均以主基因遗传为主.但本研究同时也发现, 4个柱头性状中的多基因效应(加性效应和显性效应)也起较大作用, 如F2群体的TSSL, 其主基因效应(加性效应、显性效应和上位性效应)绝对值之和为1.18, 而其多基因效应(加性效应和显性效应)绝对值之和为1.04, 两者基本一致, 其它性状类似.以上结果说明柱头性状虽然属于数量性状, 受主效基因(主基因)和微效基因(多基因)共同控制, 但其同时又与水稻其它数量性状如株高(sd1) (Sasaki et al., 2002)、穗粒数(qSSP7) (Xing et al., 2008)和生育期(Ghd7) (Xue et al., 2008)存在差异, 即本研究中的4个柱头性状其主基因(主效基因)和多基因(微效基因)间的差异并不是很大, 而sd1qSSP7Ghd7等主效基因与之对应的微效基因相比其效应差异明显, 这也可能是导致当前柱头性状研究滞后的原因之一.在育种实践中, 籼型水稻的异交率远高于粳型, 尤其是在不育系方面, 这也是限制杂交粳稻和籼粳交杂交水稻推广种植的关键性因素.本研究利用核不育系籼粳交后代群体对4个柱头性状进行遗传解析, 为粳型不育系的改良提供了技术路线和理论基础.即育种家在高异交率粳型不育系选育过程中, 可将肉眼易辨的田间柱头外露率的直接观察与柱头长度性状的室内调查相结合, 通过筛选长柱头、高外露率进而提高粳型不育系的异交率.同时, 要统筹考虑主效基因和微效基因的影响, 及时开展早期有效的单株选择, 重点关注高代单株柱头性状的表现, 降低环境因素对柱头性状选择带来的干扰.4个柱头相关性状的主基因+多基因遗传分析是对其遗传组成、遗传规律特征及遗传参数进行全面剖析, 不仅可为粳型水稻柱头性状改良提供有益的指导, 也可为柱头性状的基因挖掘、功能分析和分子设计育种提供重要的理论依据. ...

... 群体中则以加性效应为主, 这与刘强明(2015)利用CSSL群体分析得出TSSL以加性效应遗传为主的结果不尽一致, 表明柱头长度性状的遗传较PES更复杂.从二阶遗传参数来看, 4个性状在2个世代中的主基因遗传率介于63.64% (F2:3群体SYL)-92.13% (F2:3群体TSSL)之间, 多基因遗传率介于17.63% (F2群体PES)-25.00% (F2群体STL)之间, 表明这4个性状均以主基因遗传为主.但本研究同时也发现, 4个柱头性状中的多基因效应(加性效应和显性效应)也起较大作用, 如F2群体的TSSL, 其主基因效应(加性效应、显性效应和上位性效应)绝对值之和为1.18, 而其多基因效应(加性效应和显性效应)绝对值之和为1.04, 两者基本一致, 其它性状类似.以上结果说明柱头性状虽然属于数量性状, 受主效基因(主基因)和微效基因(多基因)共同控制, 但其同时又与水稻其它数量性状如株高(sd1) (Sasaki et al., 2002)、穗粒数(qSSP7) (Xing et al., 2008)和生育期(Ghd7) (Xue et al., 2008)存在差异, 即本研究中的4个柱头性状其主基因(主效基因)和多基因(微效基因)间的差异并不是很大, 而sd1qSSP7Ghd7等主效基因与之对应的微效基因相比其效应差异明显, 这也可能是导致当前柱头性状研究滞后的原因之一.在育种实践中, 籼型水稻的异交率远高于粳型, 尤其是在不育系方面, 这也是限制杂交粳稻和籼粳交杂交水稻推广种植的关键性因素.本研究利用核不育系籼粳交后代群体对4个柱头性状进行遗传解析, 为粳型不育系的改良提供了技术路线和理论基础.即育种家在高异交率粳型不育系选育过程中, 可将肉眼易辨的田间柱头外露率的直接观察与柱头长度性状的室内调查相结合, 通过筛选长柱头、高外露率进而提高粳型不育系的异交率.同时, 要统筹考虑主效基因和微效基因的影响, 及时开展早期有效的单株选择, 重点关注高代单株柱头性状的表现, 降低环境因素对柱头性状选择带来的干扰.4个柱头相关性状的主基因+多基因遗传分析是对其遗传组成、遗传规律特征及遗传参数进行全面剖析, 不仅可为粳型水稻柱头性状改良提供有益的指导, 也可为柱头性状的基因挖掘、功能分析和分子设计育种提供重要的理论依据. ...

一个新的水稻花器官突变体的鉴定和基因定位
1
2011

... 水稻(Oryza sativa)是最主要的粮食作物, 世界一半以上的人口以稻米为主食(袁隆平, 2010).始于我国20世纪70年代的杂交水稻较同熟期常规稻增产20%以上, 杂交水稻的推广种植使水稻生产力大幅提升(Qian et al., 2016).当前, 我国杂交水稻年种植面积约1.67×107 hm2, 以杂交籼稻为主, 而杂交粳稻的种植面积不足杂交水稻种植面积的3% (曹黎明等, 2018).制种产量低是制约杂交粳稻发展的重要因素, 提高粳型不育系的异交结实率是提高杂交粳稻制种产量的关键环节(杨振玉等, 2016).异交结实率主要取决于水稻花器性状和开花习性, 花器性状主要包括柱头长度(stigma length, STL)、花柱长度(style length, SYL)、柱头外露率(percentage of exserted stigma, PES)和开颖角度(glume opening angle, GOA)等(计慎敏和张大兵, 2007; 罗伟雄等, 2011).廖佩言等(1986)研究发现, 柱头-花柱总长度(以下简称柱花总长度) (the sum of stigma and style length, TSSL)和柱头单外露率对异交结实率的贡献率分别为17.86%和7.9%.杨保汉(1997)研究表明, 柱头外露率和制种产量呈极显著正相关, 不育系的柱头外露率每增加1个百分点, 其异交结实率可提高0.74%- 0.92%, 制种产量可增加47-68 kg?hm-2.可见, 柱头性状与水稻异交结实率密切相关. ...

4个环境下稳定表达的控制粳稻穗角性状的新位点
1
2012

... 牛付安等(2012)同时利用主基因+多基因遗传模型和QTL定位的方法对水稻RIL群体穗角进行分析, 发现用两种方法检测到的主基因数量具有相对一致性, 两者可相互验证.本研究利用主基因+多基因模型中的SEA-G4F2和SEA-G4F3软件(曹锡文等, 2013)对4个柱头性状进行了遗传分析, 结果显示, STL、SYL和TSSL均由2对主基因控制, 除F2:3群体中SYL和TSSL的2对主基因分别表现为加性-显性效应和等加性-显性效应外, 其余均表现为加性-显性-上位性效应, 这也进一步从遗传层面解释了STL、SYL和TSSL间呈极显著相关的原因, 说明这3个性状极可能由相同的主效位点(QTL)控制.而2个世代中PES的最适模型并不一致, 分别为MX2-EEAD-AD和MX1-AEND-AD, 即F2群体中的PES表现为2对等加性-显性主基因控制, 而F2:3群体中仅检测到1对负向等效加性-显性主基因, 说明相比柱头长度相关性状, PES更易受环境因素的影响(Liu et al., 2019).结合P1、P2和F1联合方差分析结果, 发现4个柱头性状均以基因型遗传为主, 但环境效应也对其产生显著(STL和PES)或极显著(SYL和TSSL)影响, 且PES同时受到基因型×环境互作效应的极显著影响, 从而导致2个环境中SYL、TSSL和PES检测到的主效基因数量以及主效基因间作用方式不同.本研究同时利用F2和F2:3群体在2个环境中对柱头相关性状进行遗传分析, 其结果可以互相验证, 具有一定的可靠性.即7001S/Z913S组合中的STL、SYL和TSSL可能由2个主效位点(QTL)控制, 且控制这3个性状的主效位点可能为相同位点, 同时这2个位点中有1-2个也是控制PES的主效位点.进一步结果需要通过后续的QTL定位与连锁分析进行验证. ...

甘蓝型油菜白花性状的主基因+多基因遗传分析
1
2009

... 本研究以团队自行选育的短柱头、低外露率的粳型光温敏核不育系7001S (李成荃等, 1994)为母本, 以长柱头、高外露率的籼型温敏核不育系Z913S (江建华等, 2017)为父本进行杂交、自交, 以构建的7001S/Z913S F1、F2和F2:3群体为研究对象, 对安徽庐江和海南陵水2个环境下的柱头长度、花柱长度、柱花总长度和柱头外露率4个性状间的相关性进行分析, 同时利用广泛应用于水稻(江建华等, 2009)、油菜(Brassica campestris) (田露申等, 2009)、小麦(Triticum aestivum) (解松峰等, 2019)、玉米(Zea mays) (冯云超等, 2019)和野棉花(Anemone vitifolia) (冯常辉等, 2020)等各种农作物的主基因+多基因混合模型(曹锡文等, 2013)对2个世代的4个柱头性状进行遗传分析, 旨在揭示柱头性状间的相关性及其遗传基础, 为水稻柱头性状的QTL定位和全基因组关联分析提供互补验证, 同时也为利用籼稻中柱头相关性状优异基因改良粳稻柱头性状提供理论基础, 从而为创制长柱头、高柱头外露率的粳型水稻温敏核不育系提供技术指导. ...

水稻温敏核不育系广茉S的异交特性研究
1
2015

... 本研究对由粳型光温敏核不育系7001S和籼型温敏核不育系Z913S杂交衍生的F2和F2:3群体的4个柱头性状STL、SYL、TSSL和PES进行相关性分析.结果表明, 4个性状间的相关性系数介于0.274-0.897之间, 均表现出极显著正相关, 说明柱头性状是复杂的综合性状.其中STL、SYL和TSSL两两间的相关系数均达0.43以上, 呈紧密相关, 这与Dang等(2016)Zhou等(2017)利用不同水稻材料构成的自然群体进行分析所得结果一致, 表明STL、SYL和TSSL可能由1个或多个相同或紧密连锁的基因位点(QTL)控制.F2和F2:3群体中TSSL和PES间的相关系数分别为0.383和0.365, 呈极显著正相关, 这与前人的研究结果一致(刘强明, 2015; Zhou et al., 2017).本研究还表明STL与PES间也表现极显著正相关.由于毛刷状柱头(柱头长度部分)是柱头接收外来花粉的器官, 因此柱头长度增加及柱头外露率提高必然导致水稻异交结实率增加, 从而促进杂交水稻制种产量增加(Miyata et al., 2007; 吴爽等, 2015). ...

小麦穗部性状的主基因+多基因混合遗传模型分析
1
2019

... 本研究以团队自行选育的短柱头、低外露率的粳型光温敏核不育系7001S (李成荃等, 1994)为母本, 以长柱头、高外露率的籼型温敏核不育系Z913S (江建华等, 2017)为父本进行杂交、自交, 以构建的7001S/Z913S F1、F2和F2:3群体为研究对象, 对安徽庐江和海南陵水2个环境下的柱头长度、花柱长度、柱花总长度和柱头外露率4个性状间的相关性进行分析, 同时利用广泛应用于水稻(江建华等, 2009)、油菜(Brassica campestris) (田露申等, 2009)、小麦(Triticum aestivum) (解松峰等, 2019)、玉米(Zea mays) (冯云超等, 2019)和野棉花(Anemone vitifolia) (冯常辉等, 2020)等各种农作物的主基因+多基因混合模型(曹锡文等, 2013)对2个世代的4个柱头性状进行遗传分析, 旨在揭示柱头性状间的相关性及其遗传基础, 为水稻柱头性状的QTL定位和全基因组关联分析提供互补验证, 同时也为利用籼稻中柱头相关性状优异基因改良粳稻柱头性状提供理论基础, 从而为创制长柱头、高柱头外露率的粳型水稻温敏核不育系提供技术指导. ...

不育系柱头外露率及其结实率研究
1
1997

... 水稻(Oryza sativa)是最主要的粮食作物, 世界一半以上的人口以稻米为主食(袁隆平, 2010).始于我国20世纪70年代的杂交水稻较同熟期常规稻增产20%以上, 杂交水稻的推广种植使水稻生产力大幅提升(Qian et al., 2016).当前, 我国杂交水稻年种植面积约1.67×107 hm2, 以杂交籼稻为主, 而杂交粳稻的种植面积不足杂交水稻种植面积的3% (曹黎明等, 2018).制种产量低是制约杂交粳稻发展的重要因素, 提高粳型不育系的异交结实率是提高杂交粳稻制种产量的关键环节(杨振玉等, 2016).异交结实率主要取决于水稻花器性状和开花习性, 花器性状主要包括柱头长度(stigma length, STL)、花柱长度(style length, SYL)、柱头外露率(percentage of exserted stigma, PES)和开颖角度(glume opening angle, GOA)等(计慎敏和张大兵, 2007; 罗伟雄等, 2011).廖佩言等(1986)研究发现, 柱头-花柱总长度(以下简称柱花总长度) (the sum of stigma and style length, TSSL)和柱头单外露率对异交结实率的贡献率分别为17.86%和7.9%.杨保汉(1997)研究表明, 柱头外露率和制种产量呈极显著正相关, 不育系的柱头外露率每增加1个百分点, 其异交结实率可提高0.74%- 0.92%, 制种产量可增加47-68 kg?hm-2.可见, 柱头性状与水稻异交结实率密切相关. ...

中国杂交粳稻发展与展望
1
2016

... 水稻(Oryza sativa)是最主要的粮食作物, 世界一半以上的人口以稻米为主食(袁隆平, 2010).始于我国20世纪70年代的杂交水稻较同熟期常规稻增产20%以上, 杂交水稻的推广种植使水稻生产力大幅提升(Qian et al., 2016).当前, 我国杂交水稻年种植面积约1.67×107 hm2, 以杂交籼稻为主, 而杂交粳稻的种植面积不足杂交水稻种植面积的3% (曹黎明等, 2018).制种产量低是制约杂交粳稻发展的重要因素, 提高粳型不育系的异交结实率是提高杂交粳稻制种产量的关键环节(杨振玉等, 2016).异交结实率主要取决于水稻花器性状和开花习性, 花器性状主要包括柱头长度(stigma length, STL)、花柱长度(style length, SYL)、柱头外露率(percentage of exserted stigma, PES)和开颖角度(glume opening angle, GOA)等(计慎敏和张大兵, 2007; 罗伟雄等, 2011).廖佩言等(1986)研究发现, 柱头-花柱总长度(以下简称柱花总长度) (the sum of stigma and style length, TSSL)和柱头单外露率对异交结实率的贡献率分别为17.86%和7.9%.杨保汉(1997)研究表明, 柱头外露率和制种产量呈极显著正相关, 不育系的柱头外露率每增加1个百分点, 其异交结实率可提高0.74%- 0.92%, 制种产量可增加47-68 kg?hm-2.可见, 柱头性状与水稻异交结实率密切相关. ...

水稻柱头外露率QTL定位
2
2014

... 柱头性状主要包括柱头长度、花柱长度、柱花总长度和柱头外露率(单外露率、双外露率和总外露率)等.研究发现, 柱头性状间存在紧密联系, 如柱花总长度与柱头外露率呈显著(Virmani and Athwal, 1973; Miyata et al., 2007; Takano-Kai et al., 2011)或极显著(刘强明, 2015; Zhou et al., 2017)正相关, 柱头长度、花柱长度和柱花总长度间也表现出极显著正相关(Dang et al., 2016; Zhou et al., 2017).但当前对于柱头性状的研究远远落后于水稻其它性状(如米质性状) (Wang et al., 2012)、农艺性状(Li et al., 2013; Zhou et al., 2013)以及抗性(Zheng et al., 2013).目前, 对柱头性状的研究多集中于柱头外露率的QTL定位, 研究者利用不同群体检测到112个控制柱头外露率的QTLs (Xiong et al., 1999; Uga et al., 2003; Yu et al., 2006; Miyata et al., 2007; Hu et al., 2009; Yan et al., 2009; Li et al., 2014; 尹成等, 2014; Rahman et al., 2016, 2017; 李威等, 2017; Zhang et al., 2018; Bakti and Tanaka, 2019; Liu et al., 2019), 而其中仅3个QTLs (qSE7 (Rahman et al., 2017)、qSE11 (Zhang et al., 2018)和qSER-7 (Liu et al., 2019))被精细定位.对于柱头长度相关性状的报道则较少.研究者利用重组自交系(recombination inbred line, RIL) (Uga et al., 2003, 2010), F2、回交重组自交系(backcross inbred line, BIL)和双单倍体(doubled haploid line, DH)群体(Uga et al., 2010)以及自然群体(Yan et al., 2009; Marathi et al., 2015; Dang et al., 2016; Zhou et al., 2017)在水稻的11条染色体(除第11号染色体外)上检测到28个控制柱头长度的QTLs, 在水稻第1、2、3、4、6、7、10和11号染色体上检测到21个控制花柱长度的QTLs (Uga et al., 2003, 2010; Marathi et al., 2015; Dang et al., 2016; Zhou et al., 2017), 在水稻的9条染色体(除第8、9和10号染色体外)上检测到16个控制柱花总长度的QTLs (陈兰等, 2012; 刘强明, 2015; Liu et al., 2015; Marathi et al., 2015; Dang et al., 2016).仅见Liu等(2015)qSTL3精细定位于水稻第3号染色体短臂19.8 kb区间, Dang等(2020)将控制花柱长度的基因OsSYL2AA克隆.尚未见柱头性状基因功能分析等深层次的研究报道, 说明当前对于柱头性状的研究少而浅, 这可能正是导致至今未见分子标记辅助选择(marked-assisted selection, MAS)选育长柱头、高外露率不育系等育种材料报道的主要原因. ...

... 目前, 对于柱头性状的研究主要集中于PES (Xiong et al., 1999; Uga et al., 2003; Yu et al., 2006; Miyata et al., 2007; Hu et al., 2009; Yan et al., 2009; 尹成等, 2014; Li et al., 2014; Rahman et al., 2016, 2017; 李威等, 2017; Zhang et al., 2018; Bakti and Tanaka, 2019; Liu et al., 2019), 而对柱头长度相关性状(STL (Marathi et al., 2015; Dang et al., 2016; Zhou et al., 2017)、SYL (Marathi et al., 2015; Dang et al., 2016, 2020; Zhou et al., 2017)和TSSL (Uga et al., 2003, 2010; Yan et al., 2009; 陈兰等, 2012; 刘强明, 2015; Liu et al., 2015; Marathi et al., 2015; Dang et al., 2016))的报道较少.因此, 对于4个柱头性状遗传效应的研究也主要集中于PES.从本研究的一阶遗传参数来看, PES以加性效应为主, 这与Yan等(2009)的研究结果一致.而STL、SYL和TSSL在不同群体中表现不尽相同.例如, STL在2个群体中均表现出以上位性效应为主, 加性效应和显性效应较小.对于SYL而言, F2群体中加性、显性和上位性效应并重, 而在F2:3群体中则表现出以加性效应为主.对于TSSL, F2群体中表现出以显性效应和上位性效应为主, 而在F2:3群体中则以加性效应为主, 这与刘强明(2015)利用CSSL群体分析得出TSSL以加性效应遗传为主的结果不尽一致, 表明柱头长度性状的遗传较PES更复杂.从二阶遗传参数来看, 4个性状在2个世代中的主基因遗传率介于63.64% (F2:3群体SYL)-92.13% (F2:3群体TSSL)之间, 多基因遗传率介于17.63% (F2群体PES)-25.00% (F2群体STL)之间, 表明这4个性状均以主基因遗传为主.但本研究同时也发现, 4个柱头性状中的多基因效应(加性效应和显性效应)也起较大作用, 如F2群体的TSSL, 其主基因效应(加性效应、显性效应和上位性效应)绝对值之和为1.18, 而其多基因效应(加性效应和显性效应)绝对值之和为1.04, 两者基本一致, 其它性状类似.以上结果说明柱头性状虽然属于数量性状, 受主效基因(主基因)和微效基因(多基因)共同控制, 但其同时又与水稻其它数量性状如株高(sd1) (Sasaki et al., 2002)、穗粒数(qSSP7) (Xing et al., 2008)和生育期(Ghd7) (Xue et al., 2008)存在差异, 即本研究中的4个柱头性状其主基因(主效基因)和多基因(微效基因)间的差异并不是很大, 而sd1qSSP7Ghd7等主效基因与之对应的微效基因相比其效应差异明显, 这也可能是导致当前柱头性状研究滞后的原因之一.在育种实践中, 籼型水稻的异交率远高于粳型, 尤其是在不育系方面, 这也是限制杂交粳稻和籼粳交杂交水稻推广种植的关键性因素.本研究利用核不育系籼粳交后代群体对4个柱头性状进行遗传解析, 为粳型不育系的改良提供了技术路线和理论基础.即育种家在高异交率粳型不育系选育过程中, 可将肉眼易辨的田间柱头外露率的直接观察与柱头长度性状的室内调查相结合, 通过筛选长柱头、高外露率进而提高粳型不育系的异交率.同时, 要统筹考虑主效基因和微效基因的影响, 及时开展早期有效的单株选择, 重点关注高代单株柱头性状的表现, 降低环境因素对柱头性状选择带来的干扰.4个柱头相关性状的主基因+多基因遗传分析是对其遗传组成、遗传规律特征及遗传参数进行全面剖析, 不仅可为粳型水稻柱头性状改良提供有益的指导, 也可为柱头性状的基因挖掘、功能分析和分子设计育种提供重要的理论依据. ...

发展杂交水稻保障粮食安全
1
2010

... 水稻(Oryza sativa)是最主要的粮食作物, 世界一半以上的人口以稻米为主食(袁隆平, 2010).始于我国20世纪70年代的杂交水稻较同熟期常规稻增产20%以上, 杂交水稻的推广种植使水稻生产力大幅提升(Qian et al., 2016).当前, 我国杂交水稻年种植面积约1.67×107 hm2, 以杂交籼稻为主, 而杂交粳稻的种植面积不足杂交水稻种植面积的3% (曹黎明等, 2018).制种产量低是制约杂交粳稻发展的重要因素, 提高粳型不育系的异交结实率是提高杂交粳稻制种产量的关键环节(杨振玉等, 2016).异交结实率主要取决于水稻花器性状和开花习性, 花器性状主要包括柱头长度(stigma length, STL)、花柱长度(style length, SYL)、柱头外露率(percentage of exserted stigma, PES)和开颖角度(glume opening angle, GOA)等(计慎敏和张大兵, 2007; 罗伟雄等, 2011).廖佩言等(1986)研究发现, 柱头-花柱总长度(以下简称柱花总长度) (the sum of stigma and style length, TSSL)和柱头单外露率对异交结实率的贡献率分别为17.86%和7.9%.杨保汉(1997)研究表明, 柱头外露率和制种产量呈极显著正相关, 不育系的柱头外露率每增加1个百分点, 其异交结实率可提高0.74%- 0.92%, 制种产量可增加47-68 kg?hm-2.可见, 柱头性状与水稻异交结实率密切相关. ...

Detection of dominant QTLs for stigma exsertion ratio in rice derived from Oryza rufipogon accession ‘W0120’
2
2019

... 柱头性状主要包括柱头长度、花柱长度、柱花总长度和柱头外露率(单外露率、双外露率和总外露率)等.研究发现, 柱头性状间存在紧密联系, 如柱花总长度与柱头外露率呈显著(Virmani and Athwal, 1973; Miyata et al., 2007; Takano-Kai et al., 2011)或极显著(刘强明, 2015; Zhou et al., 2017)正相关, 柱头长度、花柱长度和柱花总长度间也表现出极显著正相关(Dang et al., 2016; Zhou et al., 2017).但当前对于柱头性状的研究远远落后于水稻其它性状(如米质性状) (Wang et al., 2012)、农艺性状(Li et al., 2013; Zhou et al., 2013)以及抗性(Zheng et al., 2013).目前, 对柱头性状的研究多集中于柱头外露率的QTL定位, 研究者利用不同群体检测到112个控制柱头外露率的QTLs (Xiong et al., 1999; Uga et al., 2003; Yu et al., 2006; Miyata et al., 2007; Hu et al., 2009; Yan et al., 2009; Li et al., 2014; 尹成等, 2014; Rahman et al., 2016, 2017; 李威等, 2017; Zhang et al., 2018; Bakti and Tanaka, 2019; Liu et al., 2019), 而其中仅3个QTLs (qSE7 (Rahman et al., 2017)、qSE11 (Zhang et al., 2018)和qSER-7 (Liu et al., 2019))被精细定位.对于柱头长度相关性状的报道则较少.研究者利用重组自交系(recombination inbred line, RIL) (Uga et al., 2003, 2010), F2、回交重组自交系(backcross inbred line, BIL)和双单倍体(doubled haploid line, DH)群体(Uga et al., 2010)以及自然群体(Yan et al., 2009; Marathi et al., 2015; Dang et al., 2016; Zhou et al., 2017)在水稻的11条染色体(除第11号染色体外)上检测到28个控制柱头长度的QTLs, 在水稻第1、2、3、4、6、7、10和11号染色体上检测到21个控制花柱长度的QTLs (Uga et al., 2003, 2010; Marathi et al., 2015; Dang et al., 2016; Zhou et al., 2017), 在水稻的9条染色体(除第8、9和10号染色体外)上检测到16个控制柱花总长度的QTLs (陈兰等, 2012; 刘强明, 2015; Liu et al., 2015; Marathi et al., 2015; Dang et al., 2016).仅见Liu等(2015)qSTL3精细定位于水稻第3号染色体短臂19.8 kb区间, Dang等(2020)将控制花柱长度的基因OsSYL2AA克隆.尚未见柱头性状基因功能分析等深层次的研究报道, 说明当前对于柱头性状的研究少而浅, 这可能正是导致至今未见分子标记辅助选择(marked-assisted selection, MAS)选育长柱头、高外露率不育系等育种材料报道的主要原因. ...

... 目前, 对于柱头性状的研究主要集中于PES (Xiong et al., 1999; Uga et al., 2003; Yu et al., 2006; Miyata et al., 2007; Hu et al., 2009; Yan et al., 2009; 尹成等, 2014; Li et al., 2014; Rahman et al., 2016, 2017; 李威等, 2017; Zhang et al., 2018; Bakti and Tanaka, 2019; Liu et al., 2019), 而对柱头长度相关性状(STL (Marathi et al., 2015; Dang et al., 2016; Zhou et al., 2017)、SYL (Marathi et al., 2015; Dang et al., 2016, 2020; Zhou et al., 2017)和TSSL (Uga et al., 2003, 2010; Yan et al., 2009; 陈兰等, 2012; 刘强明, 2015; Liu et al., 2015; Marathi et al., 2015; Dang et al., 2016))的报道较少.因此, 对于4个柱头性状遗传效应的研究也主要集中于PES.从本研究的一阶遗传参数来看, PES以加性效应为主, 这与Yan等(2009)的研究结果一致.而STL、SYL和TSSL在不同群体中表现不尽相同.例如, STL在2个群体中均表现出以上位性效应为主, 加性效应和显性效应较小.对于SYL而言, F2群体中加性、显性和上位性效应并重, 而在F2:3群体中则表现出以加性效应为主.对于TSSL, F2群体中表现出以显性效应和上位性效应为主, 而在F2:3群体中则以加性效应为主, 这与刘强明(2015)利用CSSL群体分析得出TSSL以加性效应遗传为主的结果不尽一致, 表明柱头长度性状的遗传较PES更复杂.从二阶遗传参数来看, 4个性状在2个世代中的主基因遗传率介于63.64% (F2:3群体SYL)-92.13% (F2:3群体TSSL)之间, 多基因遗传率介于17.63% (F2群体PES)-25.00% (F2群体STL)之间, 表明这4个性状均以主基因遗传为主.但本研究同时也发现, 4个柱头性状中的多基因效应(加性效应和显性效应)也起较大作用, 如F2群体的TSSL, 其主基因效应(加性效应、显性效应和上位性效应)绝对值之和为1.18, 而其多基因效应(加性效应和显性效应)绝对值之和为1.04, 两者基本一致, 其它性状类似.以上结果说明柱头性状虽然属于数量性状, 受主效基因(主基因)和微效基因(多基因)共同控制, 但其同时又与水稻其它数量性状如株高(sd1) (Sasaki et al., 2002)、穗粒数(qSSP7) (Xing et al., 2008)和生育期(Ghd7) (Xue et al., 2008)存在差异, 即本研究中的4个柱头性状其主基因(主效基因)和多基因(微效基因)间的差异并不是很大, 而sd1qSSP7Ghd7等主效基因与之对应的微效基因相比其效应差异明显, 这也可能是导致当前柱头性状研究滞后的原因之一.在育种实践中, 籼型水稻的异交率远高于粳型, 尤其是在不育系方面, 这也是限制杂交粳稻和籼粳交杂交水稻推广种植的关键性因素.本研究利用核不育系籼粳交后代群体对4个柱头性状进行遗传解析, 为粳型不育系的改良提供了技术路线和理论基础.即育种家在高异交率粳型不育系选育过程中, 可将肉眼易辨的田间柱头外露率的直接观察与柱头长度性状的室内调查相结合, 通过筛选长柱头、高外露率进而提高粳型不育系的异交率.同时, 要统筹考虑主效基因和微效基因的影响, 及时开展早期有效的单株选择, 重点关注高代单株柱头性状的表现, 降低环境因素对柱头性状选择带来的干扰.4个柱头相关性状的主基因+多基因遗传分析是对其遗传组成、遗传规律特征及遗传参数进行全面剖析, 不仅可为粳型水稻柱头性状改良提供有益的指导, 也可为柱头性状的基因挖掘、功能分析和分子设计育种提供重要的理论依据. ...

QTL detection and elite alleles mining for stigma traits in Oryza sativa by association mapping
8
2016

... 柱头性状主要包括柱头长度、花柱长度、柱花总长度和柱头外露率(单外露率、双外露率和总外露率)等.研究发现, 柱头性状间存在紧密联系, 如柱花总长度与柱头外露率呈显著(Virmani and Athwal, 1973; Miyata et al., 2007; Takano-Kai et al., 2011)或极显著(刘强明, 2015; Zhou et al., 2017)正相关, 柱头长度、花柱长度和柱花总长度间也表现出极显著正相关(Dang et al., 2016; Zhou et al., 2017).但当前对于柱头性状的研究远远落后于水稻其它性状(如米质性状) (Wang et al., 2012)、农艺性状(Li et al., 2013; Zhou et al., 2013)以及抗性(Zheng et al., 2013).目前, 对柱头性状的研究多集中于柱头外露率的QTL定位, 研究者利用不同群体检测到112个控制柱头外露率的QTLs (Xiong et al., 1999; Uga et al., 2003; Yu et al., 2006; Miyata et al., 2007; Hu et al., 2009; Yan et al., 2009; Li et al., 2014; 尹成等, 2014; Rahman et al., 2016, 2017; 李威等, 2017; Zhang et al., 2018; Bakti and Tanaka, 2019; Liu et al., 2019), 而其中仅3个QTLs (qSE7 (Rahman et al., 2017)、qSE11 (Zhang et al., 2018)和qSER-7 (Liu et al., 2019))被精细定位.对于柱头长度相关性状的报道则较少.研究者利用重组自交系(recombination inbred line, RIL) (Uga et al., 2003, 2010), F2、回交重组自交系(backcross inbred line, BIL)和双单倍体(doubled haploid line, DH)群体(Uga et al., 2010)以及自然群体(Yan et al., 2009; Marathi et al., 2015; Dang et al., 2016; Zhou et al., 2017)在水稻的11条染色体(除第11号染色体外)上检测到28个控制柱头长度的QTLs, 在水稻第1、2、3、4、6、7、10和11号染色体上检测到21个控制花柱长度的QTLs (Uga et al., 2003, 2010; Marathi et al., 2015; Dang et al., 2016; Zhou et al., 2017), 在水稻的9条染色体(除第8、9和10号染色体外)上检测到16个控制柱花总长度的QTLs (陈兰等, 2012; 刘强明, 2015; Liu et al., 2015; Marathi et al., 2015; Dang et al., 2016).仅见Liu等(2015)qSTL3精细定位于水稻第3号染色体短臂19.8 kb区间, Dang等(2020)将控制花柱长度的基因OsSYL2AA克隆.尚未见柱头性状基因功能分析等深层次的研究报道, 说明当前对于柱头性状的研究少而浅, 这可能正是导致至今未见分子标记辅助选择(marked-assisted selection, MAS)选育长柱头、高外露率不育系等育种材料报道的主要原因. ...

... ; Dang et al., 2016; Zhou et al., 2017)在水稻的11条染色体(除第11号染色体外)上检测到28个控制柱头长度的QTLs, 在水稻第1、2、3、4、6、7、10和11号染色体上检测到21个控制花柱长度的QTLs (Uga et al., 2003, 2010; Marathi et al., 2015; Dang et al., 2016; Zhou et al., 2017), 在水稻的9条染色体(除第8、9和10号染色体外)上检测到16个控制柱花总长度的QTLs (陈兰等, 2012; 刘强明, 2015; Liu et al., 2015; Marathi et al., 2015; Dang et al., 2016).仅见Liu等(2015)qSTL3精细定位于水稻第3号染色体短臂19.8 kb区间, Dang等(2020)将控制花柱长度的基因OsSYL2AA克隆.尚未见柱头性状基因功能分析等深层次的研究报道, 说明当前对于柱头性状的研究少而浅, 这可能正是导致至今未见分子标记辅助选择(marked-assisted selection, MAS)选育长柱头、高外露率不育系等育种材料报道的主要原因. ...

... ; Dang et al., 2016; Zhou et al., 2017), 在水稻的9条染色体(除第8、9和10号染色体外)上检测到16个控制柱花总长度的QTLs (陈兰等, 2012; 刘强明, 2015; Liu et al., 2015; Marathi et al., 2015; Dang et al., 2016).仅见Liu等(2015)qSTL3精细定位于水稻第3号染色体短臂19.8 kb区间, Dang等(2020)将控制花柱长度的基因OsSYL2AA克隆.尚未见柱头性状基因功能分析等深层次的研究报道, 说明当前对于柱头性状的研究少而浅, 这可能正是导致至今未见分子标记辅助选择(marked-assisted selection, MAS)选育长柱头、高外露率不育系等育种材料报道的主要原因. ...

... ; Dang et al., 2016).仅见Liu等(2015)qSTL3精细定位于水稻第3号染色体短臂19.8 kb区间, Dang等(2020)将控制花柱长度的基因OsSYL2AA克隆.尚未见柱头性状基因功能分析等深层次的研究报道, 说明当前对于柱头性状的研究少而浅, 这可能正是导致至今未见分子标记辅助选择(marked-assisted selection, MAS)选育长柱头、高外露率不育系等育种材料报道的主要原因. ...

... 本研究对由粳型光温敏核不育系7001S和籼型温敏核不育系Z913S杂交衍生的F2和F2:3群体的4个柱头性状STL、SYL、TSSL和PES进行相关性分析.结果表明, 4个性状间的相关性系数介于0.274-0.897之间, 均表现出极显著正相关, 说明柱头性状是复杂的综合性状.其中STL、SYL和TSSL两两间的相关系数均达0.43以上, 呈紧密相关, 这与Dang等(2016)Zhou等(2017)利用不同水稻材料构成的自然群体进行分析所得结果一致, 表明STL、SYL和TSSL可能由1个或多个相同或紧密连锁的基因位点(QTL)控制.F2和F2:3群体中TSSL和PES间的相关系数分别为0.383和0.365, 呈极显著正相关, 这与前人的研究结果一致(刘强明, 2015; Zhou et al., 2017).本研究还表明STL与PES间也表现极显著正相关.由于毛刷状柱头(柱头长度部分)是柱头接收外来花粉的器官, 因此柱头长度增加及柱头外露率提高必然导致水稻异交结实率增加, 从而促进杂交水稻制种产量增加(Miyata et al., 2007; 吴爽等, 2015). ...

... 目前, 对于柱头性状的研究主要集中于PES (Xiong et al., 1999; Uga et al., 2003; Yu et al., 2006; Miyata et al., 2007; Hu et al., 2009; Yan et al., 2009; 尹成等, 2014; Li et al., 2014; Rahman et al., 2016, 2017; 李威等, 2017; Zhang et al., 2018; Bakti and Tanaka, 2019; Liu et al., 2019), 而对柱头长度相关性状(STL (Marathi et al., 2015; Dang et al., 2016; Zhou et al., 2017)、SYL (Marathi et al., 2015; Dang et al., 2016, 2020; Zhou et al., 2017)和TSSL (Uga et al., 2003, 2010; Yan et al., 2009; 陈兰等, 2012; 刘强明, 2015; Liu et al., 2015; Marathi et al., 2015; Dang et al., 2016))的报道较少.因此, 对于4个柱头性状遗传效应的研究也主要集中于PES.从本研究的一阶遗传参数来看, PES以加性效应为主, 这与Yan等(2009)的研究结果一致.而STL、SYL和TSSL在不同群体中表现不尽相同.例如, STL在2个群体中均表现出以上位性效应为主, 加性效应和显性效应较小.对于SYL而言, F2群体中加性、显性和上位性效应并重, 而在F2:3群体中则表现出以加性效应为主.对于TSSL, F2群体中表现出以显性效应和上位性效应为主, 而在F2:3群体中则以加性效应为主, 这与刘强明(2015)利用CSSL群体分析得出TSSL以加性效应遗传为主的结果不尽一致, 表明柱头长度性状的遗传较PES更复杂.从二阶遗传参数来看, 4个性状在2个世代中的主基因遗传率介于63.64% (F2:3群体SYL)-92.13% (F2:3群体TSSL)之间, 多基因遗传率介于17.63% (F2群体PES)-25.00% (F2群体STL)之间, 表明这4个性状均以主基因遗传为主.但本研究同时也发现, 4个柱头性状中的多基因效应(加性效应和显性效应)也起较大作用, 如F2群体的TSSL, 其主基因效应(加性效应、显性效应和上位性效应)绝对值之和为1.18, 而其多基因效应(加性效应和显性效应)绝对值之和为1.04, 两者基本一致, 其它性状类似.以上结果说明柱头性状虽然属于数量性状, 受主效基因(主基因)和微效基因(多基因)共同控制, 但其同时又与水稻其它数量性状如株高(sd1) (Sasaki et al., 2002)、穗粒数(qSSP7) (Xing et al., 2008)和生育期(Ghd7) (Xue et al., 2008)存在差异, 即本研究中的4个柱头性状其主基因(主效基因)和多基因(微效基因)间的差异并不是很大, 而sd1qSSP7Ghd7等主效基因与之对应的微效基因相比其效应差异明显, 这也可能是导致当前柱头性状研究滞后的原因之一.在育种实践中, 籼型水稻的异交率远高于粳型, 尤其是在不育系方面, 这也是限制杂交粳稻和籼粳交杂交水稻推广种植的关键性因素.本研究利用核不育系籼粳交后代群体对4个柱头性状进行遗传解析, 为粳型不育系的改良提供了技术路线和理论基础.即育种家在高异交率粳型不育系选育过程中, 可将肉眼易辨的田间柱头外露率的直接观察与柱头长度性状的室内调查相结合, 通过筛选长柱头、高外露率进而提高粳型不育系的异交率.同时, 要统筹考虑主效基因和微效基因的影响, 及时开展早期有效的单株选择, 重点关注高代单株柱头性状的表现, 降低环境因素对柱头性状选择带来的干扰.4个柱头相关性状的主基因+多基因遗传分析是对其遗传组成、遗传规律特征及遗传参数进行全面剖析, 不仅可为粳型水稻柱头性状改良提供有益的指导, 也可为柱头性状的基因挖掘、功能分析和分子设计育种提供重要的理论依据. ...

... ; Dang et al., 2016, 2020; Zhou et al., 2017)和TSSL (Uga et al., 2003, 2010; Yan et al., 2009; 陈兰等, 2012; 刘强明, 2015; Liu et al., 2015; Marathi et al., 2015; Dang et al., 2016))的报道较少.因此, 对于4个柱头性状遗传效应的研究也主要集中于PES.从本研究的一阶遗传参数来看, PES以加性效应为主, 这与Yan等(2009)的研究结果一致.而STL、SYL和TSSL在不同群体中表现不尽相同.例如, STL在2个群体中均表现出以上位性效应为主, 加性效应和显性效应较小.对于SYL而言, F2群体中加性、显性和上位性效应并重, 而在F2:3群体中则表现出以加性效应为主.对于TSSL, F2群体中表现出以显性效应和上位性效应为主, 而在F2:3群体中则以加性效应为主, 这与刘强明(2015)利用CSSL群体分析得出TSSL以加性效应遗传为主的结果不尽一致, 表明柱头长度性状的遗传较PES更复杂.从二阶遗传参数来看, 4个性状在2个世代中的主基因遗传率介于63.64% (F2:3群体SYL)-92.13% (F2:3群体TSSL)之间, 多基因遗传率介于17.63% (F2群体PES)-25.00% (F2群体STL)之间, 表明这4个性状均以主基因遗传为主.但本研究同时也发现, 4个柱头性状中的多基因效应(加性效应和显性效应)也起较大作用, 如F2群体的TSSL, 其主基因效应(加性效应、显性效应和上位性效应)绝对值之和为1.18, 而其多基因效应(加性效应和显性效应)绝对值之和为1.04, 两者基本一致, 其它性状类似.以上结果说明柱头性状虽然属于数量性状, 受主效基因(主基因)和微效基因(多基因)共同控制, 但其同时又与水稻其它数量性状如株高(sd1) (Sasaki et al., 2002)、穗粒数(qSSP7) (Xing et al., 2008)和生育期(Ghd7) (Xue et al., 2008)存在差异, 即本研究中的4个柱头性状其主基因(主效基因)和多基因(微效基因)间的差异并不是很大, 而sd1qSSP7Ghd7等主效基因与之对应的微效基因相比其效应差异明显, 这也可能是导致当前柱头性状研究滞后的原因之一.在育种实践中, 籼型水稻的异交率远高于粳型, 尤其是在不育系方面, 这也是限制杂交粳稻和籼粳交杂交水稻推广种植的关键性因素.本研究利用核不育系籼粳交后代群体对4个柱头性状进行遗传解析, 为粳型不育系的改良提供了技术路线和理论基础.即育种家在高异交率粳型不育系选育过程中, 可将肉眼易辨的田间柱头外露率的直接观察与柱头长度性状的室内调查相结合, 通过筛选长柱头、高外露率进而提高粳型不育系的异交率.同时, 要统筹考虑主效基因和微效基因的影响, 及时开展早期有效的单株选择, 重点关注高代单株柱头性状的表现, 降低环境因素对柱头性状选择带来的干扰.4个柱头相关性状的主基因+多基因遗传分析是对其遗传组成、遗传规律特征及遗传参数进行全面剖析, 不仅可为粳型水稻柱头性状改良提供有益的指导, 也可为柱头性状的基因挖掘、功能分析和分子设计育种提供重要的理论依据. ...

... ; Dang et al., 2016))的报道较少.因此, 对于4个柱头性状遗传效应的研究也主要集中于PES.从本研究的一阶遗传参数来看, PES以加性效应为主, 这与Yan等(2009)的研究结果一致.而STL、SYL和TSSL在不同群体中表现不尽相同.例如, STL在2个群体中均表现出以上位性效应为主, 加性效应和显性效应较小.对于SYL而言, F2群体中加性、显性和上位性效应并重, 而在F2:3群体中则表现出以加性效应为主.对于TSSL, F2群体中表现出以显性效应和上位性效应为主, 而在F2:3群体中则以加性效应为主, 这与刘强明(2015)利用CSSL群体分析得出TSSL以加性效应遗传为主的结果不尽一致, 表明柱头长度性状的遗传较PES更复杂.从二阶遗传参数来看, 4个性状在2个世代中的主基因遗传率介于63.64% (F2:3群体SYL)-92.13% (F2:3群体TSSL)之间, 多基因遗传率介于17.63% (F2群体PES)-25.00% (F2群体STL)之间, 表明这4个性状均以主基因遗传为主.但本研究同时也发现, 4个柱头性状中的多基因效应(加性效应和显性效应)也起较大作用, 如F2群体的TSSL, 其主基因效应(加性效应、显性效应和上位性效应)绝对值之和为1.18, 而其多基因效应(加性效应和显性效应)绝对值之和为1.04, 两者基本一致, 其它性状类似.以上结果说明柱头性状虽然属于数量性状, 受主效基因(主基因)和微效基因(多基因)共同控制, 但其同时又与水稻其它数量性状如株高(sd1) (Sasaki et al., 2002)、穗粒数(qSSP7) (Xing et al., 2008)和生育期(Ghd7) (Xue et al., 2008)存在差异, 即本研究中的4个柱头性状其主基因(主效基因)和多基因(微效基因)间的差异并不是很大, 而sd1qSSP7Ghd7等主效基因与之对应的微效基因相比其效应差异明显, 这也可能是导致当前柱头性状研究滞后的原因之一.在育种实践中, 籼型水稻的异交率远高于粳型, 尤其是在不育系方面, 这也是限制杂交粳稻和籼粳交杂交水稻推广种植的关键性因素.本研究利用核不育系籼粳交后代群体对4个柱头性状进行遗传解析, 为粳型不育系的改良提供了技术路线和理论基础.即育种家在高异交率粳型不育系选育过程中, 可将肉眼易辨的田间柱头外露率的直接观察与柱头长度性状的室内调查相结合, 通过筛选长柱头、高外露率进而提高粳型不育系的异交率.同时, 要统筹考虑主效基因和微效基因的影响, 及时开展早期有效的单株选择, 重点关注高代单株柱头性状的表现, 降低环境因素对柱头性状选择带来的干扰.4个柱头相关性状的主基因+多基因遗传分析是对其遗传组成、遗传规律特征及遗传参数进行全面剖析, 不仅可为粳型水稻柱头性状改良提供有益的指导, 也可为柱头性状的基因挖掘、功能分析和分子设计育种提供重要的理论依据. ...

OsSYL2 AA, an allele identified by gene-based association, increases style length in rice (Oryza sativa L.)
2
2020

... 柱头性状主要包括柱头长度、花柱长度、柱花总长度和柱头外露率(单外露率、双外露率和总外露率)等.研究发现, 柱头性状间存在紧密联系, 如柱花总长度与柱头外露率呈显著(Virmani and Athwal, 1973; Miyata et al., 2007; Takano-Kai et al., 2011)或极显著(刘强明, 2015; Zhou et al., 2017)正相关, 柱头长度、花柱长度和柱花总长度间也表现出极显著正相关(Dang et al., 2016; Zhou et al., 2017).但当前对于柱头性状的研究远远落后于水稻其它性状(如米质性状) (Wang et al., 2012)、农艺性状(Li et al., 2013; Zhou et al., 2013)以及抗性(Zheng et al., 2013).目前, 对柱头性状的研究多集中于柱头外露率的QTL定位, 研究者利用不同群体检测到112个控制柱头外露率的QTLs (Xiong et al., 1999; Uga et al., 2003; Yu et al., 2006; Miyata et al., 2007; Hu et al., 2009; Yan et al., 2009; Li et al., 2014; 尹成等, 2014; Rahman et al., 2016, 2017; 李威等, 2017; Zhang et al., 2018; Bakti and Tanaka, 2019; Liu et al., 2019), 而其中仅3个QTLs (qSE7 (Rahman et al., 2017)、qSE11 (Zhang et al., 2018)和qSER-7 (Liu et al., 2019))被精细定位.对于柱头长度相关性状的报道则较少.研究者利用重组自交系(recombination inbred line, RIL) (Uga et al., 2003, 2010), F2、回交重组自交系(backcross inbred line, BIL)和双单倍体(doubled haploid line, DH)群体(Uga et al., 2010)以及自然群体(Yan et al., 2009; Marathi et al., 2015; Dang et al., 2016; Zhou et al., 2017)在水稻的11条染色体(除第11号染色体外)上检测到28个控制柱头长度的QTLs, 在水稻第1、2、3、4、6、7、10和11号染色体上检测到21个控制花柱长度的QTLs (Uga et al., 2003, 2010; Marathi et al., 2015; Dang et al., 2016; Zhou et al., 2017), 在水稻的9条染色体(除第8、9和10号染色体外)上检测到16个控制柱花总长度的QTLs (陈兰等, 2012; 刘强明, 2015; Liu et al., 2015; Marathi et al., 2015; Dang et al., 2016).仅见Liu等(2015)qSTL3精细定位于水稻第3号染色体短臂19.8 kb区间, Dang等(2020)将控制花柱长度的基因OsSYL2AA克隆.尚未见柱头性状基因功能分析等深层次的研究报道, 说明当前对于柱头性状的研究少而浅, 这可能正是导致至今未见分子标记辅助选择(marked-assisted selection, MAS)选育长柱头、高外露率不育系等育种材料报道的主要原因. ...

... 目前, 对于柱头性状的研究主要集中于PES (Xiong et al., 1999; Uga et al., 2003; Yu et al., 2006; Miyata et al., 2007; Hu et al., 2009; Yan et al., 2009; 尹成等, 2014; Li et al., 2014; Rahman et al., 2016, 2017; 李威等, 2017; Zhang et al., 2018; Bakti and Tanaka, 2019; Liu et al., 2019), 而对柱头长度相关性状(STL (Marathi et al., 2015; Dang et al., 2016; Zhou et al., 2017)、SYL (Marathi et al., 2015; Dang et al., 2016, 2020; Zhou et al., 2017)和TSSL (Uga et al., 2003, 2010; Yan et al., 2009; 陈兰等, 2012; 刘强明, 2015; Liu et al., 2015; Marathi et al., 2015; Dang et al., 2016))的报道较少.因此, 对于4个柱头性状遗传效应的研究也主要集中于PES.从本研究的一阶遗传参数来看, PES以加性效应为主, 这与Yan等(2009)的研究结果一致.而STL、SYL和TSSL在不同群体中表现不尽相同.例如, STL在2个群体中均表现出以上位性效应为主, 加性效应和显性效应较小.对于SYL而言, F2群体中加性、显性和上位性效应并重, 而在F2:3群体中则表现出以加性效应为主.对于TSSL, F2群体中表现出以显性效应和上位性效应为主, 而在F2:3群体中则以加性效应为主, 这与刘强明(2015)利用CSSL群体分析得出TSSL以加性效应遗传为主的结果不尽一致, 表明柱头长度性状的遗传较PES更复杂.从二阶遗传参数来看, 4个性状在2个世代中的主基因遗传率介于63.64% (F2:3群体SYL)-92.13% (F2:3群体TSSL)之间, 多基因遗传率介于17.63% (F2群体PES)-25.00% (F2群体STL)之间, 表明这4个性状均以主基因遗传为主.但本研究同时也发现, 4个柱头性状中的多基因效应(加性效应和显性效应)也起较大作用, 如F2群体的TSSL, 其主基因效应(加性效应、显性效应和上位性效应)绝对值之和为1.18, 而其多基因效应(加性效应和显性效应)绝对值之和为1.04, 两者基本一致, 其它性状类似.以上结果说明柱头性状虽然属于数量性状, 受主效基因(主基因)和微效基因(多基因)共同控制, 但其同时又与水稻其它数量性状如株高(sd1) (Sasaki et al., 2002)、穗粒数(qSSP7) (Xing et al., 2008)和生育期(Ghd7) (Xue et al., 2008)存在差异, 即本研究中的4个柱头性状其主基因(主效基因)和多基因(微效基因)间的差异并不是很大, 而sd1qSSP7Ghd7等主效基因与之对应的微效基因相比其效应差异明显, 这也可能是导致当前柱头性状研究滞后的原因之一.在育种实践中, 籼型水稻的异交率远高于粳型, 尤其是在不育系方面, 这也是限制杂交粳稻和籼粳交杂交水稻推广种植的关键性因素.本研究利用核不育系籼粳交后代群体对4个柱头性状进行遗传解析, 为粳型不育系的改良提供了技术路线和理论基础.即育种家在高异交率粳型不育系选育过程中, 可将肉眼易辨的田间柱头外露率的直接观察与柱头长度性状的室内调查相结合, 通过筛选长柱头、高外露率进而提高粳型不育系的异交率.同时, 要统筹考虑主效基因和微效基因的影响, 及时开展早期有效的单株选择, 重点关注高代单株柱头性状的表现, 降低环境因素对柱头性状选择带来的干扰.4个柱头相关性状的主基因+多基因遗传分析是对其遗传组成、遗传规律特征及遗传参数进行全面剖析, 不仅可为粳型水稻柱头性状改良提供有益的指导, 也可为柱头性状的基因挖掘、功能分析和分子设计育种提供重要的理论依据. ...

QTL analysis of floral traits of rice (Oryza sativa L.) under well-watered and drought stress conditions
2
2009

... 柱头性状主要包括柱头长度、花柱长度、柱花总长度和柱头外露率(单外露率、双外露率和总外露率)等.研究发现, 柱头性状间存在紧密联系, 如柱花总长度与柱头外露率呈显著(Virmani and Athwal, 1973; Miyata et al., 2007; Takano-Kai et al., 2011)或极显著(刘强明, 2015; Zhou et al., 2017)正相关, 柱头长度、花柱长度和柱花总长度间也表现出极显著正相关(Dang et al., 2016; Zhou et al., 2017).但当前对于柱头性状的研究远远落后于水稻其它性状(如米质性状) (Wang et al., 2012)、农艺性状(Li et al., 2013; Zhou et al., 2013)以及抗性(Zheng et al., 2013).目前, 对柱头性状的研究多集中于柱头外露率的QTL定位, 研究者利用不同群体检测到112个控制柱头外露率的QTLs (Xiong et al., 1999; Uga et al., 2003; Yu et al., 2006; Miyata et al., 2007; Hu et al., 2009; Yan et al., 2009; Li et al., 2014; 尹成等, 2014; Rahman et al., 2016, 2017; 李威等, 2017; Zhang et al., 2018; Bakti and Tanaka, 2019; Liu et al., 2019), 而其中仅3个QTLs (qSE7 (Rahman et al., 2017)、qSE11 (Zhang et al., 2018)和qSER-7 (Liu et al., 2019))被精细定位.对于柱头长度相关性状的报道则较少.研究者利用重组自交系(recombination inbred line, RIL) (Uga et al., 2003, 2010), F2、回交重组自交系(backcross inbred line, BIL)和双单倍体(doubled haploid line, DH)群体(Uga et al., 2010)以及自然群体(Yan et al., 2009; Marathi et al., 2015; Dang et al., 2016; Zhou et al., 2017)在水稻的11条染色体(除第11号染色体外)上检测到28个控制柱头长度的QTLs, 在水稻第1、2、3、4、6、7、10和11号染色体上检测到21个控制花柱长度的QTLs (Uga et al., 2003, 2010; Marathi et al., 2015; Dang et al., 2016; Zhou et al., 2017), 在水稻的9条染色体(除第8、9和10号染色体外)上检测到16个控制柱花总长度的QTLs (陈兰等, 2012; 刘强明, 2015; Liu et al., 2015; Marathi et al., 2015; Dang et al., 2016).仅见Liu等(2015)qSTL3精细定位于水稻第3号染色体短臂19.8 kb区间, Dang等(2020)将控制花柱长度的基因OsSYL2AA克隆.尚未见柱头性状基因功能分析等深层次的研究报道, 说明当前对于柱头性状的研究少而浅, 这可能正是导致至今未见分子标记辅助选择(marked-assisted selection, MAS)选育长柱头、高外露率不育系等育种材料报道的主要原因. ...

... 目前, 对于柱头性状的研究主要集中于PES (Xiong et al., 1999; Uga et al., 2003; Yu et al., 2006; Miyata et al., 2007; Hu et al., 2009; Yan et al., 2009; 尹成等, 2014; Li et al., 2014; Rahman et al., 2016, 2017; 李威等, 2017; Zhang et al., 2018; Bakti and Tanaka, 2019; Liu et al., 2019), 而对柱头长度相关性状(STL (Marathi et al., 2015; Dang et al., 2016; Zhou et al., 2017)、SYL (Marathi et al., 2015; Dang et al., 2016, 2020; Zhou et al., 2017)和TSSL (Uga et al., 2003, 2010; Yan et al., 2009; 陈兰等, 2012; 刘强明, 2015; Liu et al., 2015; Marathi et al., 2015; Dang et al., 2016))的报道较少.因此, 对于4个柱头性状遗传效应的研究也主要集中于PES.从本研究的一阶遗传参数来看, PES以加性效应为主, 这与Yan等(2009)的研究结果一致.而STL、SYL和TSSL在不同群体中表现不尽相同.例如, STL在2个群体中均表现出以上位性效应为主, 加性效应和显性效应较小.对于SYL而言, F2群体中加性、显性和上位性效应并重, 而在F2:3群体中则表现出以加性效应为主.对于TSSL, F2群体中表现出以显性效应和上位性效应为主, 而在F2:3群体中则以加性效应为主, 这与刘强明(2015)利用CSSL群体分析得出TSSL以加性效应遗传为主的结果不尽一致, 表明柱头长度性状的遗传较PES更复杂.从二阶遗传参数来看, 4个性状在2个世代中的主基因遗传率介于63.64% (F2:3群体SYL)-92.13% (F2:3群体TSSL)之间, 多基因遗传率介于17.63% (F2群体PES)-25.00% (F2群体STL)之间, 表明这4个性状均以主基因遗传为主.但本研究同时也发现, 4个柱头性状中的多基因效应(加性效应和显性效应)也起较大作用, 如F2群体的TSSL, 其主基因效应(加性效应、显性效应和上位性效应)绝对值之和为1.18, 而其多基因效应(加性效应和显性效应)绝对值之和为1.04, 两者基本一致, 其它性状类似.以上结果说明柱头性状虽然属于数量性状, 受主效基因(主基因)和微效基因(多基因)共同控制, 但其同时又与水稻其它数量性状如株高(sd1) (Sasaki et al., 2002)、穗粒数(qSSP7) (Xing et al., 2008)和生育期(Ghd7) (Xue et al., 2008)存在差异, 即本研究中的4个柱头性状其主基因(主效基因)和多基因(微效基因)间的差异并不是很大, 而sd1qSSP7Ghd7等主效基因与之对应的微效基因相比其效应差异明显, 这也可能是导致当前柱头性状研究滞后的原因之一.在育种实践中, 籼型水稻的异交率远高于粳型, 尤其是在不育系方面, 这也是限制杂交粳稻和籼粳交杂交水稻推广种植的关键性因素.本研究利用核不育系籼粳交后代群体对4个柱头性状进行遗传解析, 为粳型不育系的改良提供了技术路线和理论基础.即育种家在高异交率粳型不育系选育过程中, 可将肉眼易辨的田间柱头外露率的直接观察与柱头长度性状的室内调查相结合, 通过筛选长柱头、高外露率进而提高粳型不育系的异交率.同时, 要统筹考虑主效基因和微效基因的影响, 及时开展早期有效的单株选择, 重点关注高代单株柱头性状的表现, 降低环境因素对柱头性状选择带来的干扰.4个柱头相关性状的主基因+多基因遗传分析是对其遗传组成、遗传规律特征及遗传参数进行全面剖析, 不仅可为粳型水稻柱头性状改良提供有益的指导, 也可为柱头性状的基因挖掘、功能分析和分子设计育种提供重要的理论依据. ...

Genetic mapping and validation of quantitative trait loci for stigma exsertion rate in rice
2
2014

... 柱头性状主要包括柱头长度、花柱长度、柱花总长度和柱头外露率(单外露率、双外露率和总外露率)等.研究发现, 柱头性状间存在紧密联系, 如柱花总长度与柱头外露率呈显著(Virmani and Athwal, 1973; Miyata et al., 2007; Takano-Kai et al., 2011)或极显著(刘强明, 2015; Zhou et al., 2017)正相关, 柱头长度、花柱长度和柱花总长度间也表现出极显著正相关(Dang et al., 2016; Zhou et al., 2017).但当前对于柱头性状的研究远远落后于水稻其它性状(如米质性状) (Wang et al., 2012)、农艺性状(Li et al., 2013; Zhou et al., 2013)以及抗性(Zheng et al., 2013).目前, 对柱头性状的研究多集中于柱头外露率的QTL定位, 研究者利用不同群体检测到112个控制柱头外露率的QTLs (Xiong et al., 1999; Uga et al., 2003; Yu et al., 2006; Miyata et al., 2007; Hu et al., 2009; Yan et al., 2009; Li et al., 2014; 尹成等, 2014; Rahman et al., 2016, 2017; 李威等, 2017; Zhang et al., 2018; Bakti and Tanaka, 2019; Liu et al., 2019), 而其中仅3个QTLs (qSE7 (Rahman et al., 2017)、qSE11 (Zhang et al., 2018)和qSER-7 (Liu et al., 2019))被精细定位.对于柱头长度相关性状的报道则较少.研究者利用重组自交系(recombination inbred line, RIL) (Uga et al., 2003, 2010), F2、回交重组自交系(backcross inbred line, BIL)和双单倍体(doubled haploid line, DH)群体(Uga et al., 2010)以及自然群体(Yan et al., 2009; Marathi et al., 2015; Dang et al., 2016; Zhou et al., 2017)在水稻的11条染色体(除第11号染色体外)上检测到28个控制柱头长度的QTLs, 在水稻第1、2、3、4、6、7、10和11号染色体上检测到21个控制花柱长度的QTLs (Uga et al., 2003, 2010; Marathi et al., 2015; Dang et al., 2016; Zhou et al., 2017), 在水稻的9条染色体(除第8、9和10号染色体外)上检测到16个控制柱花总长度的QTLs (陈兰等, 2012; 刘强明, 2015; Liu et al., 2015; Marathi et al., 2015; Dang et al., 2016).仅见Liu等(2015)qSTL3精细定位于水稻第3号染色体短臂19.8 kb区间, Dang等(2020)将控制花柱长度的基因OsSYL2AA克隆.尚未见柱头性状基因功能分析等深层次的研究报道, 说明当前对于柱头性状的研究少而浅, 这可能正是导致至今未见分子标记辅助选择(marked-assisted selection, MAS)选育长柱头、高外露率不育系等育种材料报道的主要原因. ...

... 目前, 对于柱头性状的研究主要集中于PES (Xiong et al., 1999; Uga et al., 2003; Yu et al., 2006; Miyata et al., 2007; Hu et al., 2009; Yan et al., 2009; 尹成等, 2014; Li et al., 2014; Rahman et al., 2016, 2017; 李威等, 2017; Zhang et al., 2018; Bakti and Tanaka, 2019; Liu et al., 2019), 而对柱头长度相关性状(STL (Marathi et al., 2015; Dang et al., 2016; Zhou et al., 2017)、SYL (Marathi et al., 2015; Dang et al., 2016, 2020; Zhou et al., 2017)和TSSL (Uga et al., 2003, 2010; Yan et al., 2009; 陈兰等, 2012; 刘强明, 2015; Liu et al., 2015; Marathi et al., 2015; Dang et al., 2016))的报道较少.因此, 对于4个柱头性状遗传效应的研究也主要集中于PES.从本研究的一阶遗传参数来看, PES以加性效应为主, 这与Yan等(2009)的研究结果一致.而STL、SYL和TSSL在不同群体中表现不尽相同.例如, STL在2个群体中均表现出以上位性效应为主, 加性效应和显性效应较小.对于SYL而言, F2群体中加性、显性和上位性效应并重, 而在F2:3群体中则表现出以加性效应为主.对于TSSL, F2群体中表现出以显性效应和上位性效应为主, 而在F2:3群体中则以加性效应为主, 这与刘强明(2015)利用CSSL群体分析得出TSSL以加性效应遗传为主的结果不尽一致, 表明柱头长度性状的遗传较PES更复杂.从二阶遗传参数来看, 4个性状在2个世代中的主基因遗传率介于63.64% (F2:3群体SYL)-92.13% (F2:3群体TSSL)之间, 多基因遗传率介于17.63% (F2群体PES)-25.00% (F2群体STL)之间, 表明这4个性状均以主基因遗传为主.但本研究同时也发现, 4个柱头性状中的多基因效应(加性效应和显性效应)也起较大作用, 如F2群体的TSSL, 其主基因效应(加性效应、显性效应和上位性效应)绝对值之和为1.18, 而其多基因效应(加性效应和显性效应)绝对值之和为1.04, 两者基本一致, 其它性状类似.以上结果说明柱头性状虽然属于数量性状, 受主效基因(主基因)和微效基因(多基因)共同控制, 但其同时又与水稻其它数量性状如株高(sd1) (Sasaki et al., 2002)、穗粒数(qSSP7) (Xing et al., 2008)和生育期(Ghd7) (Xue et al., 2008)存在差异, 即本研究中的4个柱头性状其主基因(主效基因)和多基因(微效基因)间的差异并不是很大, 而sd1qSSP7Ghd7等主效基因与之对应的微效基因相比其效应差异明显, 这也可能是导致当前柱头性状研究滞后的原因之一.在育种实践中, 籼型水稻的异交率远高于粳型, 尤其是在不育系方面, 这也是限制杂交粳稻和籼粳交杂交水稻推广种植的关键性因素.本研究利用核不育系籼粳交后代群体对4个柱头性状进行遗传解析, 为粳型不育系的改良提供了技术路线和理论基础.即育种家在高异交率粳型不育系选育过程中, 可将肉眼易辨的田间柱头外露率的直接观察与柱头长度性状的室内调查相结合, 通过筛选长柱头、高外露率进而提高粳型不育系的异交率.同时, 要统筹考虑主效基因和微效基因的影响, 及时开展早期有效的单株选择, 重点关注高代单株柱头性状的表现, 降低环境因素对柱头性状选择带来的干扰.4个柱头相关性状的主基因+多基因遗传分析是对其遗传组成、遗传规律特征及遗传参数进行全面剖析, 不仅可为粳型水稻柱头性状改良提供有益的指导, 也可为柱头性状的基因挖掘、功能分析和分子设计育种提供重要的理论依据. ...

Natural variation in PTB1 regulates rice seed setting rate by controlling pollen tube growth
1
2013

... 柱头性状主要包括柱头长度、花柱长度、柱花总长度和柱头外露率(单外露率、双外露率和总外露率)等.研究发现, 柱头性状间存在紧密联系, 如柱花总长度与柱头外露率呈显著(Virmani and Athwal, 1973; Miyata et al., 2007; Takano-Kai et al., 2011)或极显著(刘强明, 2015; Zhou et al., 2017)正相关, 柱头长度、花柱长度和柱花总长度间也表现出极显著正相关(Dang et al., 2016; Zhou et al., 2017).但当前对于柱头性状的研究远远落后于水稻其它性状(如米质性状) (Wang et al., 2012)、农艺性状(Li et al., 2013; Zhou et al., 2013)以及抗性(Zheng et al., 2013).目前, 对柱头性状的研究多集中于柱头外露率的QTL定位, 研究者利用不同群体检测到112个控制柱头外露率的QTLs (Xiong et al., 1999; Uga et al., 2003; Yu et al., 2006; Miyata et al., 2007; Hu et al., 2009; Yan et al., 2009; Li et al., 2014; 尹成等, 2014; Rahman et al., 2016, 2017; 李威等, 2017; Zhang et al., 2018; Bakti and Tanaka, 2019; Liu et al., 2019), 而其中仅3个QTLs (qSE7 (Rahman et al., 2017)、qSE11 (Zhang et al., 2018)和qSER-7 (Liu et al., 2019))被精细定位.对于柱头长度相关性状的报道则较少.研究者利用重组自交系(recombination inbred line, RIL) (Uga et al., 2003, 2010), F2、回交重组自交系(backcross inbred line, BIL)和双单倍体(doubled haploid line, DH)群体(Uga et al., 2010)以及自然群体(Yan et al., 2009; Marathi et al., 2015; Dang et al., 2016; Zhou et al., 2017)在水稻的11条染色体(除第11号染色体外)上检测到28个控制柱头长度的QTLs, 在水稻第1、2、3、4、6、7、10和11号染色体上检测到21个控制花柱长度的QTLs (Uga et al., 2003, 2010; Marathi et al., 2015; Dang et al., 2016; Zhou et al., 2017), 在水稻的9条染色体(除第8、9和10号染色体外)上检测到16个控制柱花总长度的QTLs (陈兰等, 2012; 刘强明, 2015; Liu et al., 2015; Marathi et al., 2015; Dang et al., 2016).仅见Liu等(2015)qSTL3精细定位于水稻第3号染色体短臂19.8 kb区间, Dang等(2020)将控制花柱长度的基因OsSYL2AA克隆.尚未见柱头性状基因功能分析等深层次的研究报道, 说明当前对于柱头性状的研究少而浅, 这可能正是导致至今未见分子标记辅助选择(marked-assisted selection, MAS)选育长柱头、高外露率不育系等育种材料报道的主要原因. ...

Fine mapping and candidate gene analysis of qSTL3, a stigma length-conditioning locus in rice(Oryza sativa L.)
3
2015

... 柱头性状主要包括柱头长度、花柱长度、柱花总长度和柱头外露率(单外露率、双外露率和总外露率)等.研究发现, 柱头性状间存在紧密联系, 如柱花总长度与柱头外露率呈显著(Virmani and Athwal, 1973; Miyata et al., 2007; Takano-Kai et al., 2011)或极显著(刘强明, 2015; Zhou et al., 2017)正相关, 柱头长度、花柱长度和柱花总长度间也表现出极显著正相关(Dang et al., 2016; Zhou et al., 2017).但当前对于柱头性状的研究远远落后于水稻其它性状(如米质性状) (Wang et al., 2012)、农艺性状(Li et al., 2013; Zhou et al., 2013)以及抗性(Zheng et al., 2013).目前, 对柱头性状的研究多集中于柱头外露率的QTL定位, 研究者利用不同群体检测到112个控制柱头外露率的QTLs (Xiong et al., 1999; Uga et al., 2003; Yu et al., 2006; Miyata et al., 2007; Hu et al., 2009; Yan et al., 2009; Li et al., 2014; 尹成等, 2014; Rahman et al., 2016, 2017; 李威等, 2017; Zhang et al., 2018; Bakti and Tanaka, 2019; Liu et al., 2019), 而其中仅3个QTLs (qSE7 (Rahman et al., 2017)、qSE11 (Zhang et al., 2018)和qSER-7 (Liu et al., 2019))被精细定位.对于柱头长度相关性状的报道则较少.研究者利用重组自交系(recombination inbred line, RIL) (Uga et al., 2003, 2010), F2、回交重组自交系(backcross inbred line, BIL)和双单倍体(doubled haploid line, DH)群体(Uga et al., 2010)以及自然群体(Yan et al., 2009; Marathi et al., 2015; Dang et al., 2016; Zhou et al., 2017)在水稻的11条染色体(除第11号染色体外)上检测到28个控制柱头长度的QTLs, 在水稻第1、2、3、4、6、7、10和11号染色体上检测到21个控制花柱长度的QTLs (Uga et al., 2003, 2010; Marathi et al., 2015; Dang et al., 2016; Zhou et al., 2017), 在水稻的9条染色体(除第8、9和10号染色体外)上检测到16个控制柱花总长度的QTLs (陈兰等, 2012; 刘强明, 2015; Liu et al., 2015; Marathi et al., 2015; Dang et al., 2016).仅见Liu等(2015)qSTL3精细定位于水稻第3号染色体短臂19.8 kb区间, Dang等(2020)将控制花柱长度的基因OsSYL2AA克隆.尚未见柱头性状基因功能分析等深层次的研究报道, 说明当前对于柱头性状的研究少而浅, 这可能正是导致至今未见分子标记辅助选择(marked-assisted selection, MAS)选育长柱头、高外露率不育系等育种材料报道的主要原因. ...

... ).仅见Liu等(2015)qSTL3精细定位于水稻第3号染色体短臂19.8 kb区间, Dang等(2020)将控制花柱长度的基因OsSYL2AA克隆.尚未见柱头性状基因功能分析等深层次的研究报道, 说明当前对于柱头性状的研究少而浅, 这可能正是导致至今未见分子标记辅助选择(marked-assisted selection, MAS)选育长柱头、高外露率不育系等育种材料报道的主要原因. ...

... 目前, 对于柱头性状的研究主要集中于PES (Xiong et al., 1999; Uga et al., 2003; Yu et al., 2006; Miyata et al., 2007; Hu et al., 2009; Yan et al., 2009; 尹成等, 2014; Li et al., 2014; Rahman et al., 2016, 2017; 李威等, 2017; Zhang et al., 2018; Bakti and Tanaka, 2019; Liu et al., 2019), 而对柱头长度相关性状(STL (Marathi et al., 2015; Dang et al., 2016; Zhou et al., 2017)、SYL (Marathi et al., 2015; Dang et al., 2016, 2020; Zhou et al., 2017)和TSSL (Uga et al., 2003, 2010; Yan et al., 2009; 陈兰等, 2012; 刘强明, 2015; Liu et al., 2015; Marathi et al., 2015; Dang et al., 2016))的报道较少.因此, 对于4个柱头性状遗传效应的研究也主要集中于PES.从本研究的一阶遗传参数来看, PES以加性效应为主, 这与Yan等(2009)的研究结果一致.而STL、SYL和TSSL在不同群体中表现不尽相同.例如, STL在2个群体中均表现出以上位性效应为主, 加性效应和显性效应较小.对于SYL而言, F2群体中加性、显性和上位性效应并重, 而在F2:3群体中则表现出以加性效应为主.对于TSSL, F2群体中表现出以显性效应和上位性效应为主, 而在F2:3群体中则以加性效应为主, 这与刘强明(2015)利用CSSL群体分析得出TSSL以加性效应遗传为主的结果不尽一致, 表明柱头长度性状的遗传较PES更复杂.从二阶遗传参数来看, 4个性状在2个世代中的主基因遗传率介于63.64% (F2:3群体SYL)-92.13% (F2:3群体TSSL)之间, 多基因遗传率介于17.63% (F2群体PES)-25.00% (F2群体STL)之间, 表明这4个性状均以主基因遗传为主.但本研究同时也发现, 4个柱头性状中的多基因效应(加性效应和显性效应)也起较大作用, 如F2群体的TSSL, 其主基因效应(加性效应、显性效应和上位性效应)绝对值之和为1.18, 而其多基因效应(加性效应和显性效应)绝对值之和为1.04, 两者基本一致, 其它性状类似.以上结果说明柱头性状虽然属于数量性状, 受主效基因(主基因)和微效基因(多基因)共同控制, 但其同时又与水稻其它数量性状如株高(sd1) (Sasaki et al., 2002)、穗粒数(qSSP7) (Xing et al., 2008)和生育期(Ghd7) (Xue et al., 2008)存在差异, 即本研究中的4个柱头性状其主基因(主效基因)和多基因(微效基因)间的差异并不是很大, 而sd1qSSP7Ghd7等主效基因与之对应的微效基因相比其效应差异明显, 这也可能是导致当前柱头性状研究滞后的原因之一.在育种实践中, 籼型水稻的异交率远高于粳型, 尤其是在不育系方面, 这也是限制杂交粳稻和籼粳交杂交水稻推广种植的关键性因素.本研究利用核不育系籼粳交后代群体对4个柱头性状进行遗传解析, 为粳型不育系的改良提供了技术路线和理论基础.即育种家在高异交率粳型不育系选育过程中, 可将肉眼易辨的田间柱头外露率的直接观察与柱头长度性状的室内调查相结合, 通过筛选长柱头、高外露率进而提高粳型不育系的异交率.同时, 要统筹考虑主效基因和微效基因的影响, 及时开展早期有效的单株选择, 重点关注高代单株柱头性状的表现, 降低环境因素对柱头性状选择带来的干扰.4个柱头相关性状的主基因+多基因遗传分析是对其遗传组成、遗传规律特征及遗传参数进行全面剖析, 不仅可为粳型水稻柱头性状改良提供有益的指导, 也可为柱头性状的基因挖掘、功能分析和分子设计育种提供重要的理论依据. ...

Fine mapping a quantitative trait locus, qSER-7, that controls stigma exsertion rate in rice(Oryza sativa L.)
4
2019

... 柱头性状主要包括柱头长度、花柱长度、柱花总长度和柱头外露率(单外露率、双外露率和总外露率)等.研究发现, 柱头性状间存在紧密联系, 如柱花总长度与柱头外露率呈显著(Virmani and Athwal, 1973; Miyata et al., 2007; Takano-Kai et al., 2011)或极显著(刘强明, 2015; Zhou et al., 2017)正相关, 柱头长度、花柱长度和柱花总长度间也表现出极显著正相关(Dang et al., 2016; Zhou et al., 2017).但当前对于柱头性状的研究远远落后于水稻其它性状(如米质性状) (Wang et al., 2012)、农艺性状(Li et al., 2013; Zhou et al., 2013)以及抗性(Zheng et al., 2013).目前, 对柱头性状的研究多集中于柱头外露率的QTL定位, 研究者利用不同群体检测到112个控制柱头外露率的QTLs (Xiong et al., 1999; Uga et al., 2003; Yu et al., 2006; Miyata et al., 2007; Hu et al., 2009; Yan et al., 2009; Li et al., 2014; 尹成等, 2014; Rahman et al., 2016, 2017; 李威等, 2017; Zhang et al., 2018; Bakti and Tanaka, 2019; Liu et al., 2019), 而其中仅3个QTLs (qSE7 (Rahman et al., 2017)、qSE11 (Zhang et al., 2018)和qSER-7 (Liu et al., 2019))被精细定位.对于柱头长度相关性状的报道则较少.研究者利用重组自交系(recombination inbred line, RIL) (Uga et al., 2003, 2010), F2、回交重组自交系(backcross inbred line, BIL)和双单倍体(doubled haploid line, DH)群体(Uga et al., 2010)以及自然群体(Yan et al., 2009; Marathi et al., 2015; Dang et al., 2016; Zhou et al., 2017)在水稻的11条染色体(除第11号染色体外)上检测到28个控制柱头长度的QTLs, 在水稻第1、2、3、4、6、7、10和11号染色体上检测到21个控制花柱长度的QTLs (Uga et al., 2003, 2010; Marathi et al., 2015; Dang et al., 2016; Zhou et al., 2017), 在水稻的9条染色体(除第8、9和10号染色体外)上检测到16个控制柱花总长度的QTLs (陈兰等, 2012; 刘强明, 2015; Liu et al., 2015; Marathi et al., 2015; Dang et al., 2016).仅见Liu等(2015)qSTL3精细定位于水稻第3号染色体短臂19.8 kb区间, Dang等(2020)将控制花柱长度的基因OsSYL2AA克隆.尚未见柱头性状基因功能分析等深层次的研究报道, 说明当前对于柱头性状的研究少而浅, 这可能正是导致至今未见分子标记辅助选择(marked-assisted selection, MAS)选育长柱头、高外露率不育系等育种材料报道的主要原因. ...

... (Liu et al., 2019))被精细定位.对于柱头长度相关性状的报道则较少.研究者利用重组自交系(recombination inbred line, RIL) (Uga et al., 2003, 2010), F2、回交重组自交系(backcross inbred line, BIL)和双单倍体(doubled haploid line, DH)群体(Uga et al., 2010)以及自然群体(Yan et al., 2009; Marathi et al., 2015; Dang et al., 2016; Zhou et al., 2017)在水稻的11条染色体(除第11号染色体外)上检测到28个控制柱头长度的QTLs, 在水稻第1、2、3、4、6、7、10和11号染色体上检测到21个控制花柱长度的QTLs (Uga et al., 2003, 2010; Marathi et al., 2015; Dang et al., 2016; Zhou et al., 2017), 在水稻的9条染色体(除第8、9和10号染色体外)上检测到16个控制柱花总长度的QTLs (陈兰等, 2012; 刘强明, 2015; Liu et al., 2015; Marathi et al., 2015; Dang et al., 2016).仅见Liu等(2015)qSTL3精细定位于水稻第3号染色体短臂19.8 kb区间, Dang等(2020)将控制花柱长度的基因OsSYL2AA克隆.尚未见柱头性状基因功能分析等深层次的研究报道, 说明当前对于柱头性状的研究少而浅, 这可能正是导致至今未见分子标记辅助选择(marked-assisted selection, MAS)选育长柱头、高外露率不育系等育种材料报道的主要原因. ...

... 牛付安等(2012)同时利用主基因+多基因遗传模型和QTL定位的方法对水稻RIL群体穗角进行分析, 发现用两种方法检测到的主基因数量具有相对一致性, 两者可相互验证.本研究利用主基因+多基因模型中的SEA-G4F2和SEA-G4F3软件(曹锡文等, 2013)对4个柱头性状进行了遗传分析, 结果显示, STL、SYL和TSSL均由2对主基因控制, 除F2:3群体中SYL和TSSL的2对主基因分别表现为加性-显性效应和等加性-显性效应外, 其余均表现为加性-显性-上位性效应, 这也进一步从遗传层面解释了STL、SYL和TSSL间呈极显著相关的原因, 说明这3个性状极可能由相同的主效位点(QTL)控制.而2个世代中PES的最适模型并不一致, 分别为MX2-EEAD-AD和MX1-AEND-AD, 即F2群体中的PES表现为2对等加性-显性主基因控制, 而F2:3群体中仅检测到1对负向等效加性-显性主基因, 说明相比柱头长度相关性状, PES更易受环境因素的影响(Liu et al., 2019).结合P1、P2和F1联合方差分析结果, 发现4个柱头性状均以基因型遗传为主, 但环境效应也对其产生显著(STL和PES)或极显著(SYL和TSSL)影响, 且PES同时受到基因型×环境互作效应的极显著影响, 从而导致2个环境中SYL、TSSL和PES检测到的主效基因数量以及主效基因间作用方式不同.本研究同时利用F2和F2:3群体在2个环境中对柱头相关性状进行遗传分析, 其结果可以互相验证, 具有一定的可靠性.即7001S/Z913S组合中的STL、SYL和TSSL可能由2个主效位点(QTL)控制, 且控制这3个性状的主效位点可能为相同位点, 同时这2个位点中有1-2个也是控制PES的主效位点.进一步结果需要通过后续的QTL定位与连锁分析进行验证. ...

... 目前, 对于柱头性状的研究主要集中于PES (Xiong et al., 1999; Uga et al., 2003; Yu et al., 2006; Miyata et al., 2007; Hu et al., 2009; Yan et al., 2009; 尹成等, 2014; Li et al., 2014; Rahman et al., 2016, 2017; 李威等, 2017; Zhang et al., 2018; Bakti and Tanaka, 2019; Liu et al., 2019), 而对柱头长度相关性状(STL (Marathi et al., 2015; Dang et al., 2016; Zhou et al., 2017)、SYL (Marathi et al., 2015; Dang et al., 2016, 2020; Zhou et al., 2017)和TSSL (Uga et al., 2003, 2010; Yan et al., 2009; 陈兰等, 2012; 刘强明, 2015; Liu et al., 2015; Marathi et al., 2015; Dang et al., 2016))的报道较少.因此, 对于4个柱头性状遗传效应的研究也主要集中于PES.从本研究的一阶遗传参数来看, PES以加性效应为主, 这与Yan等(2009)的研究结果一致.而STL、SYL和TSSL在不同群体中表现不尽相同.例如, STL在2个群体中均表现出以上位性效应为主, 加性效应和显性效应较小.对于SYL而言, F2群体中加性、显性和上位性效应并重, 而在F2:3群体中则表现出以加性效应为主.对于TSSL, F2群体中表现出以显性效应和上位性效应为主, 而在F2:3群体中则以加性效应为主, 这与刘强明(2015)利用CSSL群体分析得出TSSL以加性效应遗传为主的结果不尽一致, 表明柱头长度性状的遗传较PES更复杂.从二阶遗传参数来看, 4个性状在2个世代中的主基因遗传率介于63.64% (F2:3群体SYL)-92.13% (F2:3群体TSSL)之间, 多基因遗传率介于17.63% (F2群体PES)-25.00% (F2群体STL)之间, 表明这4个性状均以主基因遗传为主.但本研究同时也发现, 4个柱头性状中的多基因效应(加性效应和显性效应)也起较大作用, 如F2群体的TSSL, 其主基因效应(加性效应、显性效应和上位性效应)绝对值之和为1.18, 而其多基因效应(加性效应和显性效应)绝对值之和为1.04, 两者基本一致, 其它性状类似.以上结果说明柱头性状虽然属于数量性状, 受主效基因(主基因)和微效基因(多基因)共同控制, 但其同时又与水稻其它数量性状如株高(sd1) (Sasaki et al., 2002)、穗粒数(qSSP7) (Xing et al., 2008)和生育期(Ghd7) (Xue et al., 2008)存在差异, 即本研究中的4个柱头性状其主基因(主效基因)和多基因(微效基因)间的差异并不是很大, 而sd1qSSP7Ghd7等主效基因与之对应的微效基因相比其效应差异明显, 这也可能是导致当前柱头性状研究滞后的原因之一.在育种实践中, 籼型水稻的异交率远高于粳型, 尤其是在不育系方面, 这也是限制杂交粳稻和籼粳交杂交水稻推广种植的关键性因素.本研究利用核不育系籼粳交后代群体对4个柱头性状进行遗传解析, 为粳型不育系的改良提供了技术路线和理论基础.即育种家在高异交率粳型不育系选育过程中, 可将肉眼易辨的田间柱头外露率的直接观察与柱头长度性状的室内调查相结合, 通过筛选长柱头、高外露率进而提高粳型不育系的异交率.同时, 要统筹考虑主效基因和微效基因的影响, 及时开展早期有效的单株选择, 重点关注高代单株柱头性状的表现, 降低环境因素对柱头性状选择带来的干扰.4个柱头相关性状的主基因+多基因遗传分析是对其遗传组成、遗传规律特征及遗传参数进行全面剖析, 不仅可为粳型水稻柱头性状改良提供有益的指导, 也可为柱头性状的基因挖掘、功能分析和分子设计育种提供重要的理论依据. ...

SNP genotyping and characterization of pistil traits revealing a distinct phylogenetic relationship among the species of Oryza
7
2015

... 柱头性状主要包括柱头长度、花柱长度、柱花总长度和柱头外露率(单外露率、双外露率和总外露率)等.研究发现, 柱头性状间存在紧密联系, 如柱花总长度与柱头外露率呈显著(Virmani and Athwal, 1973; Miyata et al., 2007; Takano-Kai et al., 2011)或极显著(刘强明, 2015; Zhou et al., 2017)正相关, 柱头长度、花柱长度和柱花总长度间也表现出极显著正相关(Dang et al., 2016; Zhou et al., 2017).但当前对于柱头性状的研究远远落后于水稻其它性状(如米质性状) (Wang et al., 2012)、农艺性状(Li et al., 2013; Zhou et al., 2013)以及抗性(Zheng et al., 2013).目前, 对柱头性状的研究多集中于柱头外露率的QTL定位, 研究者利用不同群体检测到112个控制柱头外露率的QTLs (Xiong et al., 1999; Uga et al., 2003; Yu et al., 2006; Miyata et al., 2007; Hu et al., 2009; Yan et al., 2009; Li et al., 2014; 尹成等, 2014; Rahman et al., 2016, 2017; 李威等, 2017; Zhang et al., 2018; Bakti and Tanaka, 2019; Liu et al., 2019), 而其中仅3个QTLs (qSE7 (Rahman et al., 2017)、qSE11 (Zhang et al., 2018)和qSER-7 (Liu et al., 2019))被精细定位.对于柱头长度相关性状的报道则较少.研究者利用重组自交系(recombination inbred line, RIL) (Uga et al., 2003, 2010), F2、回交重组自交系(backcross inbred line, BIL)和双单倍体(doubled haploid line, DH)群体(Uga et al., 2010)以及自然群体(Yan et al., 2009; Marathi et al., 2015; Dang et al., 2016; Zhou et al., 2017)在水稻的11条染色体(除第11号染色体外)上检测到28个控制柱头长度的QTLs, 在水稻第1、2、3、4、6、7、10和11号染色体上检测到21个控制花柱长度的QTLs (Uga et al., 2003, 2010; Marathi et al., 2015; Dang et al., 2016; Zhou et al., 2017), 在水稻的9条染色体(除第8、9和10号染色体外)上检测到16个控制柱花总长度的QTLs (陈兰等, 2012; 刘强明, 2015; Liu et al., 2015; Marathi et al., 2015; Dang et al., 2016).仅见Liu等(2015)qSTL3精细定位于水稻第3号染色体短臂19.8 kb区间, Dang等(2020)将控制花柱长度的基因OsSYL2AA克隆.尚未见柱头性状基因功能分析等深层次的研究报道, 说明当前对于柱头性状的研究少而浅, 这可能正是导致至今未见分子标记辅助选择(marked-assisted selection, MAS)选育长柱头、高外露率不育系等育种材料报道的主要原因. ...

... ; Marathi et al., 2015; Dang et al., 2016; Zhou et al., 2017), 在水稻的9条染色体(除第8、9和10号染色体外)上检测到16个控制柱花总长度的QTLs (陈兰等, 2012; 刘强明, 2015; Liu et al., 2015; Marathi et al., 2015; Dang et al., 2016).仅见Liu等(2015)qSTL3精细定位于水稻第3号染色体短臂19.8 kb区间, Dang等(2020)将控制花柱长度的基因OsSYL2AA克隆.尚未见柱头性状基因功能分析等深层次的研究报道, 说明当前对于柱头性状的研究少而浅, 这可能正是导致至今未见分子标记辅助选择(marked-assisted selection, MAS)选育长柱头、高外露率不育系等育种材料报道的主要原因. ...

... ; Marathi et al., 2015; Dang et al., 2016).仅见Liu等(2015)qSTL3精细定位于水稻第3号染色体短臂19.8 kb区间, Dang等(2020)将控制花柱长度的基因OsSYL2AA克隆.尚未见柱头性状基因功能分析等深层次的研究报道, 说明当前对于柱头性状的研究少而浅, 这可能正是导致至今未见分子标记辅助选择(marked-assisted selection, MAS)选育长柱头、高外露率不育系等育种材料报道的主要原因. ...

... 柱头长度(STL)指水稻雌蕊上毛刷状部分的长度, 花柱长度(SYL)指毛刷状底部与子房交界处之间的长度(Marathi et al., 2015; Zhou et al., 2017), 柱花总长度(TSSL)指柱头长度与花柱长度之和(图1B). ...

... 目前, 对于柱头性状的研究主要集中于PES (Xiong et al., 1999; Uga et al., 2003; Yu et al., 2006; Miyata et al., 2007; Hu et al., 2009; Yan et al., 2009; 尹成等, 2014; Li et al., 2014; Rahman et al., 2016, 2017; 李威等, 2017; Zhang et al., 2018; Bakti and Tanaka, 2019; Liu et al., 2019), 而对柱头长度相关性状(STL (Marathi et al., 2015; Dang et al., 2016; Zhou et al., 2017)、SYL (Marathi et al., 2015; Dang et al., 2016, 2020; Zhou et al., 2017)和TSSL (Uga et al., 2003, 2010; Yan et al., 2009; 陈兰等, 2012; 刘强明, 2015; Liu et al., 2015; Marathi et al., 2015; Dang et al., 2016))的报道较少.因此, 对于4个柱头性状遗传效应的研究也主要集中于PES.从本研究的一阶遗传参数来看, PES以加性效应为主, 这与Yan等(2009)的研究结果一致.而STL、SYL和TSSL在不同群体中表现不尽相同.例如, STL在2个群体中均表现出以上位性效应为主, 加性效应和显性效应较小.对于SYL而言, F2群体中加性、显性和上位性效应并重, 而在F2:3群体中则表现出以加性效应为主.对于TSSL, F2群体中表现出以显性效应和上位性效应为主, 而在F2:3群体中则以加性效应为主, 这与刘强明(2015)利用CSSL群体分析得出TSSL以加性效应遗传为主的结果不尽一致, 表明柱头长度性状的遗传较PES更复杂.从二阶遗传参数来看, 4个性状在2个世代中的主基因遗传率介于63.64% (F2:3群体SYL)-92.13% (F2:3群体TSSL)之间, 多基因遗传率介于17.63% (F2群体PES)-25.00% (F2群体STL)之间, 表明这4个性状均以主基因遗传为主.但本研究同时也发现, 4个柱头性状中的多基因效应(加性效应和显性效应)也起较大作用, 如F2群体的TSSL, 其主基因效应(加性效应、显性效应和上位性效应)绝对值之和为1.18, 而其多基因效应(加性效应和显性效应)绝对值之和为1.04, 两者基本一致, 其它性状类似.以上结果说明柱头性状虽然属于数量性状, 受主效基因(主基因)和微效基因(多基因)共同控制, 但其同时又与水稻其它数量性状如株高(sd1) (Sasaki et al., 2002)、穗粒数(qSSP7) (Xing et al., 2008)和生育期(Ghd7) (Xue et al., 2008)存在差异, 即本研究中的4个柱头性状其主基因(主效基因)和多基因(微效基因)间的差异并不是很大, 而sd1qSSP7Ghd7等主效基因与之对应的微效基因相比其效应差异明显, 这也可能是导致当前柱头性状研究滞后的原因之一.在育种实践中, 籼型水稻的异交率远高于粳型, 尤其是在不育系方面, 这也是限制杂交粳稻和籼粳交杂交水稻推广种植的关键性因素.本研究利用核不育系籼粳交后代群体对4个柱头性状进行遗传解析, 为粳型不育系的改良提供了技术路线和理论基础.即育种家在高异交率粳型不育系选育过程中, 可将肉眼易辨的田间柱头外露率的直接观察与柱头长度性状的室内调查相结合, 通过筛选长柱头、高外露率进而提高粳型不育系的异交率.同时, 要统筹考虑主效基因和微效基因的影响, 及时开展早期有效的单株选择, 重点关注高代单株柱头性状的表现, 降低环境因素对柱头性状选择带来的干扰.4个柱头相关性状的主基因+多基因遗传分析是对其遗传组成、遗传规律特征及遗传参数进行全面剖析, 不仅可为粳型水稻柱头性状改良提供有益的指导, 也可为柱头性状的基因挖掘、功能分析和分子设计育种提供重要的理论依据. ...

... )、SYL (Marathi et al., 2015; Dang et al., 2016, 2020; Zhou et al., 2017)和TSSL (Uga et al., 2003, 2010; Yan et al., 2009; 陈兰等, 2012; 刘强明, 2015; Liu et al., 2015; Marathi et al., 2015; Dang et al., 2016))的报道较少.因此, 对于4个柱头性状遗传效应的研究也主要集中于PES.从本研究的一阶遗传参数来看, PES以加性效应为主, 这与Yan等(2009)的研究结果一致.而STL、SYL和TSSL在不同群体中表现不尽相同.例如, STL在2个群体中均表现出以上位性效应为主, 加性效应和显性效应较小.对于SYL而言, F2群体中加性、显性和上位性效应并重, 而在F2:3群体中则表现出以加性效应为主.对于TSSL, F2群体中表现出以显性效应和上位性效应为主, 而在F2:3群体中则以加性效应为主, 这与刘强明(2015)利用CSSL群体分析得出TSSL以加性效应遗传为主的结果不尽一致, 表明柱头长度性状的遗传较PES更复杂.从二阶遗传参数来看, 4个性状在2个世代中的主基因遗传率介于63.64% (F2:3群体SYL)-92.13% (F2:3群体TSSL)之间, 多基因遗传率介于17.63% (F2群体PES)-25.00% (F2群体STL)之间, 表明这4个性状均以主基因遗传为主.但本研究同时也发现, 4个柱头性状中的多基因效应(加性效应和显性效应)也起较大作用, 如F2群体的TSSL, 其主基因效应(加性效应、显性效应和上位性效应)绝对值之和为1.18, 而其多基因效应(加性效应和显性效应)绝对值之和为1.04, 两者基本一致, 其它性状类似.以上结果说明柱头性状虽然属于数量性状, 受主效基因(主基因)和微效基因(多基因)共同控制, 但其同时又与水稻其它数量性状如株高(sd1) (Sasaki et al., 2002)、穗粒数(qSSP7) (Xing et al., 2008)和生育期(Ghd7) (Xue et al., 2008)存在差异, 即本研究中的4个柱头性状其主基因(主效基因)和多基因(微效基因)间的差异并不是很大, 而sd1qSSP7Ghd7等主效基因与之对应的微效基因相比其效应差异明显, 这也可能是导致当前柱头性状研究滞后的原因之一.在育种实践中, 籼型水稻的异交率远高于粳型, 尤其是在不育系方面, 这也是限制杂交粳稻和籼粳交杂交水稻推广种植的关键性因素.本研究利用核不育系籼粳交后代群体对4个柱头性状进行遗传解析, 为粳型不育系的改良提供了技术路线和理论基础.即育种家在高异交率粳型不育系选育过程中, 可将肉眼易辨的田间柱头外露率的直接观察与柱头长度性状的室内调查相结合, 通过筛选长柱头、高外露率进而提高粳型不育系的异交率.同时, 要统筹考虑主效基因和微效基因的影响, 及时开展早期有效的单株选择, 重点关注高代单株柱头性状的表现, 降低环境因素对柱头性状选择带来的干扰.4个柱头相关性状的主基因+多基因遗传分析是对其遗传组成、遗传规律特征及遗传参数进行全面剖析, 不仅可为粳型水稻柱头性状改良提供有益的指导, 也可为柱头性状的基因挖掘、功能分析和分子设计育种提供重要的理论依据. ...

... ; Marathi et al., 2015; Dang et al., 2016))的报道较少.因此, 对于4个柱头性状遗传效应的研究也主要集中于PES.从本研究的一阶遗传参数来看, PES以加性效应为主, 这与Yan等(2009)的研究结果一致.而STL、SYL和TSSL在不同群体中表现不尽相同.例如, STL在2个群体中均表现出以上位性效应为主, 加性效应和显性效应较小.对于SYL而言, F2群体中加性、显性和上位性效应并重, 而在F2:3群体中则表现出以加性效应为主.对于TSSL, F2群体中表现出以显性效应和上位性效应为主, 而在F2:3群体中则以加性效应为主, 这与刘强明(2015)利用CSSL群体分析得出TSSL以加性效应遗传为主的结果不尽一致, 表明柱头长度性状的遗传较PES更复杂.从二阶遗传参数来看, 4个性状在2个世代中的主基因遗传率介于63.64% (F2:3群体SYL)-92.13% (F2:3群体TSSL)之间, 多基因遗传率介于17.63% (F2群体PES)-25.00% (F2群体STL)之间, 表明这4个性状均以主基因遗传为主.但本研究同时也发现, 4个柱头性状中的多基因效应(加性效应和显性效应)也起较大作用, 如F2群体的TSSL, 其主基因效应(加性效应、显性效应和上位性效应)绝对值之和为1.18, 而其多基因效应(加性效应和显性效应)绝对值之和为1.04, 两者基本一致, 其它性状类似.以上结果说明柱头性状虽然属于数量性状, 受主效基因(主基因)和微效基因(多基因)共同控制, 但其同时又与水稻其它数量性状如株高(sd1) (Sasaki et al., 2002)、穗粒数(qSSP7) (Xing et al., 2008)和生育期(Ghd7) (Xue et al., 2008)存在差异, 即本研究中的4个柱头性状其主基因(主效基因)和多基因(微效基因)间的差异并不是很大, 而sd1qSSP7Ghd7等主效基因与之对应的微效基因相比其效应差异明显, 这也可能是导致当前柱头性状研究滞后的原因之一.在育种实践中, 籼型水稻的异交率远高于粳型, 尤其是在不育系方面, 这也是限制杂交粳稻和籼粳交杂交水稻推广种植的关键性因素.本研究利用核不育系籼粳交后代群体对4个柱头性状进行遗传解析, 为粳型不育系的改良提供了技术路线和理论基础.即育种家在高异交率粳型不育系选育过程中, 可将肉眼易辨的田间柱头外露率的直接观察与柱头长度性状的室内调查相结合, 通过筛选长柱头、高外露率进而提高粳型不育系的异交率.同时, 要统筹考虑主效基因和微效基因的影响, 及时开展早期有效的单株选择, 重点关注高代单株柱头性状的表现, 降低环境因素对柱头性状选择带来的干扰.4个柱头相关性状的主基因+多基因遗传分析是对其遗传组成、遗传规律特征及遗传参数进行全面剖析, 不仅可为粳型水稻柱头性状改良提供有益的指导, 也可为柱头性状的基因挖掘、功能分析和分子设计育种提供重要的理论依据. ...

Marker- assisted selection and evaluation of the QTL for stigma exsertion under japonica rice genetic background
5
2007

... 柱头性状主要包括柱头长度、花柱长度、柱花总长度和柱头外露率(单外露率、双外露率和总外露率)等.研究发现, 柱头性状间存在紧密联系, 如柱花总长度与柱头外露率呈显著(Virmani and Athwal, 1973; Miyata et al., 2007; Takano-Kai et al., 2011)或极显著(刘强明, 2015; Zhou et al., 2017)正相关, 柱头长度、花柱长度和柱花总长度间也表现出极显著正相关(Dang et al., 2016; Zhou et al., 2017).但当前对于柱头性状的研究远远落后于水稻其它性状(如米质性状) (Wang et al., 2012)、农艺性状(Li et al., 2013; Zhou et al., 2013)以及抗性(Zheng et al., 2013).目前, 对柱头性状的研究多集中于柱头外露率的QTL定位, 研究者利用不同群体检测到112个控制柱头外露率的QTLs (Xiong et al., 1999; Uga et al., 2003; Yu et al., 2006; Miyata et al., 2007; Hu et al., 2009; Yan et al., 2009; Li et al., 2014; 尹成等, 2014; Rahman et al., 2016, 2017; 李威等, 2017; Zhang et al., 2018; Bakti and Tanaka, 2019; Liu et al., 2019), 而其中仅3个QTLs (qSE7 (Rahman et al., 2017)、qSE11 (Zhang et al., 2018)和qSER-7 (Liu et al., 2019))被精细定位.对于柱头长度相关性状的报道则较少.研究者利用重组自交系(recombination inbred line, RIL) (Uga et al., 2003, 2010), F2、回交重组自交系(backcross inbred line, BIL)和双单倍体(doubled haploid line, DH)群体(Uga et al., 2010)以及自然群体(Yan et al., 2009; Marathi et al., 2015; Dang et al., 2016; Zhou et al., 2017)在水稻的11条染色体(除第11号染色体外)上检测到28个控制柱头长度的QTLs, 在水稻第1、2、3、4、6、7、10和11号染色体上检测到21个控制花柱长度的QTLs (Uga et al., 2003, 2010; Marathi et al., 2015; Dang et al., 2016; Zhou et al., 2017), 在水稻的9条染色体(除第8、9和10号染色体外)上检测到16个控制柱花总长度的QTLs (陈兰等, 2012; 刘强明, 2015; Liu et al., 2015; Marathi et al., 2015; Dang et al., 2016).仅见Liu等(2015)qSTL3精细定位于水稻第3号染色体短臂19.8 kb区间, Dang等(2020)将控制花柱长度的基因OsSYL2AA克隆.尚未见柱头性状基因功能分析等深层次的研究报道, 说明当前对于柱头性状的研究少而浅, 这可能正是导致至今未见分子标记辅助选择(marked-assisted selection, MAS)选育长柱头、高外露率不育系等育种材料报道的主要原因. ...

... ; Miyata et al., 2007; Hu et al., 2009; Yan et al., 2009; Li et al., 2014; 尹成等, 2014; Rahman et al., 2016, 2017; 李威等, 2017; Zhang et al., 2018; Bakti and Tanaka, 2019; Liu et al., 2019), 而其中仅3个QTLs (qSE7 (Rahman et al., 2017)、qSE11 (Zhang et al., 2018)和qSER-7 (Liu et al., 2019))被精细定位.对于柱头长度相关性状的报道则较少.研究者利用重组自交系(recombination inbred line, RIL) (Uga et al., 2003, 2010), F2、回交重组自交系(backcross inbred line, BIL)和双单倍体(doubled haploid line, DH)群体(Uga et al., 2010)以及自然群体(Yan et al., 2009; Marathi et al., 2015; Dang et al., 2016; Zhou et al., 2017)在水稻的11条染色体(除第11号染色体外)上检测到28个控制柱头长度的QTLs, 在水稻第1、2、3、4、6、7、10和11号染色体上检测到21个控制花柱长度的QTLs (Uga et al., 2003, 2010; Marathi et al., 2015; Dang et al., 2016; Zhou et al., 2017), 在水稻的9条染色体(除第8、9和10号染色体外)上检测到16个控制柱花总长度的QTLs (陈兰等, 2012; 刘强明, 2015; Liu et al., 2015; Marathi et al., 2015; Dang et al., 2016).仅见Liu等(2015)qSTL3精细定位于水稻第3号染色体短臂19.8 kb区间, Dang等(2020)将控制花柱长度的基因OsSYL2AA克隆.尚未见柱头性状基因功能分析等深层次的研究报道, 说明当前对于柱头性状的研究少而浅, 这可能正是导致至今未见分子标记辅助选择(marked-assisted selection, MAS)选育长柱头、高外露率不育系等育种材料报道的主要原因. ...

... 柱头外露率在家系开花结束后10天调查, 具体方法参照Miyata等(2007)并略作改动.简而言之, 柱头外露率等于主茎穗的外露柱头数除以总柱头数(总颖花数的2倍)所得的百分比(图1C).P1、P2和F1分别调查了10个单株的主茎穗, 10个单株主茎穗的均值即为该株系柱头外露率表型值; F2和F2:3分别调查344个和300个单株, 各单株分别调查主茎穗和2个分蘖穗, 以3个穗子柱头外露率的均值作为该单株柱头外露率表型值. ...

... 本研究对由粳型光温敏核不育系7001S和籼型温敏核不育系Z913S杂交衍生的F2和F2:3群体的4个柱头性状STL、SYL、TSSL和PES进行相关性分析.结果表明, 4个性状间的相关性系数介于0.274-0.897之间, 均表现出极显著正相关, 说明柱头性状是复杂的综合性状.其中STL、SYL和TSSL两两间的相关系数均达0.43以上, 呈紧密相关, 这与Dang等(2016)Zhou等(2017)利用不同水稻材料构成的自然群体进行分析所得结果一致, 表明STL、SYL和TSSL可能由1个或多个相同或紧密连锁的基因位点(QTL)控制.F2和F2:3群体中TSSL和PES间的相关系数分别为0.383和0.365, 呈极显著正相关, 这与前人的研究结果一致(刘强明, 2015; Zhou et al., 2017).本研究还表明STL与PES间也表现极显著正相关.由于毛刷状柱头(柱头长度部分)是柱头接收外来花粉的器官, 因此柱头长度增加及柱头外露率提高必然导致水稻异交结实率增加, 从而促进杂交水稻制种产量增加(Miyata et al., 2007; 吴爽等, 2015). ...

... 目前, 对于柱头性状的研究主要集中于PES (Xiong et al., 1999; Uga et al., 2003; Yu et al., 2006; Miyata et al., 2007; Hu et al., 2009; Yan et al., 2009; 尹成等, 2014; Li et al., 2014; Rahman et al., 2016, 2017; 李威等, 2017; Zhang et al., 2018; Bakti and Tanaka, 2019; Liu et al., 2019), 而对柱头长度相关性状(STL (Marathi et al., 2015; Dang et al., 2016; Zhou et al., 2017)、SYL (Marathi et al., 2015; Dang et al., 2016, 2020; Zhou et al., 2017)和TSSL (Uga et al., 2003, 2010; Yan et al., 2009; 陈兰等, 2012; 刘强明, 2015; Liu et al., 2015; Marathi et al., 2015; Dang et al., 2016))的报道较少.因此, 对于4个柱头性状遗传效应的研究也主要集中于PES.从本研究的一阶遗传参数来看, PES以加性效应为主, 这与Yan等(2009)的研究结果一致.而STL、SYL和TSSL在不同群体中表现不尽相同.例如, STL在2个群体中均表现出以上位性效应为主, 加性效应和显性效应较小.对于SYL而言, F2群体中加性、显性和上位性效应并重, 而在F2:3群体中则表现出以加性效应为主.对于TSSL, F2群体中表现出以显性效应和上位性效应为主, 而在F2:3群体中则以加性效应为主, 这与刘强明(2015)利用CSSL群体分析得出TSSL以加性效应遗传为主的结果不尽一致, 表明柱头长度性状的遗传较PES更复杂.从二阶遗传参数来看, 4个性状在2个世代中的主基因遗传率介于63.64% (F2:3群体SYL)-92.13% (F2:3群体TSSL)之间, 多基因遗传率介于17.63% (F2群体PES)-25.00% (F2群体STL)之间, 表明这4个性状均以主基因遗传为主.但本研究同时也发现, 4个柱头性状中的多基因效应(加性效应和显性效应)也起较大作用, 如F2群体的TSSL, 其主基因效应(加性效应、显性效应和上位性效应)绝对值之和为1.18, 而其多基因效应(加性效应和显性效应)绝对值之和为1.04, 两者基本一致, 其它性状类似.以上结果说明柱头性状虽然属于数量性状, 受主效基因(主基因)和微效基因(多基因)共同控制, 但其同时又与水稻其它数量性状如株高(sd1) (Sasaki et al., 2002)、穗粒数(qSSP7) (Xing et al., 2008)和生育期(Ghd7) (Xue et al., 2008)存在差异, 即本研究中的4个柱头性状其主基因(主效基因)和多基因(微效基因)间的差异并不是很大, 而sd1qSSP7Ghd7等主效基因与之对应的微效基因相比其效应差异明显, 这也可能是导致当前柱头性状研究滞后的原因之一.在育种实践中, 籼型水稻的异交率远高于粳型, 尤其是在不育系方面, 这也是限制杂交粳稻和籼粳交杂交水稻推广种植的关键性因素.本研究利用核不育系籼粳交后代群体对4个柱头性状进行遗传解析, 为粳型不育系的改良提供了技术路线和理论基础.即育种家在高异交率粳型不育系选育过程中, 可将肉眼易辨的田间柱头外露率的直接观察与柱头长度性状的室内调查相结合, 通过筛选长柱头、高外露率进而提高粳型不育系的异交率.同时, 要统筹考虑主效基因和微效基因的影响, 及时开展早期有效的单株选择, 重点关注高代单株柱头性状的表现, 降低环境因素对柱头性状选择带来的干扰.4个柱头相关性状的主基因+多基因遗传分析是对其遗传组成、遗传规律特征及遗传参数进行全面剖析, 不仅可为粳型水稻柱头性状改良提供有益的指导, 也可为柱头性状的基因挖掘、功能分析和分子设计育种提供重要的理论依据. ...

Breeding high-yield superior quality hybrid super rice by rational design
1
2016

... 水稻(Oryza sativa)是最主要的粮食作物, 世界一半以上的人口以稻米为主食(袁隆平, 2010).始于我国20世纪70年代的杂交水稻较同熟期常规稻增产20%以上, 杂交水稻的推广种植使水稻生产力大幅提升(Qian et al., 2016).当前, 我国杂交水稻年种植面积约1.67×107 hm2, 以杂交籼稻为主, 而杂交粳稻的种植面积不足杂交水稻种植面积的3% (曹黎明等, 2018).制种产量低是制约杂交粳稻发展的重要因素, 提高粳型不育系的异交结实率是提高杂交粳稻制种产量的关键环节(杨振玉等, 2016).异交结实率主要取决于水稻花器性状和开花习性, 花器性状主要包括柱头长度(stigma length, STL)、花柱长度(style length, SYL)、柱头外露率(percentage of exserted stigma, PES)和开颖角度(glume opening angle, GOA)等(计慎敏和张大兵, 2007; 罗伟雄等, 2011).廖佩言等(1986)研究发现, 柱头-花柱总长度(以下简称柱花总长度) (the sum of stigma and style length, TSSL)和柱头单外露率对异交结实率的贡献率分别为17.86%和7.9%.杨保汉(1997)研究表明, 柱头外露率和制种产量呈极显著正相关, 不育系的柱头外露率每增加1个百分点, 其异交结实率可提高0.74%- 0.92%, 制种产量可增加47-68 kg?hm-2.可见, 柱头性状与水稻异交结实率密切相关. ...

Quantitative trait loci mapping of the stigma exertion rate and spikelet number per panicle in rice (Oryza sativa L.)
2
2016

... 柱头性状主要包括柱头长度、花柱长度、柱花总长度和柱头外露率(单外露率、双外露率和总外露率)等.研究发现, 柱头性状间存在紧密联系, 如柱花总长度与柱头外露率呈显著(Virmani and Athwal, 1973; Miyata et al., 2007; Takano-Kai et al., 2011)或极显著(刘强明, 2015; Zhou et al., 2017)正相关, 柱头长度、花柱长度和柱花总长度间也表现出极显著正相关(Dang et al., 2016; Zhou et al., 2017).但当前对于柱头性状的研究远远落后于水稻其它性状(如米质性状) (Wang et al., 2012)、农艺性状(Li et al., 2013; Zhou et al., 2013)以及抗性(Zheng et al., 2013).目前, 对柱头性状的研究多集中于柱头外露率的QTL定位, 研究者利用不同群体检测到112个控制柱头外露率的QTLs (Xiong et al., 1999; Uga et al., 2003; Yu et al., 2006; Miyata et al., 2007; Hu et al., 2009; Yan et al., 2009; Li et al., 2014; 尹成等, 2014; Rahman et al., 2016, 2017; 李威等, 2017; Zhang et al., 2018; Bakti and Tanaka, 2019; Liu et al., 2019), 而其中仅3个QTLs (qSE7 (Rahman et al., 2017)、qSE11 (Zhang et al., 2018)和qSER-7 (Liu et al., 2019))被精细定位.对于柱头长度相关性状的报道则较少.研究者利用重组自交系(recombination inbred line, RIL) (Uga et al., 2003, 2010), F2、回交重组自交系(backcross inbred line, BIL)和双单倍体(doubled haploid line, DH)群体(Uga et al., 2010)以及自然群体(Yan et al., 2009; Marathi et al., 2015; Dang et al., 2016; Zhou et al., 2017)在水稻的11条染色体(除第11号染色体外)上检测到28个控制柱头长度的QTLs, 在水稻第1、2、3、4、6、7、10和11号染色体上检测到21个控制花柱长度的QTLs (Uga et al., 2003, 2010; Marathi et al., 2015; Dang et al., 2016; Zhou et al., 2017), 在水稻的9条染色体(除第8、9和10号染色体外)上检测到16个控制柱花总长度的QTLs (陈兰等, 2012; 刘强明, 2015; Liu et al., 2015; Marathi et al., 2015; Dang et al., 2016).仅见Liu等(2015)qSTL3精细定位于水稻第3号染色体短臂19.8 kb区间, Dang等(2020)将控制花柱长度的基因OsSYL2AA克隆.尚未见柱头性状基因功能分析等深层次的研究报道, 说明当前对于柱头性状的研究少而浅, 这可能正是导致至今未见分子标记辅助选择(marked-assisted selection, MAS)选育长柱头、高外露率不育系等育种材料报道的主要原因. ...

... 目前, 对于柱头性状的研究主要集中于PES (Xiong et al., 1999; Uga et al., 2003; Yu et al., 2006; Miyata et al., 2007; Hu et al., 2009; Yan et al., 2009; 尹成等, 2014; Li et al., 2014; Rahman et al., 2016, 2017; 李威等, 2017; Zhang et al., 2018; Bakti and Tanaka, 2019; Liu et al., 2019), 而对柱头长度相关性状(STL (Marathi et al., 2015; Dang et al., 2016; Zhou et al., 2017)、SYL (Marathi et al., 2015; Dang et al., 2016, 2020; Zhou et al., 2017)和TSSL (Uga et al., 2003, 2010; Yan et al., 2009; 陈兰等, 2012; 刘强明, 2015; Liu et al., 2015; Marathi et al., 2015; Dang et al., 2016))的报道较少.因此, 对于4个柱头性状遗传效应的研究也主要集中于PES.从本研究的一阶遗传参数来看, PES以加性效应为主, 这与Yan等(2009)的研究结果一致.而STL、SYL和TSSL在不同群体中表现不尽相同.例如, STL在2个群体中均表现出以上位性效应为主, 加性效应和显性效应较小.对于SYL而言, F2群体中加性、显性和上位性效应并重, 而在F2:3群体中则表现出以加性效应为主.对于TSSL, F2群体中表现出以显性效应和上位性效应为主, 而在F2:3群体中则以加性效应为主, 这与刘强明(2015)利用CSSL群体分析得出TSSL以加性效应遗传为主的结果不尽一致, 表明柱头长度性状的遗传较PES更复杂.从二阶遗传参数来看, 4个性状在2个世代中的主基因遗传率介于63.64% (F2:3群体SYL)-92.13% (F2:3群体TSSL)之间, 多基因遗传率介于17.63% (F2群体PES)-25.00% (F2群体STL)之间, 表明这4个性状均以主基因遗传为主.但本研究同时也发现, 4个柱头性状中的多基因效应(加性效应和显性效应)也起较大作用, 如F2群体的TSSL, 其主基因效应(加性效应、显性效应和上位性效应)绝对值之和为1.18, 而其多基因效应(加性效应和显性效应)绝对值之和为1.04, 两者基本一致, 其它性状类似.以上结果说明柱头性状虽然属于数量性状, 受主效基因(主基因)和微效基因(多基因)共同控制, 但其同时又与水稻其它数量性状如株高(sd1) (Sasaki et al., 2002)、穗粒数(qSSP7) (Xing et al., 2008)和生育期(Ghd7) (Xue et al., 2008)存在差异, 即本研究中的4个柱头性状其主基因(主效基因)和多基因(微效基因)间的差异并不是很大, 而sd1qSSP7Ghd7等主效基因与之对应的微效基因相比其效应差异明显, 这也可能是导致当前柱头性状研究滞后的原因之一.在育种实践中, 籼型水稻的异交率远高于粳型, 尤其是在不育系方面, 这也是限制杂交粳稻和籼粳交杂交水稻推广种植的关键性因素.本研究利用核不育系籼粳交后代群体对4个柱头性状进行遗传解析, 为粳型不育系的改良提供了技术路线和理论基础.即育种家在高异交率粳型不育系选育过程中, 可将肉眼易辨的田间柱头外露率的直接观察与柱头长度性状的室内调查相结合, 通过筛选长柱头、高外露率进而提高粳型不育系的异交率.同时, 要统筹考虑主效基因和微效基因的影响, 及时开展早期有效的单株选择, 重点关注高代单株柱头性状的表现, 降低环境因素对柱头性状选择带来的干扰.4个柱头相关性状的主基因+多基因遗传分析是对其遗传组成、遗传规律特征及遗传参数进行全面剖析, 不仅可为粳型水稻柱头性状改良提供有益的指导, 也可为柱头性状的基因挖掘、功能分析和分子设计育种提供重要的理论依据. ...

Genetic dissection of the major quantitative trait locus (qSE11), and its validation as the major influence on the rate of stigma exsertion in rice(Oryza sativa L.)
3
2017

... 柱头性状主要包括柱头长度、花柱长度、柱花总长度和柱头外露率(单外露率、双外露率和总外露率)等.研究发现, 柱头性状间存在紧密联系, 如柱花总长度与柱头外露率呈显著(Virmani and Athwal, 1973; Miyata et al., 2007; Takano-Kai et al., 2011)或极显著(刘强明, 2015; Zhou et al., 2017)正相关, 柱头长度、花柱长度和柱花总长度间也表现出极显著正相关(Dang et al., 2016; Zhou et al., 2017).但当前对于柱头性状的研究远远落后于水稻其它性状(如米质性状) (Wang et al., 2012)、农艺性状(Li et al., 2013; Zhou et al., 2013)以及抗性(Zheng et al., 2013).目前, 对柱头性状的研究多集中于柱头外露率的QTL定位, 研究者利用不同群体检测到112个控制柱头外露率的QTLs (Xiong et al., 1999; Uga et al., 2003; Yu et al., 2006; Miyata et al., 2007; Hu et al., 2009; Yan et al., 2009; Li et al., 2014; 尹成等, 2014; Rahman et al., 2016, 2017; 李威等, 2017; Zhang et al., 2018; Bakti and Tanaka, 2019; Liu et al., 2019), 而其中仅3个QTLs (qSE7 (Rahman et al., 2017)、qSE11 (Zhang et al., 2018)和qSER-7 (Liu et al., 2019))被精细定位.对于柱头长度相关性状的报道则较少.研究者利用重组自交系(recombination inbred line, RIL) (Uga et al., 2003, 2010), F2、回交重组自交系(backcross inbred line, BIL)和双单倍体(doubled haploid line, DH)群体(Uga et al., 2010)以及自然群体(Yan et al., 2009; Marathi et al., 2015; Dang et al., 2016; Zhou et al., 2017)在水稻的11条染色体(除第11号染色体外)上检测到28个控制柱头长度的QTLs, 在水稻第1、2、3、4、6、7、10和11号染色体上检测到21个控制花柱长度的QTLs (Uga et al., 2003, 2010; Marathi et al., 2015; Dang et al., 2016; Zhou et al., 2017), 在水稻的9条染色体(除第8、9和10号染色体外)上检测到16个控制柱花总长度的QTLs (陈兰等, 2012; 刘强明, 2015; Liu et al., 2015; Marathi et al., 2015; Dang et al., 2016).仅见Liu等(2015)qSTL3精细定位于水稻第3号染色体短臂19.8 kb区间, Dang等(2020)将控制花柱长度的基因OsSYL2AA克隆.尚未见柱头性状基因功能分析等深层次的研究报道, 说明当前对于柱头性状的研究少而浅, 这可能正是导致至今未见分子标记辅助选择(marked-assisted selection, MAS)选育长柱头、高外露率不育系等育种材料报道的主要原因. ...

... (Rahman et al., 2017)、qSE11 (Zhang et al., 2018)和qSER-7 (Liu et al., 2019))被精细定位.对于柱头长度相关性状的报道则较少.研究者利用重组自交系(recombination inbred line, RIL) (Uga et al., 2003, 2010), F2、回交重组自交系(backcross inbred line, BIL)和双单倍体(doubled haploid line, DH)群体(Uga et al., 2010)以及自然群体(Yan et al., 2009; Marathi et al., 2015; Dang et al., 2016; Zhou et al., 2017)在水稻的11条染色体(除第11号染色体外)上检测到28个控制柱头长度的QTLs, 在水稻第1、2、3、4、6、7、10和11号染色体上检测到21个控制花柱长度的QTLs (Uga et al., 2003, 2010; Marathi et al., 2015; Dang et al., 2016; Zhou et al., 2017), 在水稻的9条染色体(除第8、9和10号染色体外)上检测到16个控制柱花总长度的QTLs (陈兰等, 2012; 刘强明, 2015; Liu et al., 2015; Marathi et al., 2015; Dang et al., 2016).仅见Liu等(2015)qSTL3精细定位于水稻第3号染色体短臂19.8 kb区间, Dang等(2020)将控制花柱长度的基因OsSYL2AA克隆.尚未见柱头性状基因功能分析等深层次的研究报道, 说明当前对于柱头性状的研究少而浅, 这可能正是导致至今未见分子标记辅助选择(marked-assisted selection, MAS)选育长柱头、高外露率不育系等育种材料报道的主要原因. ...

... 目前, 对于柱头性状的研究主要集中于PES (Xiong et al., 1999; Uga et al., 2003; Yu et al., 2006; Miyata et al., 2007; Hu et al., 2009; Yan et al., 2009; 尹成等, 2014; Li et al., 2014; Rahman et al., 2016, 2017; 李威等, 2017; Zhang et al., 2018; Bakti and Tanaka, 2019; Liu et al., 2019), 而对柱头长度相关性状(STL (Marathi et al., 2015; Dang et al., 2016; Zhou et al., 2017)、SYL (Marathi et al., 2015; Dang et al., 2016, 2020; Zhou et al., 2017)和TSSL (Uga et al., 2003, 2010; Yan et al., 2009; 陈兰等, 2012; 刘强明, 2015; Liu et al., 2015; Marathi et al., 2015; Dang et al., 2016))的报道较少.因此, 对于4个柱头性状遗传效应的研究也主要集中于PES.从本研究的一阶遗传参数来看, PES以加性效应为主, 这与Yan等(2009)的研究结果一致.而STL、SYL和TSSL在不同群体中表现不尽相同.例如, STL在2个群体中均表现出以上位性效应为主, 加性效应和显性效应较小.对于SYL而言, F2群体中加性、显性和上位性效应并重, 而在F2:3群体中则表现出以加性效应为主.对于TSSL, F2群体中表现出以显性效应和上位性效应为主, 而在F2:3群体中则以加性效应为主, 这与刘强明(2015)利用CSSL群体分析得出TSSL以加性效应遗传为主的结果不尽一致, 表明柱头长度性状的遗传较PES更复杂.从二阶遗传参数来看, 4个性状在2个世代中的主基因遗传率介于63.64% (F2:3群体SYL)-92.13% (F2:3群体TSSL)之间, 多基因遗传率介于17.63% (F2群体PES)-25.00% (F2群体STL)之间, 表明这4个性状均以主基因遗传为主.但本研究同时也发现, 4个柱头性状中的多基因效应(加性效应和显性效应)也起较大作用, 如F2群体的TSSL, 其主基因效应(加性效应、显性效应和上位性效应)绝对值之和为1.18, 而其多基因效应(加性效应和显性效应)绝对值之和为1.04, 两者基本一致, 其它性状类似.以上结果说明柱头性状虽然属于数量性状, 受主效基因(主基因)和微效基因(多基因)共同控制, 但其同时又与水稻其它数量性状如株高(sd1) (Sasaki et al., 2002)、穗粒数(qSSP7) (Xing et al., 2008)和生育期(Ghd7) (Xue et al., 2008)存在差异, 即本研究中的4个柱头性状其主基因(主效基因)和多基因(微效基因)间的差异并不是很大, 而sd1qSSP7Ghd7等主效基因与之对应的微效基因相比其效应差异明显, 这也可能是导致当前柱头性状研究滞后的原因之一.在育种实践中, 籼型水稻的异交率远高于粳型, 尤其是在不育系方面, 这也是限制杂交粳稻和籼粳交杂交水稻推广种植的关键性因素.本研究利用核不育系籼粳交后代群体对4个柱头性状进行遗传解析, 为粳型不育系的改良提供了技术路线和理论基础.即育种家在高异交率粳型不育系选育过程中, 可将肉眼易辨的田间柱头外露率的直接观察与柱头长度性状的室内调查相结合, 通过筛选长柱头、高外露率进而提高粳型不育系的异交率.同时, 要统筹考虑主效基因和微效基因的影响, 及时开展早期有效的单株选择, 重点关注高代单株柱头性状的表现, 降低环境因素对柱头性状选择带来的干扰.4个柱头相关性状的主基因+多基因遗传分析是对其遗传组成、遗传规律特征及遗传参数进行全面剖析, 不仅可为粳型水稻柱头性状改良提供有益的指导, 也可为柱头性状的基因挖掘、功能分析和分子设计育种提供重要的理论依据. ...

Green revolution: a mutant gibberellin-synthesis gene in rice
1
2002

... 目前, 对于柱头性状的研究主要集中于PES (Xiong et al., 1999; Uga et al., 2003; Yu et al., 2006; Miyata et al., 2007; Hu et al., 2009; Yan et al., 2009; 尹成等, 2014; Li et al., 2014; Rahman et al., 2016, 2017; 李威等, 2017; Zhang et al., 2018; Bakti and Tanaka, 2019; Liu et al., 2019), 而对柱头长度相关性状(STL (Marathi et al., 2015; Dang et al., 2016; Zhou et al., 2017)、SYL (Marathi et al., 2015; Dang et al., 2016, 2020; Zhou et al., 2017)和TSSL (Uga et al., 2003, 2010; Yan et al., 2009; 陈兰等, 2012; 刘强明, 2015; Liu et al., 2015; Marathi et al., 2015; Dang et al., 2016))的报道较少.因此, 对于4个柱头性状遗传效应的研究也主要集中于PES.从本研究的一阶遗传参数来看, PES以加性效应为主, 这与Yan等(2009)的研究结果一致.而STL、SYL和TSSL在不同群体中表现不尽相同.例如, STL在2个群体中均表现出以上位性效应为主, 加性效应和显性效应较小.对于SYL而言, F2群体中加性、显性和上位性效应并重, 而在F2:3群体中则表现出以加性效应为主.对于TSSL, F2群体中表现出以显性效应和上位性效应为主, 而在F2:3群体中则以加性效应为主, 这与刘强明(2015)利用CSSL群体分析得出TSSL以加性效应遗传为主的结果不尽一致, 表明柱头长度性状的遗传较PES更复杂.从二阶遗传参数来看, 4个性状在2个世代中的主基因遗传率介于63.64% (F2:3群体SYL)-92.13% (F2:3群体TSSL)之间, 多基因遗传率介于17.63% (F2群体PES)-25.00% (F2群体STL)之间, 表明这4个性状均以主基因遗传为主.但本研究同时也发现, 4个柱头性状中的多基因效应(加性效应和显性效应)也起较大作用, 如F2群体的TSSL, 其主基因效应(加性效应、显性效应和上位性效应)绝对值之和为1.18, 而其多基因效应(加性效应和显性效应)绝对值之和为1.04, 两者基本一致, 其它性状类似.以上结果说明柱头性状虽然属于数量性状, 受主效基因(主基因)和微效基因(多基因)共同控制, 但其同时又与水稻其它数量性状如株高(sd1) (Sasaki et al., 2002)、穗粒数(qSSP7) (Xing et al., 2008)和生育期(Ghd7) (Xue et al., 2008)存在差异, 即本研究中的4个柱头性状其主基因(主效基因)和多基因(微效基因)间的差异并不是很大, 而sd1qSSP7Ghd7等主效基因与之对应的微效基因相比其效应差异明显, 这也可能是导致当前柱头性状研究滞后的原因之一.在育种实践中, 籼型水稻的异交率远高于粳型, 尤其是在不育系方面, 这也是限制杂交粳稻和籼粳交杂交水稻推广种植的关键性因素.本研究利用核不育系籼粳交后代群体对4个柱头性状进行遗传解析, 为粳型不育系的改良提供了技术路线和理论基础.即育种家在高异交率粳型不育系选育过程中, 可将肉眼易辨的田间柱头外露率的直接观察与柱头长度性状的室内调查相结合, 通过筛选长柱头、高外露率进而提高粳型不育系的异交率.同时, 要统筹考虑主效基因和微效基因的影响, 及时开展早期有效的单株选择, 重点关注高代单株柱头性状的表现, 降低环境因素对柱头性状选择带来的干扰.4个柱头相关性状的主基因+多基因遗传分析是对其遗传组成、遗传规律特征及遗传参数进行全面剖析, 不仅可为粳型水稻柱头性状改良提供有益的指导, 也可为柱头性状的基因挖掘、功能分析和分子设计育种提供重要的理论依据. ...

GS3 participates in stigma exsertion as well as seed length in rice
1
2011

... 柱头性状主要包括柱头长度、花柱长度、柱花总长度和柱头外露率(单外露率、双外露率和总外露率)等.研究发现, 柱头性状间存在紧密联系, 如柱花总长度与柱头外露率呈显著(Virmani and Athwal, 1973; Miyata et al., 2007; Takano-Kai et al., 2011)或极显著(刘强明, 2015; Zhou et al., 2017)正相关, 柱头长度、花柱长度和柱花总长度间也表现出极显著正相关(Dang et al., 2016; Zhou et al., 2017).但当前对于柱头性状的研究远远落后于水稻其它性状(如米质性状) (Wang et al., 2012)、农艺性状(Li et al., 2013; Zhou et al., 2013)以及抗性(Zheng et al., 2013).目前, 对柱头性状的研究多集中于柱头外露率的QTL定位, 研究者利用不同群体检测到112个控制柱头外露率的QTLs (Xiong et al., 1999; Uga et al., 2003; Yu et al., 2006; Miyata et al., 2007; Hu et al., 2009; Yan et al., 2009; Li et al., 2014; 尹成等, 2014; Rahman et al., 2016, 2017; 李威等, 2017; Zhang et al., 2018; Bakti and Tanaka, 2019; Liu et al., 2019), 而其中仅3个QTLs (qSE7 (Rahman et al., 2017)、qSE11 (Zhang et al., 2018)和qSER-7 (Liu et al., 2019))被精细定位.对于柱头长度相关性状的报道则较少.研究者利用重组自交系(recombination inbred line, RIL) (Uga et al., 2003, 2010), F2、回交重组自交系(backcross inbred line, BIL)和双单倍体(doubled haploid line, DH)群体(Uga et al., 2010)以及自然群体(Yan et al., 2009; Marathi et al., 2015; Dang et al., 2016; Zhou et al., 2017)在水稻的11条染色体(除第11号染色体外)上检测到28个控制柱头长度的QTLs, 在水稻第1、2、3、4、6、7、10和11号染色体上检测到21个控制花柱长度的QTLs (Uga et al., 2003, 2010; Marathi et al., 2015; Dang et al., 2016; Zhou et al., 2017), 在水稻的9条染色体(除第8、9和10号染色体外)上检测到16个控制柱花总长度的QTLs (陈兰等, 2012; 刘强明, 2015; Liu et al., 2015; Marathi et al., 2015; Dang et al., 2016).仅见Liu等(2015)qSTL3精细定位于水稻第3号染色体短臂19.8 kb区间, Dang等(2020)将控制花柱长度的基因OsSYL2AA克隆.尚未见柱头性状基因功能分析等深层次的研究报道, 说明当前对于柱头性状的研究少而浅, 这可能正是导致至今未见分子标记辅助选择(marked-assisted selection, MAS)选育长柱头、高外露率不育系等育种材料报道的主要原因. ...

Mapping QTLs influencing rice floral morphology using recombinant inbred lines derived from a cross between Oryza sativa L. and Oryza rufipogon Griff
5
2003

... 柱头性状主要包括柱头长度、花柱长度、柱花总长度和柱头外露率(单外露率、双外露率和总外露率)等.研究发现, 柱头性状间存在紧密联系, 如柱花总长度与柱头外露率呈显著(Virmani and Athwal, 1973; Miyata et al., 2007; Takano-Kai et al., 2011)或极显著(刘强明, 2015; Zhou et al., 2017)正相关, 柱头长度、花柱长度和柱花总长度间也表现出极显著正相关(Dang et al., 2016; Zhou et al., 2017).但当前对于柱头性状的研究远远落后于水稻其它性状(如米质性状) (Wang et al., 2012)、农艺性状(Li et al., 2013; Zhou et al., 2013)以及抗性(Zheng et al., 2013).目前, 对柱头性状的研究多集中于柱头外露率的QTL定位, 研究者利用不同群体检测到112个控制柱头外露率的QTLs (Xiong et al., 1999; Uga et al., 2003; Yu et al., 2006; Miyata et al., 2007; Hu et al., 2009; Yan et al., 2009; Li et al., 2014; 尹成等, 2014; Rahman et al., 2016, 2017; 李威等, 2017; Zhang et al., 2018; Bakti and Tanaka, 2019; Liu et al., 2019), 而其中仅3个QTLs (qSE7 (Rahman et al., 2017)、qSE11 (Zhang et al., 2018)和qSER-7 (Liu et al., 2019))被精细定位.对于柱头长度相关性状的报道则较少.研究者利用重组自交系(recombination inbred line, RIL) (Uga et al., 2003, 2010), F2、回交重组自交系(backcross inbred line, BIL)和双单倍体(doubled haploid line, DH)群体(Uga et al., 2010)以及自然群体(Yan et al., 2009; Marathi et al., 2015; Dang et al., 2016; Zhou et al., 2017)在水稻的11条染色体(除第11号染色体外)上检测到28个控制柱头长度的QTLs, 在水稻第1、2、3、4、6、7、10和11号染色体上检测到21个控制花柱长度的QTLs (Uga et al., 2003, 2010; Marathi et al., 2015; Dang et al., 2016; Zhou et al., 2017), 在水稻的9条染色体(除第8、9和10号染色体外)上检测到16个控制柱花总长度的QTLs (陈兰等, 2012; 刘强明, 2015; Liu et al., 2015; Marathi et al., 2015; Dang et al., 2016).仅见Liu等(2015)qSTL3精细定位于水稻第3号染色体短臂19.8 kb区间, Dang等(2020)将控制花柱长度的基因OsSYL2AA克隆.尚未见柱头性状基因功能分析等深层次的研究报道, 说明当前对于柱头性状的研究少而浅, 这可能正是导致至今未见分子标记辅助选择(marked-assisted selection, MAS)选育长柱头、高外露率不育系等育种材料报道的主要原因. ...

... ))被精细定位.对于柱头长度相关性状的报道则较少.研究者利用重组自交系(recombination inbred line, RIL) (Uga et al., 2003, 2010), F2、回交重组自交系(backcross inbred line, BIL)和双单倍体(doubled haploid line, DH)群体(Uga et al., 2010)以及自然群体(Yan et al., 2009; Marathi et al., 2015; Dang et al., 2016; Zhou et al., 2017)在水稻的11条染色体(除第11号染色体外)上检测到28个控制柱头长度的QTLs, 在水稻第1、2、3、4、6、7、10和11号染色体上检测到21个控制花柱长度的QTLs (Uga et al., 2003, 2010; Marathi et al., 2015; Dang et al., 2016; Zhou et al., 2017), 在水稻的9条染色体(除第8、9和10号染色体外)上检测到16个控制柱花总长度的QTLs (陈兰等, 2012; 刘强明, 2015; Liu et al., 2015; Marathi et al., 2015; Dang et al., 2016).仅见Liu等(2015)qSTL3精细定位于水稻第3号染色体短臂19.8 kb区间, Dang等(2020)将控制花柱长度的基因OsSYL2AA克隆.尚未见柱头性状基因功能分析等深层次的研究报道, 说明当前对于柱头性状的研究少而浅, 这可能正是导致至今未见分子标记辅助选择(marked-assisted selection, MAS)选育长柱头、高外露率不育系等育种材料报道的主要原因. ...

... )在水稻的11条染色体(除第11号染色体外)上检测到28个控制柱头长度的QTLs, 在水稻第1、2、3、4、6、7、10和11号染色体上检测到21个控制花柱长度的QTLs (Uga et al., 2003, 2010; Marathi et al., 2015; Dang et al., 2016; Zhou et al., 2017), 在水稻的9条染色体(除第8、9和10号染色体外)上检测到16个控制柱花总长度的QTLs (陈兰等, 2012; 刘强明, 2015; Liu et al., 2015; Marathi et al., 2015; Dang et al., 2016).仅见Liu等(2015)qSTL3精细定位于水稻第3号染色体短臂19.8 kb区间, Dang等(2020)将控制花柱长度的基因OsSYL2AA克隆.尚未见柱头性状基因功能分析等深层次的研究报道, 说明当前对于柱头性状的研究少而浅, 这可能正是导致至今未见分子标记辅助选择(marked-assisted selection, MAS)选育长柱头、高外露率不育系等育种材料报道的主要原因. ...

... 目前, 对于柱头性状的研究主要集中于PES (Xiong et al., 1999; Uga et al., 2003; Yu et al., 2006; Miyata et al., 2007; Hu et al., 2009; Yan et al., 2009; 尹成等, 2014; Li et al., 2014; Rahman et al., 2016, 2017; 李威等, 2017; Zhang et al., 2018; Bakti and Tanaka, 2019; Liu et al., 2019), 而对柱头长度相关性状(STL (Marathi et al., 2015; Dang et al., 2016; Zhou et al., 2017)、SYL (Marathi et al., 2015; Dang et al., 2016, 2020; Zhou et al., 2017)和TSSL (Uga et al., 2003, 2010; Yan et al., 2009; 陈兰等, 2012; 刘强明, 2015; Liu et al., 2015; Marathi et al., 2015; Dang et al., 2016))的报道较少.因此, 对于4个柱头性状遗传效应的研究也主要集中于PES.从本研究的一阶遗传参数来看, PES以加性效应为主, 这与Yan等(2009)的研究结果一致.而STL、SYL和TSSL在不同群体中表现不尽相同.例如, STL在2个群体中均表现出以上位性效应为主, 加性效应和显性效应较小.对于SYL而言, F2群体中加性、显性和上位性效应并重, 而在F2:3群体中则表现出以加性效应为主.对于TSSL, F2群体中表现出以显性效应和上位性效应为主, 而在F2:3群体中则以加性效应为主, 这与刘强明(2015)利用CSSL群体分析得出TSSL以加性效应遗传为主的结果不尽一致, 表明柱头长度性状的遗传较PES更复杂.从二阶遗传参数来看, 4个性状在2个世代中的主基因遗传率介于63.64% (F2:3群体SYL)-92.13% (F2:3群体TSSL)之间, 多基因遗传率介于17.63% (F2群体PES)-25.00% (F2群体STL)之间, 表明这4个性状均以主基因遗传为主.但本研究同时也发现, 4个柱头性状中的多基因效应(加性效应和显性效应)也起较大作用, 如F2群体的TSSL, 其主基因效应(加性效应、显性效应和上位性效应)绝对值之和为1.18, 而其多基因效应(加性效应和显性效应)绝对值之和为1.04, 两者基本一致, 其它性状类似.以上结果说明柱头性状虽然属于数量性状, 受主效基因(主基因)和微效基因(多基因)共同控制, 但其同时又与水稻其它数量性状如株高(sd1) (Sasaki et al., 2002)、穗粒数(qSSP7) (Xing et al., 2008)和生育期(Ghd7) (Xue et al., 2008)存在差异, 即本研究中的4个柱头性状其主基因(主效基因)和多基因(微效基因)间的差异并不是很大, 而sd1qSSP7Ghd7等主效基因与之对应的微效基因相比其效应差异明显, 这也可能是导致当前柱头性状研究滞后的原因之一.在育种实践中, 籼型水稻的异交率远高于粳型, 尤其是在不育系方面, 这也是限制杂交粳稻和籼粳交杂交水稻推广种植的关键性因素.本研究利用核不育系籼粳交后代群体对4个柱头性状进行遗传解析, 为粳型不育系的改良提供了技术路线和理论基础.即育种家在高异交率粳型不育系选育过程中, 可将肉眼易辨的田间柱头外露率的直接观察与柱头长度性状的室内调查相结合, 通过筛选长柱头、高外露率进而提高粳型不育系的异交率.同时, 要统筹考虑主效基因和微效基因的影响, 及时开展早期有效的单株选择, 重点关注高代单株柱头性状的表现, 降低环境因素对柱头性状选择带来的干扰.4个柱头相关性状的主基因+多基因遗传分析是对其遗传组成、遗传规律特征及遗传参数进行全面剖析, 不仅可为粳型水稻柱头性状改良提供有益的指导, 也可为柱头性状的基因挖掘、功能分析和分子设计育种提供重要的理论依据. ...

... )和TSSL (Uga et al., 2003, 2010; Yan et al., 2009; 陈兰等, 2012; 刘强明, 2015; Liu et al., 2015; Marathi et al., 2015; Dang et al., 2016))的报道较少.因此, 对于4个柱头性状遗传效应的研究也主要集中于PES.从本研究的一阶遗传参数来看, PES以加性效应为主, 这与Yan等(2009)的研究结果一致.而STL、SYL和TSSL在不同群体中表现不尽相同.例如, STL在2个群体中均表现出以上位性效应为主, 加性效应和显性效应较小.对于SYL而言, F2群体中加性、显性和上位性效应并重, 而在F2:3群体中则表现出以加性效应为主.对于TSSL, F2群体中表现出以显性效应和上位性效应为主, 而在F2:3群体中则以加性效应为主, 这与刘强明(2015)利用CSSL群体分析得出TSSL以加性效应遗传为主的结果不尽一致, 表明柱头长度性状的遗传较PES更复杂.从二阶遗传参数来看, 4个性状在2个世代中的主基因遗传率介于63.64% (F2:3群体SYL)-92.13% (F2:3群体TSSL)之间, 多基因遗传率介于17.63% (F2群体PES)-25.00% (F2群体STL)之间, 表明这4个性状均以主基因遗传为主.但本研究同时也发现, 4个柱头性状中的多基因效应(加性效应和显性效应)也起较大作用, 如F2群体的TSSL, 其主基因效应(加性效应、显性效应和上位性效应)绝对值之和为1.18, 而其多基因效应(加性效应和显性效应)绝对值之和为1.04, 两者基本一致, 其它性状类似.以上结果说明柱头性状虽然属于数量性状, 受主效基因(主基因)和微效基因(多基因)共同控制, 但其同时又与水稻其它数量性状如株高(sd1) (Sasaki et al., 2002)、穗粒数(qSSP7) (Xing et al., 2008)和生育期(Ghd7) (Xue et al., 2008)存在差异, 即本研究中的4个柱头性状其主基因(主效基因)和多基因(微效基因)间的差异并不是很大, 而sd1qSSP7Ghd7等主效基因与之对应的微效基因相比其效应差异明显, 这也可能是导致当前柱头性状研究滞后的原因之一.在育种实践中, 籼型水稻的异交率远高于粳型, 尤其是在不育系方面, 这也是限制杂交粳稻和籼粳交杂交水稻推广种植的关键性因素.本研究利用核不育系籼粳交后代群体对4个柱头性状进行遗传解析, 为粳型不育系的改良提供了技术路线和理论基础.即育种家在高异交率粳型不育系选育过程中, 可将肉眼易辨的田间柱头外露率的直接观察与柱头长度性状的室内调查相结合, 通过筛选长柱头、高外露率进而提高粳型不育系的异交率.同时, 要统筹考虑主效基因和微效基因的影响, 及时开展早期有效的单株选择, 重点关注高代单株柱头性状的表现, 降低环境因素对柱头性状选择带来的干扰.4个柱头相关性状的主基因+多基因遗传分析是对其遗传组成、遗传规律特征及遗传参数进行全面剖析, 不仅可为粳型水稻柱头性状改良提供有益的指导, 也可为柱头性状的基因挖掘、功能分析和分子设计育种提供重要的理论依据. ...

Comparative mapping of QTLs determining glume, pistil and stamen sizes in cultivated rice ( Oryza sativa L.)
4
2010

... 柱头性状主要包括柱头长度、花柱长度、柱花总长度和柱头外露率(单外露率、双外露率和总外露率)等.研究发现, 柱头性状间存在紧密联系, 如柱花总长度与柱头外露率呈显著(Virmani and Athwal, 1973; Miyata et al., 2007; Takano-Kai et al., 2011)或极显著(刘强明, 2015; Zhou et al., 2017)正相关, 柱头长度、花柱长度和柱花总长度间也表现出极显著正相关(Dang et al., 2016; Zhou et al., 2017).但当前对于柱头性状的研究远远落后于水稻其它性状(如米质性状) (Wang et al., 2012)、农艺性状(Li et al., 2013; Zhou et al., 2013)以及抗性(Zheng et al., 2013).目前, 对柱头性状的研究多集中于柱头外露率的QTL定位, 研究者利用不同群体检测到112个控制柱头外露率的QTLs (Xiong et al., 1999; Uga et al., 2003; Yu et al., 2006; Miyata et al., 2007; Hu et al., 2009; Yan et al., 2009; Li et al., 2014; 尹成等, 2014; Rahman et al., 2016, 2017; 李威等, 2017; Zhang et al., 2018; Bakti and Tanaka, 2019; Liu et al., 2019), 而其中仅3个QTLs (qSE7 (Rahman et al., 2017)、qSE11 (Zhang et al., 2018)和qSER-7 (Liu et al., 2019))被精细定位.对于柱头长度相关性状的报道则较少.研究者利用重组自交系(recombination inbred line, RIL) (Uga et al., 2003, 2010), F2、回交重组自交系(backcross inbred line, BIL)和双单倍体(doubled haploid line, DH)群体(Uga et al., 2010)以及自然群体(Yan et al., 2009; Marathi et al., 2015; Dang et al., 2016; Zhou et al., 2017)在水稻的11条染色体(除第11号染色体外)上检测到28个控制柱头长度的QTLs, 在水稻第1、2、3、4、6、7、10和11号染色体上检测到21个控制花柱长度的QTLs (Uga et al., 2003, 2010; Marathi et al., 2015; Dang et al., 2016; Zhou et al., 2017), 在水稻的9条染色体(除第8、9和10号染色体外)上检测到16个控制柱花总长度的QTLs (陈兰等, 2012; 刘强明, 2015; Liu et al., 2015; Marathi et al., 2015; Dang et al., 2016).仅见Liu等(2015)qSTL3精细定位于水稻第3号染色体短臂19.8 kb区间, Dang等(2020)将控制花柱长度的基因OsSYL2AA克隆.尚未见柱头性状基因功能分析等深层次的研究报道, 说明当前对于柱头性状的研究少而浅, 这可能正是导致至今未见分子标记辅助选择(marked-assisted selection, MAS)选育长柱头、高外露率不育系等育种材料报道的主要原因. ...

... 、回交重组自交系(backcross inbred line, BIL)和双单倍体(doubled haploid line, DH)群体(Uga et al., 2010)以及自然群体(Yan et al., 2009; Marathi et al., 2015; Dang et al., 2016; Zhou et al., 2017)在水稻的11条染色体(除第11号染色体外)上检测到28个控制柱头长度的QTLs, 在水稻第1、2、3、4、6、7、10和11号染色体上检测到21个控制花柱长度的QTLs (Uga et al., 2003, 2010; Marathi et al., 2015; Dang et al., 2016; Zhou et al., 2017), 在水稻的9条染色体(除第8、9和10号染色体外)上检测到16个控制柱花总长度的QTLs (陈兰等, 2012; 刘强明, 2015; Liu et al., 2015; Marathi et al., 2015; Dang et al., 2016).仅见Liu等(2015)qSTL3精细定位于水稻第3号染色体短臂19.8 kb区间, Dang等(2020)将控制花柱长度的基因OsSYL2AA克隆.尚未见柱头性状基因功能分析等深层次的研究报道, 说明当前对于柱头性状的研究少而浅, 这可能正是导致至今未见分子标记辅助选择(marked-assisted selection, MAS)选育长柱头、高外露率不育系等育种材料报道的主要原因. ...

... , 2010; Marathi et al., 2015; Dang et al., 2016; Zhou et al., 2017), 在水稻的9条染色体(除第8、9和10号染色体外)上检测到16个控制柱花总长度的QTLs (陈兰等, 2012; 刘强明, 2015; Liu et al., 2015; Marathi et al., 2015; Dang et al., 2016).仅见Liu等(2015)qSTL3精细定位于水稻第3号染色体短臂19.8 kb区间, Dang等(2020)将控制花柱长度的基因OsSYL2AA克隆.尚未见柱头性状基因功能分析等深层次的研究报道, 说明当前对于柱头性状的研究少而浅, 这可能正是导致至今未见分子标记辅助选择(marked-assisted selection, MAS)选育长柱头、高外露率不育系等育种材料报道的主要原因. ...

... 目前, 对于柱头性状的研究主要集中于PES (Xiong et al., 1999; Uga et al., 2003; Yu et al., 2006; Miyata et al., 2007; Hu et al., 2009; Yan et al., 2009; 尹成等, 2014; Li et al., 2014; Rahman et al., 2016, 2017; 李威等, 2017; Zhang et al., 2018; Bakti and Tanaka, 2019; Liu et al., 2019), 而对柱头长度相关性状(STL (Marathi et al., 2015; Dang et al., 2016; Zhou et al., 2017)、SYL (Marathi et al., 2015; Dang et al., 2016, 2020; Zhou et al., 2017)和TSSL (Uga et al., 2003, 2010; Yan et al., 2009; 陈兰等, 2012; 刘强明, 2015; Liu et al., 2015; Marathi et al., 2015; Dang et al., 2016))的报道较少.因此, 对于4个柱头性状遗传效应的研究也主要集中于PES.从本研究的一阶遗传参数来看, PES以加性效应为主, 这与Yan等(2009)的研究结果一致.而STL、SYL和TSSL在不同群体中表现不尽相同.例如, STL在2个群体中均表现出以上位性效应为主, 加性效应和显性效应较小.对于SYL而言, F2群体中加性、显性和上位性效应并重, 而在F2:3群体中则表现出以加性效应为主.对于TSSL, F2群体中表现出以显性效应和上位性效应为主, 而在F2:3群体中则以加性效应为主, 这与刘强明(2015)利用CSSL群体分析得出TSSL以加性效应遗传为主的结果不尽一致, 表明柱头长度性状的遗传较PES更复杂.从二阶遗传参数来看, 4个性状在2个世代中的主基因遗传率介于63.64% (F2:3群体SYL)-92.13% (F2:3群体TSSL)之间, 多基因遗传率介于17.63% (F2群体PES)-25.00% (F2群体STL)之间, 表明这4个性状均以主基因遗传为主.但本研究同时也发现, 4个柱头性状中的多基因效应(加性效应和显性效应)也起较大作用, 如F2群体的TSSL, 其主基因效应(加性效应、显性效应和上位性效应)绝对值之和为1.18, 而其多基因效应(加性效应和显性效应)绝对值之和为1.04, 两者基本一致, 其它性状类似.以上结果说明柱头性状虽然属于数量性状, 受主效基因(主基因)和微效基因(多基因)共同控制, 但其同时又与水稻其它数量性状如株高(sd1) (Sasaki et al., 2002)、穗粒数(qSSP7) (Xing et al., 2008)和生育期(Ghd7) (Xue et al., 2008)存在差异, 即本研究中的4个柱头性状其主基因(主效基因)和多基因(微效基因)间的差异并不是很大, 而sd1qSSP7Ghd7等主效基因与之对应的微效基因相比其效应差异明显, 这也可能是导致当前柱头性状研究滞后的原因之一.在育种实践中, 籼型水稻的异交率远高于粳型, 尤其是在不育系方面, 这也是限制杂交粳稻和籼粳交杂交水稻推广种植的关键性因素.本研究利用核不育系籼粳交后代群体对4个柱头性状进行遗传解析, 为粳型不育系的改良提供了技术路线和理论基础.即育种家在高异交率粳型不育系选育过程中, 可将肉眼易辨的田间柱头外露率的直接观察与柱头长度性状的室内调查相结合, 通过筛选长柱头、高外露率进而提高粳型不育系的异交率.同时, 要统筹考虑主效基因和微效基因的影响, 及时开展早期有效的单株选择, 重点关注高代单株柱头性状的表现, 降低环境因素对柱头性状选择带来的干扰.4个柱头相关性状的主基因+多基因遗传分析是对其遗传组成、遗传规律特征及遗传参数进行全面剖析, 不仅可为粳型水稻柱头性状改良提供有益的指导, 也可为柱头性状的基因挖掘、功能分析和分子设计育种提供重要的理论依据. ...

Genetic variability in floral characteristics influencing outcrossing in Oryza sativa L
1
1973

... 柱头性状主要包括柱头长度、花柱长度、柱花总长度和柱头外露率(单外露率、双外露率和总外露率)等.研究发现, 柱头性状间存在紧密联系, 如柱花总长度与柱头外露率呈显著(Virmani and Athwal, 1973; Miyata et al., 2007; Takano-Kai et al., 2011)或极显著(刘强明, 2015; Zhou et al., 2017)正相关, 柱头长度、花柱长度和柱花总长度间也表现出极显著正相关(Dang et al., 2016; Zhou et al., 2017).但当前对于柱头性状的研究远远落后于水稻其它性状(如米质性状) (Wang et al., 2012)、农艺性状(Li et al., 2013; Zhou et al., 2013)以及抗性(Zheng et al., 2013).目前, 对柱头性状的研究多集中于柱头外露率的QTL定位, 研究者利用不同群体检测到112个控制柱头外露率的QTLs (Xiong et al., 1999; Uga et al., 2003; Yu et al., 2006; Miyata et al., 2007; Hu et al., 2009; Yan et al., 2009; Li et al., 2014; 尹成等, 2014; Rahman et al., 2016, 2017; 李威等, 2017; Zhang et al., 2018; Bakti and Tanaka, 2019; Liu et al., 2019), 而其中仅3个QTLs (qSE7 (Rahman et al., 2017)、qSE11 (Zhang et al., 2018)和qSER-7 (Liu et al., 2019))被精细定位.对于柱头长度相关性状的报道则较少.研究者利用重组自交系(recombination inbred line, RIL) (Uga et al., 2003, 2010), F2、回交重组自交系(backcross inbred line, BIL)和双单倍体(doubled haploid line, DH)群体(Uga et al., 2010)以及自然群体(Yan et al., 2009; Marathi et al., 2015; Dang et al., 2016; Zhou et al., 2017)在水稻的11条染色体(除第11号染色体外)上检测到28个控制柱头长度的QTLs, 在水稻第1、2、3、4、6、7、10和11号染色体上检测到21个控制花柱长度的QTLs (Uga et al., 2003, 2010; Marathi et al., 2015; Dang et al., 2016; Zhou et al., 2017), 在水稻的9条染色体(除第8、9和10号染色体外)上检测到16个控制柱花总长度的QTLs (陈兰等, 2012; 刘强明, 2015; Liu et al., 2015; Marathi et al., 2015; Dang et al., 2016).仅见Liu等(2015)qSTL3精细定位于水稻第3号染色体短臂19.8 kb区间, Dang等(2020)将控制花柱长度的基因OsSYL2AA克隆.尚未见柱头性状基因功能分析等深层次的研究报道, 说明当前对于柱头性状的研究少而浅, 这可能正是导致至今未见分子标记辅助选择(marked-assisted selection, MAS)选育长柱头、高外露率不育系等育种材料报道的主要原因. ...

Control of grain size, shape and quality by OsSPL16 in rice
1
2012

... 柱头性状主要包括柱头长度、花柱长度、柱花总长度和柱头外露率(单外露率、双外露率和总外露率)等.研究发现, 柱头性状间存在紧密联系, 如柱花总长度与柱头外露率呈显著(Virmani and Athwal, 1973; Miyata et al., 2007; Takano-Kai et al., 2011)或极显著(刘强明, 2015; Zhou et al., 2017)正相关, 柱头长度、花柱长度和柱花总长度间也表现出极显著正相关(Dang et al., 2016; Zhou et al., 2017).但当前对于柱头性状的研究远远落后于水稻其它性状(如米质性状) (Wang et al., 2012)、农艺性状(Li et al., 2013; Zhou et al., 2013)以及抗性(Zheng et al., 2013).目前, 对柱头性状的研究多集中于柱头外露率的QTL定位, 研究者利用不同群体检测到112个控制柱头外露率的QTLs (Xiong et al., 1999; Uga et al., 2003; Yu et al., 2006; Miyata et al., 2007; Hu et al., 2009; Yan et al., 2009; Li et al., 2014; 尹成等, 2014; Rahman et al., 2016, 2017; 李威等, 2017; Zhang et al., 2018; Bakti and Tanaka, 2019; Liu et al., 2019), 而其中仅3个QTLs (qSE7 (Rahman et al., 2017)、qSE11 (Zhang et al., 2018)和qSER-7 (Liu et al., 2019))被精细定位.对于柱头长度相关性状的报道则较少.研究者利用重组自交系(recombination inbred line, RIL) (Uga et al., 2003, 2010), F2、回交重组自交系(backcross inbred line, BIL)和双单倍体(doubled haploid line, DH)群体(Uga et al., 2010)以及自然群体(Yan et al., 2009; Marathi et al., 2015; Dang et al., 2016; Zhou et al., 2017)在水稻的11条染色体(除第11号染色体外)上检测到28个控制柱头长度的QTLs, 在水稻第1、2、3、4、6、7、10和11号染色体上检测到21个控制花柱长度的QTLs (Uga et al., 2003, 2010; Marathi et al., 2015; Dang et al., 2016; Zhou et al., 2017), 在水稻的9条染色体(除第8、9和10号染色体外)上检测到16个控制柱花总长度的QTLs (陈兰等, 2012; 刘强明, 2015; Liu et al., 2015; Marathi et al., 2015; Dang et al., 2016).仅见Liu等(2015)qSTL3精细定位于水稻第3号染色体短臂19.8 kb区间, Dang等(2020)将控制花柱长度的基因OsSYL2AA克隆.尚未见柱头性状基因功能分析等深层次的研究报道, 说明当前对于柱头性状的研究少而浅, 这可能正是导致至今未见分子标记辅助选择(marked-assisted selection, MAS)选育长柱头、高外露率不育系等育种材料报道的主要原因. ...

Fine mapping of a major quantitative trait loci, qSSP7, controlling the number of spikelets per panicle as a single Mendelian factor in rice
1
2008

... 目前, 对于柱头性状的研究主要集中于PES (Xiong et al., 1999; Uga et al., 2003; Yu et al., 2006; Miyata et al., 2007; Hu et al., 2009; Yan et al., 2009; 尹成等, 2014; Li et al., 2014; Rahman et al., 2016, 2017; 李威等, 2017; Zhang et al., 2018; Bakti and Tanaka, 2019; Liu et al., 2019), 而对柱头长度相关性状(STL (Marathi et al., 2015; Dang et al., 2016; Zhou et al., 2017)、SYL (Marathi et al., 2015; Dang et al., 2016, 2020; Zhou et al., 2017)和TSSL (Uga et al., 2003, 2010; Yan et al., 2009; 陈兰等, 2012; 刘强明, 2015; Liu et al., 2015; Marathi et al., 2015; Dang et al., 2016))的报道较少.因此, 对于4个柱头性状遗传效应的研究也主要集中于PES.从本研究的一阶遗传参数来看, PES以加性效应为主, 这与Yan等(2009)的研究结果一致.而STL、SYL和TSSL在不同群体中表现不尽相同.例如, STL在2个群体中均表现出以上位性效应为主, 加性效应和显性效应较小.对于SYL而言, F2群体中加性、显性和上位性效应并重, 而在F2:3群体中则表现出以加性效应为主.对于TSSL, F2群体中表现出以显性效应和上位性效应为主, 而在F2:3群体中则以加性效应为主, 这与刘强明(2015)利用CSSL群体分析得出TSSL以加性效应遗传为主的结果不尽一致, 表明柱头长度性状的遗传较PES更复杂.从二阶遗传参数来看, 4个性状在2个世代中的主基因遗传率介于63.64% (F2:3群体SYL)-92.13% (F2:3群体TSSL)之间, 多基因遗传率介于17.63% (F2群体PES)-25.00% (F2群体STL)之间, 表明这4个性状均以主基因遗传为主.但本研究同时也发现, 4个柱头性状中的多基因效应(加性效应和显性效应)也起较大作用, 如F2群体的TSSL, 其主基因效应(加性效应、显性效应和上位性效应)绝对值之和为1.18, 而其多基因效应(加性效应和显性效应)绝对值之和为1.04, 两者基本一致, 其它性状类似.以上结果说明柱头性状虽然属于数量性状, 受主效基因(主基因)和微效基因(多基因)共同控制, 但其同时又与水稻其它数量性状如株高(sd1) (Sasaki et al., 2002)、穗粒数(qSSP7) (Xing et al., 2008)和生育期(Ghd7) (Xue et al., 2008)存在差异, 即本研究中的4个柱头性状其主基因(主效基因)和多基因(微效基因)间的差异并不是很大, 而sd1qSSP7Ghd7等主效基因与之对应的微效基因相比其效应差异明显, 这也可能是导致当前柱头性状研究滞后的原因之一.在育种实践中, 籼型水稻的异交率远高于粳型, 尤其是在不育系方面, 这也是限制杂交粳稻和籼粳交杂交水稻推广种植的关键性因素.本研究利用核不育系籼粳交后代群体对4个柱头性状进行遗传解析, 为粳型不育系的改良提供了技术路线和理论基础.即育种家在高异交率粳型不育系选育过程中, 可将肉眼易辨的田间柱头外露率的直接观察与柱头长度性状的室内调查相结合, 通过筛选长柱头、高外露率进而提高粳型不育系的异交率.同时, 要统筹考虑主效基因和微效基因的影响, 及时开展早期有效的单株选择, 重点关注高代单株柱头性状的表现, 降低环境因素对柱头性状选择带来的干扰.4个柱头相关性状的主基因+多基因遗传分析是对其遗传组成、遗传规律特征及遗传参数进行全面剖析, 不仅可为粳型水稻柱头性状改良提供有益的指导, 也可为柱头性状的基因挖掘、功能分析和分子设计育种提供重要的理论依据. ...

Identification of genetic factors controlling domestication-related traits of rice using an F2 population of a cross between Oryza sativa and O. rufipogon
2
1999

... 柱头性状主要包括柱头长度、花柱长度、柱花总长度和柱头外露率(单外露率、双外露率和总外露率)等.研究发现, 柱头性状间存在紧密联系, 如柱花总长度与柱头外露率呈显著(Virmani and Athwal, 1973; Miyata et al., 2007; Takano-Kai et al., 2011)或极显著(刘强明, 2015; Zhou et al., 2017)正相关, 柱头长度、花柱长度和柱花总长度间也表现出极显著正相关(Dang et al., 2016; Zhou et al., 2017).但当前对于柱头性状的研究远远落后于水稻其它性状(如米质性状) (Wang et al., 2012)、农艺性状(Li et al., 2013; Zhou et al., 2013)以及抗性(Zheng et al., 2013).目前, 对柱头性状的研究多集中于柱头外露率的QTL定位, 研究者利用不同群体检测到112个控制柱头外露率的QTLs (Xiong et al., 1999; Uga et al., 2003; Yu et al., 2006; Miyata et al., 2007; Hu et al., 2009; Yan et al., 2009; Li et al., 2014; 尹成等, 2014; Rahman et al., 2016, 2017; 李威等, 2017; Zhang et al., 2018; Bakti and Tanaka, 2019; Liu et al., 2019), 而其中仅3个QTLs (qSE7 (Rahman et al., 2017)、qSE11 (Zhang et al., 2018)和qSER-7 (Liu et al., 2019))被精细定位.对于柱头长度相关性状的报道则较少.研究者利用重组自交系(recombination inbred line, RIL) (Uga et al., 2003, 2010), F2、回交重组自交系(backcross inbred line, BIL)和双单倍体(doubled haploid line, DH)群体(Uga et al., 2010)以及自然群体(Yan et al., 2009; Marathi et al., 2015; Dang et al., 2016; Zhou et al., 2017)在水稻的11条染色体(除第11号染色体外)上检测到28个控制柱头长度的QTLs, 在水稻第1、2、3、4、6、7、10和11号染色体上检测到21个控制花柱长度的QTLs (Uga et al., 2003, 2010; Marathi et al., 2015; Dang et al., 2016; Zhou et al., 2017), 在水稻的9条染色体(除第8、9和10号染色体外)上检测到16个控制柱花总长度的QTLs (陈兰等, 2012; 刘强明, 2015; Liu et al., 2015; Marathi et al., 2015; Dang et al., 2016).仅见Liu等(2015)qSTL3精细定位于水稻第3号染色体短臂19.8 kb区间, Dang等(2020)将控制花柱长度的基因OsSYL2AA克隆.尚未见柱头性状基因功能分析等深层次的研究报道, 说明当前对于柱头性状的研究少而浅, 这可能正是导致至今未见分子标记辅助选择(marked-assisted selection, MAS)选育长柱头、高外露率不育系等育种材料报道的主要原因. ...

... 目前, 对于柱头性状的研究主要集中于PES (Xiong et al., 1999; Uga et al., 2003; Yu et al., 2006; Miyata et al., 2007; Hu et al., 2009; Yan et al., 2009; 尹成等, 2014; Li et al., 2014; Rahman et al., 2016, 2017; 李威等, 2017; Zhang et al., 2018; Bakti and Tanaka, 2019; Liu et al., 2019), 而对柱头长度相关性状(STL (Marathi et al., 2015; Dang et al., 2016; Zhou et al., 2017)、SYL (Marathi et al., 2015; Dang et al., 2016, 2020; Zhou et al., 2017)和TSSL (Uga et al., 2003, 2010; Yan et al., 2009; 陈兰等, 2012; 刘强明, 2015; Liu et al., 2015; Marathi et al., 2015; Dang et al., 2016))的报道较少.因此, 对于4个柱头性状遗传效应的研究也主要集中于PES.从本研究的一阶遗传参数来看, PES以加性效应为主, 这与Yan等(2009)的研究结果一致.而STL、SYL和TSSL在不同群体中表现不尽相同.例如, STL在2个群体中均表现出以上位性效应为主, 加性效应和显性效应较小.对于SYL而言, F2群体中加性、显性和上位性效应并重, 而在F2:3群体中则表现出以加性效应为主.对于TSSL, F2群体中表现出以显性效应和上位性效应为主, 而在F2:3群体中则以加性效应为主, 这与刘强明(2015)利用CSSL群体分析得出TSSL以加性效应遗传为主的结果不尽一致, 表明柱头长度性状的遗传较PES更复杂.从二阶遗传参数来看, 4个性状在2个世代中的主基因遗传率介于63.64% (F2:3群体SYL)-92.13% (F2:3群体TSSL)之间, 多基因遗传率介于17.63% (F2群体PES)-25.00% (F2群体STL)之间, 表明这4个性状均以主基因遗传为主.但本研究同时也发现, 4个柱头性状中的多基因效应(加性效应和显性效应)也起较大作用, 如F2群体的TSSL, 其主基因效应(加性效应、显性效应和上位性效应)绝对值之和为1.18, 而其多基因效应(加性效应和显性效应)绝对值之和为1.04, 两者基本一致, 其它性状类似.以上结果说明柱头性状虽然属于数量性状, 受主效基因(主基因)和微效基因(多基因)共同控制, 但其同时又与水稻其它数量性状如株高(sd1) (Sasaki et al., 2002)、穗粒数(qSSP7) (Xing et al., 2008)和生育期(Ghd7) (Xue et al., 2008)存在差异, 即本研究中的4个柱头性状其主基因(主效基因)和多基因(微效基因)间的差异并不是很大, 而sd1qSSP7Ghd7等主效基因与之对应的微效基因相比其效应差异明显, 这也可能是导致当前柱头性状研究滞后的原因之一.在育种实践中, 籼型水稻的异交率远高于粳型, 尤其是在不育系方面, 这也是限制杂交粳稻和籼粳交杂交水稻推广种植的关键性因素.本研究利用核不育系籼粳交后代群体对4个柱头性状进行遗传解析, 为粳型不育系的改良提供了技术路线和理论基础.即育种家在高异交率粳型不育系选育过程中, 可将肉眼易辨的田间柱头外露率的直接观察与柱头长度性状的室内调查相结合, 通过筛选长柱头、高外露率进而提高粳型不育系的异交率.同时, 要统筹考虑主效基因和微效基因的影响, 及时开展早期有效的单株选择, 重点关注高代单株柱头性状的表现, 降低环境因素对柱头性状选择带来的干扰.4个柱头相关性状的主基因+多基因遗传分析是对其遗传组成、遗传规律特征及遗传参数进行全面剖析, 不仅可为粳型水稻柱头性状改良提供有益的指导, 也可为柱头性状的基因挖掘、功能分析和分子设计育种提供重要的理论依据. ...

Na- tural variation in Ghd7 is an important regulator of heading date and yield potential in rice
1
2008

... 目前, 对于柱头性状的研究主要集中于PES (Xiong et al., 1999; Uga et al., 2003; Yu et al., 2006; Miyata et al., 2007; Hu et al., 2009; Yan et al., 2009; 尹成等, 2014; Li et al., 2014; Rahman et al., 2016, 2017; 李威等, 2017; Zhang et al., 2018; Bakti and Tanaka, 2019; Liu et al., 2019), 而对柱头长度相关性状(STL (Marathi et al., 2015; Dang et al., 2016; Zhou et al., 2017)、SYL (Marathi et al., 2015; Dang et al., 2016, 2020; Zhou et al., 2017)和TSSL (Uga et al., 2003, 2010; Yan et al., 2009; 陈兰等, 2012; 刘强明, 2015; Liu et al., 2015; Marathi et al., 2015; Dang et al., 2016))的报道较少.因此, 对于4个柱头性状遗传效应的研究也主要集中于PES.从本研究的一阶遗传参数来看, PES以加性效应为主, 这与Yan等(2009)的研究结果一致.而STL、SYL和TSSL在不同群体中表现不尽相同.例如, STL在2个群体中均表现出以上位性效应为主, 加性效应和显性效应较小.对于SYL而言, F2群体中加性、显性和上位性效应并重, 而在F2:3群体中则表现出以加性效应为主.对于TSSL, F2群体中表现出以显性效应和上位性效应为主, 而在F2:3群体中则以加性效应为主, 这与刘强明(2015)利用CSSL群体分析得出TSSL以加性效应遗传为主的结果不尽一致, 表明柱头长度性状的遗传较PES更复杂.从二阶遗传参数来看, 4个性状在2个世代中的主基因遗传率介于63.64% (F2:3群体SYL)-92.13% (F2:3群体TSSL)之间, 多基因遗传率介于17.63% (F2群体PES)-25.00% (F2群体STL)之间, 表明这4个性状均以主基因遗传为主.但本研究同时也发现, 4个柱头性状中的多基因效应(加性效应和显性效应)也起较大作用, 如F2群体的TSSL, 其主基因效应(加性效应、显性效应和上位性效应)绝对值之和为1.18, 而其多基因效应(加性效应和显性效应)绝对值之和为1.04, 两者基本一致, 其它性状类似.以上结果说明柱头性状虽然属于数量性状, 受主效基因(主基因)和微效基因(多基因)共同控制, 但其同时又与水稻其它数量性状如株高(sd1) (Sasaki et al., 2002)、穗粒数(qSSP7) (Xing et al., 2008)和生育期(Ghd7) (Xue et al., 2008)存在差异, 即本研究中的4个柱头性状其主基因(主效基因)和多基因(微效基因)间的差异并不是很大, 而sd1qSSP7Ghd7等主效基因与之对应的微效基因相比其效应差异明显, 这也可能是导致当前柱头性状研究滞后的原因之一.在育种实践中, 籼型水稻的异交率远高于粳型, 尤其是在不育系方面, 这也是限制杂交粳稻和籼粳交杂交水稻推广种植的关键性因素.本研究利用核不育系籼粳交后代群体对4个柱头性状进行遗传解析, 为粳型不育系的改良提供了技术路线和理论基础.即育种家在高异交率粳型不育系选育过程中, 可将肉眼易辨的田间柱头外露率的直接观察与柱头长度性状的室内调查相结合, 通过筛选长柱头、高外露率进而提高粳型不育系的异交率.同时, 要统筹考虑主效基因和微效基因的影响, 及时开展早期有效的单株选择, 重点关注高代单株柱头性状的表现, 降低环境因素对柱头性状选择带来的干扰.4个柱头相关性状的主基因+多基因遗传分析是对其遗传组成、遗传规律特征及遗传参数进行全面剖析, 不仅可为粳型水稻柱头性状改良提供有益的指导, 也可为柱头性状的基因挖掘、功能分析和分子设计育种提供重要的理论依据. ...

Association mapping of stigma and spikelet characteristics in rice (Oryza sativa L.)
5
2009

... 柱头性状主要包括柱头长度、花柱长度、柱花总长度和柱头外露率(单外露率、双外露率和总外露率)等.研究发现, 柱头性状间存在紧密联系, 如柱花总长度与柱头外露率呈显著(Virmani and Athwal, 1973; Miyata et al., 2007; Takano-Kai et al., 2011)或极显著(刘强明, 2015; Zhou et al., 2017)正相关, 柱头长度、花柱长度和柱花总长度间也表现出极显著正相关(Dang et al., 2016; Zhou et al., 2017).但当前对于柱头性状的研究远远落后于水稻其它性状(如米质性状) (Wang et al., 2012)、农艺性状(Li et al., 2013; Zhou et al., 2013)以及抗性(Zheng et al., 2013).目前, 对柱头性状的研究多集中于柱头外露率的QTL定位, 研究者利用不同群体检测到112个控制柱头外露率的QTLs (Xiong et al., 1999; Uga et al., 2003; Yu et al., 2006; Miyata et al., 2007; Hu et al., 2009; Yan et al., 2009; Li et al., 2014; 尹成等, 2014; Rahman et al., 2016, 2017; 李威等, 2017; Zhang et al., 2018; Bakti and Tanaka, 2019; Liu et al., 2019), 而其中仅3个QTLs (qSE7 (Rahman et al., 2017)、qSE11 (Zhang et al., 2018)和qSER-7 (Liu et al., 2019))被精细定位.对于柱头长度相关性状的报道则较少.研究者利用重组自交系(recombination inbred line, RIL) (Uga et al., 2003, 2010), F2、回交重组自交系(backcross inbred line, BIL)和双单倍体(doubled haploid line, DH)群体(Uga et al., 2010)以及自然群体(Yan et al., 2009; Marathi et al., 2015; Dang et al., 2016; Zhou et al., 2017)在水稻的11条染色体(除第11号染色体外)上检测到28个控制柱头长度的QTLs, 在水稻第1、2、3、4、6、7、10和11号染色体上检测到21个控制花柱长度的QTLs (Uga et al., 2003, 2010; Marathi et al., 2015; Dang et al., 2016; Zhou et al., 2017), 在水稻的9条染色体(除第8、9和10号染色体外)上检测到16个控制柱花总长度的QTLs (陈兰等, 2012; 刘强明, 2015; Liu et al., 2015; Marathi et al., 2015; Dang et al., 2016).仅见Liu等(2015)qSTL3精细定位于水稻第3号染色体短臂19.8 kb区间, Dang等(2020)将控制花柱长度的基因OsSYL2AA克隆.尚未见柱头性状基因功能分析等深层次的研究报道, 说明当前对于柱头性状的研究少而浅, 这可能正是导致至今未见分子标记辅助选择(marked-assisted selection, MAS)选育长柱头、高外露率不育系等育种材料报道的主要原因. ...

... )以及自然群体(Yan et al., 2009; Marathi et al., 2015; Dang et al., 2016; Zhou et al., 2017)在水稻的11条染色体(除第11号染色体外)上检测到28个控制柱头长度的QTLs, 在水稻第1、2、3、4、6、7、10和11号染色体上检测到21个控制花柱长度的QTLs (Uga et al., 2003, 2010; Marathi et al., 2015; Dang et al., 2016; Zhou et al., 2017), 在水稻的9条染色体(除第8、9和10号染色体外)上检测到16个控制柱花总长度的QTLs (陈兰等, 2012; 刘强明, 2015; Liu et al., 2015; Marathi et al., 2015; Dang et al., 2016).仅见Liu等(2015)qSTL3精细定位于水稻第3号染色体短臂19.8 kb区间, Dang等(2020)将控制花柱长度的基因OsSYL2AA克隆.尚未见柱头性状基因功能分析等深层次的研究报道, 说明当前对于柱头性状的研究少而浅, 这可能正是导致至今未见分子标记辅助选择(marked-assisted selection, MAS)选育长柱头、高外露率不育系等育种材料报道的主要原因. ...

... 目前, 对于柱头性状的研究主要集中于PES (Xiong et al., 1999; Uga et al., 2003; Yu et al., 2006; Miyata et al., 2007; Hu et al., 2009; Yan et al., 2009; 尹成等, 2014; Li et al., 2014; Rahman et al., 2016, 2017; 李威等, 2017; Zhang et al., 2018; Bakti and Tanaka, 2019; Liu et al., 2019), 而对柱头长度相关性状(STL (Marathi et al., 2015; Dang et al., 2016; Zhou et al., 2017)、SYL (Marathi et al., 2015; Dang et al., 2016, 2020; Zhou et al., 2017)和TSSL (Uga et al., 2003, 2010; Yan et al., 2009; 陈兰等, 2012; 刘强明, 2015; Liu et al., 2015; Marathi et al., 2015; Dang et al., 2016))的报道较少.因此, 对于4个柱头性状遗传效应的研究也主要集中于PES.从本研究的一阶遗传参数来看, PES以加性效应为主, 这与Yan等(2009)的研究结果一致.而STL、SYL和TSSL在不同群体中表现不尽相同.例如, STL在2个群体中均表现出以上位性效应为主, 加性效应和显性效应较小.对于SYL而言, F2群体中加性、显性和上位性效应并重, 而在F2:3群体中则表现出以加性效应为主.对于TSSL, F2群体中表现出以显性效应和上位性效应为主, 而在F2:3群体中则以加性效应为主, 这与刘强明(2015)利用CSSL群体分析得出TSSL以加性效应遗传为主的结果不尽一致, 表明柱头长度性状的遗传较PES更复杂.从二阶遗传参数来看, 4个性状在2个世代中的主基因遗传率介于63.64% (F2:3群体SYL)-92.13% (F2:3群体TSSL)之间, 多基因遗传率介于17.63% (F2群体PES)-25.00% (F2群体STL)之间, 表明这4个性状均以主基因遗传为主.但本研究同时也发现, 4个柱头性状中的多基因效应(加性效应和显性效应)也起较大作用, 如F2群体的TSSL, 其主基因效应(加性效应、显性效应和上位性效应)绝对值之和为1.18, 而其多基因效应(加性效应和显性效应)绝对值之和为1.04, 两者基本一致, 其它性状类似.以上结果说明柱头性状虽然属于数量性状, 受主效基因(主基因)和微效基因(多基因)共同控制, 但其同时又与水稻其它数量性状如株高(sd1) (Sasaki et al., 2002)、穗粒数(qSSP7) (Xing et al., 2008)和生育期(Ghd7) (Xue et al., 2008)存在差异, 即本研究中的4个柱头性状其主基因(主效基因)和多基因(微效基因)间的差异并不是很大, 而sd1qSSP7Ghd7等主效基因与之对应的微效基因相比其效应差异明显, 这也可能是导致当前柱头性状研究滞后的原因之一.在育种实践中, 籼型水稻的异交率远高于粳型, 尤其是在不育系方面, 这也是限制杂交粳稻和籼粳交杂交水稻推广种植的关键性因素.本研究利用核不育系籼粳交后代群体对4个柱头性状进行遗传解析, 为粳型不育系的改良提供了技术路线和理论基础.即育种家在高异交率粳型不育系选育过程中, 可将肉眼易辨的田间柱头外露率的直接观察与柱头长度性状的室内调查相结合, 通过筛选长柱头、高外露率进而提高粳型不育系的异交率.同时, 要统筹考虑主效基因和微效基因的影响, 及时开展早期有效的单株选择, 重点关注高代单株柱头性状的表现, 降低环境因素对柱头性状选择带来的干扰.4个柱头相关性状的主基因+多基因遗传分析是对其遗传组成、遗传规律特征及遗传参数进行全面剖析, 不仅可为粳型水稻柱头性状改良提供有益的指导, 也可为柱头性状的基因挖掘、功能分析和分子设计育种提供重要的理论依据. ...

... ; Yan et al., 2009; 陈兰等, 2012; 刘强明, 2015; Liu et al., 2015; Marathi et al., 2015; Dang et al., 2016))的报道较少.因此, 对于4个柱头性状遗传效应的研究也主要集中于PES.从本研究的一阶遗传参数来看, PES以加性效应为主, 这与Yan等(2009)的研究结果一致.而STL、SYL和TSSL在不同群体中表现不尽相同.例如, STL在2个群体中均表现出以上位性效应为主, 加性效应和显性效应较小.对于SYL而言, F2群体中加性、显性和上位性效应并重, 而在F2:3群体中则表现出以加性效应为主.对于TSSL, F2群体中表现出以显性效应和上位性效应为主, 而在F2:3群体中则以加性效应为主, 这与刘强明(2015)利用CSSL群体分析得出TSSL以加性效应遗传为主的结果不尽一致, 表明柱头长度性状的遗传较PES更复杂.从二阶遗传参数来看, 4个性状在2个世代中的主基因遗传率介于63.64% (F2:3群体SYL)-92.13% (F2:3群体TSSL)之间, 多基因遗传率介于17.63% (F2群体PES)-25.00% (F2群体STL)之间, 表明这4个性状均以主基因遗传为主.但本研究同时也发现, 4个柱头性状中的多基因效应(加性效应和显性效应)也起较大作用, 如F2群体的TSSL, 其主基因效应(加性效应、显性效应和上位性效应)绝对值之和为1.18, 而其多基因效应(加性效应和显性效应)绝对值之和为1.04, 两者基本一致, 其它性状类似.以上结果说明柱头性状虽然属于数量性状, 受主效基因(主基因)和微效基因(多基因)共同控制, 但其同时又与水稻其它数量性状如株高(sd1) (Sasaki et al., 2002)、穗粒数(qSSP7) (Xing et al., 2008)和生育期(Ghd7) (Xue et al., 2008)存在差异, 即本研究中的4个柱头性状其主基因(主效基因)和多基因(微效基因)间的差异并不是很大, 而sd1qSSP7Ghd7等主效基因与之对应的微效基因相比其效应差异明显, 这也可能是导致当前柱头性状研究滞后的原因之一.在育种实践中, 籼型水稻的异交率远高于粳型, 尤其是在不育系方面, 这也是限制杂交粳稻和籼粳交杂交水稻推广种植的关键性因素.本研究利用核不育系籼粳交后代群体对4个柱头性状进行遗传解析, 为粳型不育系的改良提供了技术路线和理论基础.即育种家在高异交率粳型不育系选育过程中, 可将肉眼易辨的田间柱头外露率的直接观察与柱头长度性状的室内调查相结合, 通过筛选长柱头、高外露率进而提高粳型不育系的异交率.同时, 要统筹考虑主效基因和微效基因的影响, 及时开展早期有效的单株选择, 重点关注高代单株柱头性状的表现, 降低环境因素对柱头性状选择带来的干扰.4个柱头相关性状的主基因+多基因遗传分析是对其遗传组成、遗传规律特征及遗传参数进行全面剖析, 不仅可为粳型水稻柱头性状改良提供有益的指导, 也可为柱头性状的基因挖掘、功能分析和分子设计育种提供重要的理论依据. ...

... ))的报道较少.因此, 对于4个柱头性状遗传效应的研究也主要集中于PES.从本研究的一阶遗传参数来看, PES以加性效应为主, 这与Yan等(2009)的研究结果一致.而STL、SYL和TSSL在不同群体中表现不尽相同.例如, STL在2个群体中均表现出以上位性效应为主, 加性效应和显性效应较小.对于SYL而言, F2群体中加性、显性和上位性效应并重, 而在F2:3群体中则表现出以加性效应为主.对于TSSL, F2群体中表现出以显性效应和上位性效应为主, 而在F2:3群体中则以加性效应为主, 这与刘强明(2015)利用CSSL群体分析得出TSSL以加性效应遗传为主的结果不尽一致, 表明柱头长度性状的遗传较PES更复杂.从二阶遗传参数来看, 4个性状在2个世代中的主基因遗传率介于63.64% (F2:3群体SYL)-92.13% (F2:3群体TSSL)之间, 多基因遗传率介于17.63% (F2群体PES)-25.00% (F2群体STL)之间, 表明这4个性状均以主基因遗传为主.但本研究同时也发现, 4个柱头性状中的多基因效应(加性效应和显性效应)也起较大作用, 如F2群体的TSSL, 其主基因效应(加性效应、显性效应和上位性效应)绝对值之和为1.18, 而其多基因效应(加性效应和显性效应)绝对值之和为1.04, 两者基本一致, 其它性状类似.以上结果说明柱头性状虽然属于数量性状, 受主效基因(主基因)和微效基因(多基因)共同控制, 但其同时又与水稻其它数量性状如株高(sd1) (Sasaki et al., 2002)、穗粒数(qSSP7) (Xing et al., 2008)和生育期(Ghd7) (Xue et al., 2008)存在差异, 即本研究中的4个柱头性状其主基因(主效基因)和多基因(微效基因)间的差异并不是很大, 而sd1qSSP7Ghd7等主效基因与之对应的微效基因相比其效应差异明显, 这也可能是导致当前柱头性状研究滞后的原因之一.在育种实践中, 籼型水稻的异交率远高于粳型, 尤其是在不育系方面, 这也是限制杂交粳稻和籼粳交杂交水稻推广种植的关键性因素.本研究利用核不育系籼粳交后代群体对4个柱头性状进行遗传解析, 为粳型不育系的改良提供了技术路线和理论基础.即育种家在高异交率粳型不育系选育过程中, 可将肉眼易辨的田间柱头外露率的直接观察与柱头长度性状的室内调查相结合, 通过筛选长柱头、高外露率进而提高粳型不育系的异交率.同时, 要统筹考虑主效基因和微效基因的影响, 及时开展早期有效的单株选择, 重点关注高代单株柱头性状的表现, 降低环境因素对柱头性状选择带来的干扰.4个柱头相关性状的主基因+多基因遗传分析是对其遗传组成、遗传规律特征及遗传参数进行全面剖析, 不仅可为粳型水稻柱头性状改良提供有益的指导, 也可为柱头性状的基因挖掘、功能分析和分子设计育种提供重要的理论依据. ...

Dissection of additive, epistatic effect and Q×E interaction of quantitative trait loci influencing stigma exsertion under water stress in rice
2
2006

... 柱头性状主要包括柱头长度、花柱长度、柱花总长度和柱头外露率(单外露率、双外露率和总外露率)等.研究发现, 柱头性状间存在紧密联系, 如柱花总长度与柱头外露率呈显著(Virmani and Athwal, 1973; Miyata et al., 2007; Takano-Kai et al., 2011)或极显著(刘强明, 2015; Zhou et al., 2017)正相关, 柱头长度、花柱长度和柱花总长度间也表现出极显著正相关(Dang et al., 2016; Zhou et al., 2017).但当前对于柱头性状的研究远远落后于水稻其它性状(如米质性状) (Wang et al., 2012)、农艺性状(Li et al., 2013; Zhou et al., 2013)以及抗性(Zheng et al., 2013).目前, 对柱头性状的研究多集中于柱头外露率的QTL定位, 研究者利用不同群体检测到112个控制柱头外露率的QTLs (Xiong et al., 1999; Uga et al., 2003; Yu et al., 2006; Miyata et al., 2007; Hu et al., 2009; Yan et al., 2009; Li et al., 2014; 尹成等, 2014; Rahman et al., 2016, 2017; 李威等, 2017; Zhang et al., 2018; Bakti and Tanaka, 2019; Liu et al., 2019), 而其中仅3个QTLs (qSE7 (Rahman et al., 2017)、qSE11 (Zhang et al., 2018)和qSER-7 (Liu et al., 2019))被精细定位.对于柱头长度相关性状的报道则较少.研究者利用重组自交系(recombination inbred line, RIL) (Uga et al., 2003, 2010), F2、回交重组自交系(backcross inbred line, BIL)和双单倍体(doubled haploid line, DH)群体(Uga et al., 2010)以及自然群体(Yan et al., 2009; Marathi et al., 2015; Dang et al., 2016; Zhou et al., 2017)在水稻的11条染色体(除第11号染色体外)上检测到28个控制柱头长度的QTLs, 在水稻第1、2、3、4、6、7、10和11号染色体上检测到21个控制花柱长度的QTLs (Uga et al., 2003, 2010; Marathi et al., 2015; Dang et al., 2016; Zhou et al., 2017), 在水稻的9条染色体(除第8、9和10号染色体外)上检测到16个控制柱花总长度的QTLs (陈兰等, 2012; 刘强明, 2015; Liu et al., 2015; Marathi et al., 2015; Dang et al., 2016).仅见Liu等(2015)qSTL3精细定位于水稻第3号染色体短臂19.8 kb区间, Dang等(2020)将控制花柱长度的基因OsSYL2AA克隆.尚未见柱头性状基因功能分析等深层次的研究报道, 说明当前对于柱头性状的研究少而浅, 这可能正是导致至今未见分子标记辅助选择(marked-assisted selection, MAS)选育长柱头、高外露率不育系等育种材料报道的主要原因. ...

... 目前, 对于柱头性状的研究主要集中于PES (Xiong et al., 1999; Uga et al., 2003; Yu et al., 2006; Miyata et al., 2007; Hu et al., 2009; Yan et al., 2009; 尹成等, 2014; Li et al., 2014; Rahman et al., 2016, 2017; 李威等, 2017; Zhang et al., 2018; Bakti and Tanaka, 2019; Liu et al., 2019), 而对柱头长度相关性状(STL (Marathi et al., 2015; Dang et al., 2016; Zhou et al., 2017)、SYL (Marathi et al., 2015; Dang et al., 2016, 2020; Zhou et al., 2017)和TSSL (Uga et al., 2003, 2010; Yan et al., 2009; 陈兰等, 2012; 刘强明, 2015; Liu et al., 2015; Marathi et al., 2015; Dang et al., 2016))的报道较少.因此, 对于4个柱头性状遗传效应的研究也主要集中于PES.从本研究的一阶遗传参数来看, PES以加性效应为主, 这与Yan等(2009)的研究结果一致.而STL、SYL和TSSL在不同群体中表现不尽相同.例如, STL在2个群体中均表现出以上位性效应为主, 加性效应和显性效应较小.对于SYL而言, F2群体中加性、显性和上位性效应并重, 而在F2:3群体中则表现出以加性效应为主.对于TSSL, F2群体中表现出以显性效应和上位性效应为主, 而在F2:3群体中则以加性效应为主, 这与刘强明(2015)利用CSSL群体分析得出TSSL以加性效应遗传为主的结果不尽一致, 表明柱头长度性状的遗传较PES更复杂.从二阶遗传参数来看, 4个性状在2个世代中的主基因遗传率介于63.64% (F2:3群体SYL)-92.13% (F2:3群体TSSL)之间, 多基因遗传率介于17.63% (F2群体PES)-25.00% (F2群体STL)之间, 表明这4个性状均以主基因遗传为主.但本研究同时也发现, 4个柱头性状中的多基因效应(加性效应和显性效应)也起较大作用, 如F2群体的TSSL, 其主基因效应(加性效应、显性效应和上位性效应)绝对值之和为1.18, 而其多基因效应(加性效应和显性效应)绝对值之和为1.04, 两者基本一致, 其它性状类似.以上结果说明柱头性状虽然属于数量性状, 受主效基因(主基因)和微效基因(多基因)共同控制, 但其同时又与水稻其它数量性状如株高(sd1) (Sasaki et al., 2002)、穗粒数(qSSP7) (Xing et al., 2008)和生育期(Ghd7) (Xue et al., 2008)存在差异, 即本研究中的4个柱头性状其主基因(主效基因)和多基因(微效基因)间的差异并不是很大, 而sd1qSSP7Ghd7等主效基因与之对应的微效基因相比其效应差异明显, 这也可能是导致当前柱头性状研究滞后的原因之一.在育种实践中, 籼型水稻的异交率远高于粳型, 尤其是在不育系方面, 这也是限制杂交粳稻和籼粳交杂交水稻推广种植的关键性因素.本研究利用核不育系籼粳交后代群体对4个柱头性状进行遗传解析, 为粳型不育系的改良提供了技术路线和理论基础.即育种家在高异交率粳型不育系选育过程中, 可将肉眼易辨的田间柱头外露率的直接观察与柱头长度性状的室内调查相结合, 通过筛选长柱头、高外露率进而提高粳型不育系的异交率.同时, 要统筹考虑主效基因和微效基因的影响, 及时开展早期有效的单株选择, 重点关注高代单株柱头性状的表现, 降低环境因素对柱头性状选择带来的干扰.4个柱头相关性状的主基因+多基因遗传分析是对其遗传组成、遗传规律特征及遗传参数进行全面剖析, 不仅可为粳型水稻柱头性状改良提供有益的指导, 也可为柱头性状的基因挖掘、功能分析和分子设计育种提供重要的理论依据. ...

qSE7 is a major quantitative trait locus (QTL) influencing stigma exsertion rate in rice (Oryza sativa L.)
3
2018

... 柱头性状主要包括柱头长度、花柱长度、柱花总长度和柱头外露率(单外露率、双外露率和总外露率)等.研究发现, 柱头性状间存在紧密联系, 如柱花总长度与柱头外露率呈显著(Virmani and Athwal, 1973; Miyata et al., 2007; Takano-Kai et al., 2011)或极显著(刘强明, 2015; Zhou et al., 2017)正相关, 柱头长度、花柱长度和柱花总长度间也表现出极显著正相关(Dang et al., 2016; Zhou et al., 2017).但当前对于柱头性状的研究远远落后于水稻其它性状(如米质性状) (Wang et al., 2012)、农艺性状(Li et al., 2013; Zhou et al., 2013)以及抗性(Zheng et al., 2013).目前, 对柱头性状的研究多集中于柱头外露率的QTL定位, 研究者利用不同群体检测到112个控制柱头外露率的QTLs (Xiong et al., 1999; Uga et al., 2003; Yu et al., 2006; Miyata et al., 2007; Hu et al., 2009; Yan et al., 2009; Li et al., 2014; 尹成等, 2014; Rahman et al., 2016, 2017; 李威等, 2017; Zhang et al., 2018; Bakti and Tanaka, 2019; Liu et al., 2019), 而其中仅3个QTLs (qSE7 (Rahman et al., 2017)、qSE11 (Zhang et al., 2018)和qSER-7 (Liu et al., 2019))被精细定位.对于柱头长度相关性状的报道则较少.研究者利用重组自交系(recombination inbred line, RIL) (Uga et al., 2003, 2010), F2、回交重组自交系(backcross inbred line, BIL)和双单倍体(doubled haploid line, DH)群体(Uga et al., 2010)以及自然群体(Yan et al., 2009; Marathi et al., 2015; Dang et al., 2016; Zhou et al., 2017)在水稻的11条染色体(除第11号染色体外)上检测到28个控制柱头长度的QTLs, 在水稻第1、2、3、4、6、7、10和11号染色体上检测到21个控制花柱长度的QTLs (Uga et al., 2003, 2010; Marathi et al., 2015; Dang et al., 2016; Zhou et al., 2017), 在水稻的9条染色体(除第8、9和10号染色体外)上检测到16个控制柱花总长度的QTLs (陈兰等, 2012; 刘强明, 2015; Liu et al., 2015; Marathi et al., 2015; Dang et al., 2016).仅见Liu等(2015)qSTL3精细定位于水稻第3号染色体短臂19.8 kb区间, Dang等(2020)将控制花柱长度的基因OsSYL2AA克隆.尚未见柱头性状基因功能分析等深层次的研究报道, 说明当前对于柱头性状的研究少而浅, 这可能正是导致至今未见分子标记辅助选择(marked-assisted selection, MAS)选育长柱头、高外露率不育系等育种材料报道的主要原因. ...

... (Zhang et al., 2018)和qSER-7 (Liu et al., 2019))被精细定位.对于柱头长度相关性状的报道则较少.研究者利用重组自交系(recombination inbred line, RIL) (Uga et al., 2003, 2010), F2、回交重组自交系(backcross inbred line, BIL)和双单倍体(doubled haploid line, DH)群体(Uga et al., 2010)以及自然群体(Yan et al., 2009; Marathi et al., 2015; Dang et al., 2016; Zhou et al., 2017)在水稻的11条染色体(除第11号染色体外)上检测到28个控制柱头长度的QTLs, 在水稻第1、2、3、4、6、7、10和11号染色体上检测到21个控制花柱长度的QTLs (Uga et al., 2003, 2010; Marathi et al., 2015; Dang et al., 2016; Zhou et al., 2017), 在水稻的9条染色体(除第8、9和10号染色体外)上检测到16个控制柱花总长度的QTLs (陈兰等, 2012; 刘强明, 2015; Liu et al., 2015; Marathi et al., 2015; Dang et al., 2016).仅见Liu等(2015)qSTL3精细定位于水稻第3号染色体短臂19.8 kb区间, Dang等(2020)将控制花柱长度的基因OsSYL2AA克隆.尚未见柱头性状基因功能分析等深层次的研究报道, 说明当前对于柱头性状的研究少而浅, 这可能正是导致至今未见分子标记辅助选择(marked-assisted selection, MAS)选育长柱头、高外露率不育系等育种材料报道的主要原因. ...

... 目前, 对于柱头性状的研究主要集中于PES (Xiong et al., 1999; Uga et al., 2003; Yu et al., 2006; Miyata et al., 2007; Hu et al., 2009; Yan et al., 2009; 尹成等, 2014; Li et al., 2014; Rahman et al., 2016, 2017; 李威等, 2017; Zhang et al., 2018; Bakti and Tanaka, 2019; Liu et al., 2019), 而对柱头长度相关性状(STL (Marathi et al., 2015; Dang et al., 2016; Zhou et al., 2017)、SYL (Marathi et al., 2015; Dang et al., 2016, 2020; Zhou et al., 2017)和TSSL (Uga et al., 2003, 2010; Yan et al., 2009; 陈兰等, 2012; 刘强明, 2015; Liu et al., 2015; Marathi et al., 2015; Dang et al., 2016))的报道较少.因此, 对于4个柱头性状遗传效应的研究也主要集中于PES.从本研究的一阶遗传参数来看, PES以加性效应为主, 这与Yan等(2009)的研究结果一致.而STL、SYL和TSSL在不同群体中表现不尽相同.例如, STL在2个群体中均表现出以上位性效应为主, 加性效应和显性效应较小.对于SYL而言, F2群体中加性、显性和上位性效应并重, 而在F2:3群体中则表现出以加性效应为主.对于TSSL, F2群体中表现出以显性效应和上位性效应为主, 而在F2:3群体中则以加性效应为主, 这与刘强明(2015)利用CSSL群体分析得出TSSL以加性效应遗传为主的结果不尽一致, 表明柱头长度性状的遗传较PES更复杂.从二阶遗传参数来看, 4个性状在2个世代中的主基因遗传率介于63.64% (F2:3群体SYL)-92.13% (F2:3群体TSSL)之间, 多基因遗传率介于17.63% (F2群体PES)-25.00% (F2群体STL)之间, 表明这4个性状均以主基因遗传为主.但本研究同时也发现, 4个柱头性状中的多基因效应(加性效应和显性效应)也起较大作用, 如F2群体的TSSL, 其主基因效应(加性效应、显性效应和上位性效应)绝对值之和为1.18, 而其多基因效应(加性效应和显性效应)绝对值之和为1.04, 两者基本一致, 其它性状类似.以上结果说明柱头性状虽然属于数量性状, 受主效基因(主基因)和微效基因(多基因)共同控制, 但其同时又与水稻其它数量性状如株高(sd1) (Sasaki et al., 2002)、穗粒数(qSSP7) (Xing et al., 2008)和生育期(Ghd7) (Xue et al., 2008)存在差异, 即本研究中的4个柱头性状其主基因(主效基因)和多基因(微效基因)间的差异并不是很大, 而sd1qSSP7Ghd7等主效基因与之对应的微效基因相比其效应差异明显, 这也可能是导致当前柱头性状研究滞后的原因之一.在育种实践中, 籼型水稻的异交率远高于粳型, 尤其是在不育系方面, 这也是限制杂交粳稻和籼粳交杂交水稻推广种植的关键性因素.本研究利用核不育系籼粳交后代群体对4个柱头性状进行遗传解析, 为粳型不育系的改良提供了技术路线和理论基础.即育种家在高异交率粳型不育系选育过程中, 可将肉眼易辨的田间柱头外露率的直接观察与柱头长度性状的室内调查相结合, 通过筛选长柱头、高外露率进而提高粳型不育系的异交率.同时, 要统筹考虑主效基因和微效基因的影响, 及时开展早期有效的单株选择, 重点关注高代单株柱头性状的表现, 降低环境因素对柱头性状选择带来的干扰.4个柱头相关性状的主基因+多基因遗传分析是对其遗传组成、遗传规律特征及遗传参数进行全面剖析, 不仅可为粳型水稻柱头性状改良提供有益的指导, 也可为柱头性状的基因挖掘、功能分析和分子设计育种提供重要的理论依据. ...

The evolution and pathogenic mechanisms of the rice sheath blight pathogen
1
2013

... 柱头性状主要包括柱头长度、花柱长度、柱花总长度和柱头外露率(单外露率、双外露率和总外露率)等.研究发现, 柱头性状间存在紧密联系, 如柱花总长度与柱头外露率呈显著(Virmani and Athwal, 1973; Miyata et al., 2007; Takano-Kai et al., 2011)或极显著(刘强明, 2015; Zhou et al., 2017)正相关, 柱头长度、花柱长度和柱花总长度间也表现出极显著正相关(Dang et al., 2016; Zhou et al., 2017).但当前对于柱头性状的研究远远落后于水稻其它性状(如米质性状) (Wang et al., 2012)、农艺性状(Li et al., 2013; Zhou et al., 2013)以及抗性(Zheng et al., 2013).目前, 对柱头性状的研究多集中于柱头外露率的QTL定位, 研究者利用不同群体检测到112个控制柱头外露率的QTLs (Xiong et al., 1999; Uga et al., 2003; Yu et al., 2006; Miyata et al., 2007; Hu et al., 2009; Yan et al., 2009; Li et al., 2014; 尹成等, 2014; Rahman et al., 2016, 2017; 李威等, 2017; Zhang et al., 2018; Bakti and Tanaka, 2019; Liu et al., 2019), 而其中仅3个QTLs (qSE7 (Rahman et al., 2017)、qSE11 (Zhang et al., 2018)和qSER-7 (Liu et al., 2019))被精细定位.对于柱头长度相关性状的报道则较少.研究者利用重组自交系(recombination inbred line, RIL) (Uga et al., 2003, 2010), F2、回交重组自交系(backcross inbred line, BIL)和双单倍体(doubled haploid line, DH)群体(Uga et al., 2010)以及自然群体(Yan et al., 2009; Marathi et al., 2015; Dang et al., 2016; Zhou et al., 2017)在水稻的11条染色体(除第11号染色体外)上检测到28个控制柱头长度的QTLs, 在水稻第1、2、3、4、6、7、10和11号染色体上检测到21个控制花柱长度的QTLs (Uga et al., 2003, 2010; Marathi et al., 2015; Dang et al., 2016; Zhou et al., 2017), 在水稻的9条染色体(除第8、9和10号染色体外)上检测到16个控制柱花总长度的QTLs (陈兰等, 2012; 刘强明, 2015; Liu et al., 2015; Marathi et al., 2015; Dang et al., 2016).仅见Liu等(2015)qSTL3精细定位于水稻第3号染色体短臂19.8 kb区间, Dang等(2020)将控制花柱长度的基因OsSYL2AA克隆.尚未见柱头性状基因功能分析等深层次的研究报道, 说明当前对于柱头性状的研究少而浅, 这可能正是导致至今未见分子标记辅助选择(marked-assisted selection, MAS)选育长柱头、高外露率不育系等育种材料报道的主要原因. ...

D14-SCF D3- dependent degradation of D53 regulates strigolactone signaling
1
2013

... 柱头性状主要包括柱头长度、花柱长度、柱花总长度和柱头外露率(单外露率、双外露率和总外露率)等.研究发现, 柱头性状间存在紧密联系, 如柱花总长度与柱头外露率呈显著(Virmani and Athwal, 1973; Miyata et al., 2007; Takano-Kai et al., 2011)或极显著(刘强明, 2015; Zhou et al., 2017)正相关, 柱头长度、花柱长度和柱花总长度间也表现出极显著正相关(Dang et al., 2016; Zhou et al., 2017).但当前对于柱头性状的研究远远落后于水稻其它性状(如米质性状) (Wang et al., 2012)、农艺性状(Li et al., 2013; Zhou et al., 2013)以及抗性(Zheng et al., 2013).目前, 对柱头性状的研究多集中于柱头外露率的QTL定位, 研究者利用不同群体检测到112个控制柱头外露率的QTLs (Xiong et al., 1999; Uga et al., 2003; Yu et al., 2006; Miyata et al., 2007; Hu et al., 2009; Yan et al., 2009; Li et al., 2014; 尹成等, 2014; Rahman et al., 2016, 2017; 李威等, 2017; Zhang et al., 2018; Bakti and Tanaka, 2019; Liu et al., 2019), 而其中仅3个QTLs (qSE7 (Rahman et al., 2017)、qSE11 (Zhang et al., 2018)和qSER-7 (Liu et al., 2019))被精细定位.对于柱头长度相关性状的报道则较少.研究者利用重组自交系(recombination inbred line, RIL) (Uga et al., 2003, 2010), F2、回交重组自交系(backcross inbred line, BIL)和双单倍体(doubled haploid line, DH)群体(Uga et al., 2010)以及自然群体(Yan et al., 2009; Marathi et al., 2015; Dang et al., 2016; Zhou et al., 2017)在水稻的11条染色体(除第11号染色体外)上检测到28个控制柱头长度的QTLs, 在水稻第1、2、3、4、6、7、10和11号染色体上检测到21个控制花柱长度的QTLs (Uga et al., 2003, 2010; Marathi et al., 2015; Dang et al., 2016; Zhou et al., 2017), 在水稻的9条染色体(除第8、9和10号染色体外)上检测到16个控制柱花总长度的QTLs (陈兰等, 2012; 刘强明, 2015; Liu et al., 2015; Marathi et al., 2015; Dang et al., 2016).仅见Liu等(2015)qSTL3精细定位于水稻第3号染色体短臂19.8 kb区间, Dang等(2020)将控制花柱长度的基因OsSYL2AA克隆.尚未见柱头性状基因功能分析等深层次的研究报道, 说明当前对于柱头性状的研究少而浅, 这可能正是导致至今未见分子标记辅助选择(marked-assisted selection, MAS)选育长柱头、高外露率不育系等育种材料报道的主要原因. ...

Genome-wide association analyses reveal the genetic basis of stigma exsertion in rice
9
2017

... 柱头性状主要包括柱头长度、花柱长度、柱花总长度和柱头外露率(单外露率、双外露率和总外露率)等.研究发现, 柱头性状间存在紧密联系, 如柱花总长度与柱头外露率呈显著(Virmani and Athwal, 1973; Miyata et al., 2007; Takano-Kai et al., 2011)或极显著(刘强明, 2015; Zhou et al., 2017)正相关, 柱头长度、花柱长度和柱花总长度间也表现出极显著正相关(Dang et al., 2016; Zhou et al., 2017).但当前对于柱头性状的研究远远落后于水稻其它性状(如米质性状) (Wang et al., 2012)、农艺性状(Li et al., 2013; Zhou et al., 2013)以及抗性(Zheng et al., 2013).目前, 对柱头性状的研究多集中于柱头外露率的QTL定位, 研究者利用不同群体检测到112个控制柱头外露率的QTLs (Xiong et al., 1999; Uga et al., 2003; Yu et al., 2006; Miyata et al., 2007; Hu et al., 2009; Yan et al., 2009; Li et al., 2014; 尹成等, 2014; Rahman et al., 2016, 2017; 李威等, 2017; Zhang et al., 2018; Bakti and Tanaka, 2019; Liu et al., 2019), 而其中仅3个QTLs (qSE7 (Rahman et al., 2017)、qSE11 (Zhang et al., 2018)和qSER-7 (Liu et al., 2019))被精细定位.对于柱头长度相关性状的报道则较少.研究者利用重组自交系(recombination inbred line, RIL) (Uga et al., 2003, 2010), F2、回交重组自交系(backcross inbred line, BIL)和双单倍体(doubled haploid line, DH)群体(Uga et al., 2010)以及自然群体(Yan et al., 2009; Marathi et al., 2015; Dang et al., 2016; Zhou et al., 2017)在水稻的11条染色体(除第11号染色体外)上检测到28个控制柱头长度的QTLs, 在水稻第1、2、3、4、6、7、10和11号染色体上检测到21个控制花柱长度的QTLs (Uga et al., 2003, 2010; Marathi et al., 2015; Dang et al., 2016; Zhou et al., 2017), 在水稻的9条染色体(除第8、9和10号染色体外)上检测到16个控制柱花总长度的QTLs (陈兰等, 2012; 刘强明, 2015; Liu et al., 2015; Marathi et al., 2015; Dang et al., 2016).仅见Liu等(2015)qSTL3精细定位于水稻第3号染色体短臂19.8 kb区间, Dang等(2020)将控制花柱长度的基因OsSYL2AA克隆.尚未见柱头性状基因功能分析等深层次的研究报道, 说明当前对于柱头性状的研究少而浅, 这可能正是导致至今未见分子标记辅助选择(marked-assisted selection, MAS)选育长柱头、高外露率不育系等育种材料报道的主要原因. ...

... ; Zhou et al., 2017).但当前对于柱头性状的研究远远落后于水稻其它性状(如米质性状) (Wang et al., 2012)、农艺性状(Li et al., 2013; Zhou et al., 2013)以及抗性(Zheng et al., 2013).目前, 对柱头性状的研究多集中于柱头外露率的QTL定位, 研究者利用不同群体检测到112个控制柱头外露率的QTLs (Xiong et al., 1999; Uga et al., 2003; Yu et al., 2006; Miyata et al., 2007; Hu et al., 2009; Yan et al., 2009; Li et al., 2014; 尹成等, 2014; Rahman et al., 2016, 2017; 李威等, 2017; Zhang et al., 2018; Bakti and Tanaka, 2019; Liu et al., 2019), 而其中仅3个QTLs (qSE7 (Rahman et al., 2017)、qSE11 (Zhang et al., 2018)和qSER-7 (Liu et al., 2019))被精细定位.对于柱头长度相关性状的报道则较少.研究者利用重组自交系(recombination inbred line, RIL) (Uga et al., 2003, 2010), F2、回交重组自交系(backcross inbred line, BIL)和双单倍体(doubled haploid line, DH)群体(Uga et al., 2010)以及自然群体(Yan et al., 2009; Marathi et al., 2015; Dang et al., 2016; Zhou et al., 2017)在水稻的11条染色体(除第11号染色体外)上检测到28个控制柱头长度的QTLs, 在水稻第1、2、3、4、6、7、10和11号染色体上检测到21个控制花柱长度的QTLs (Uga et al., 2003, 2010; Marathi et al., 2015; Dang et al., 2016; Zhou et al., 2017), 在水稻的9条染色体(除第8、9和10号染色体外)上检测到16个控制柱花总长度的QTLs (陈兰等, 2012; 刘强明, 2015; Liu et al., 2015; Marathi et al., 2015; Dang et al., 2016).仅见Liu等(2015)qSTL3精细定位于水稻第3号染色体短臂19.8 kb区间, Dang等(2020)将控制花柱长度的基因OsSYL2AA克隆.尚未见柱头性状基因功能分析等深层次的研究报道, 说明当前对于柱头性状的研究少而浅, 这可能正是导致至今未见分子标记辅助选择(marked-assisted selection, MAS)选育长柱头、高外露率不育系等育种材料报道的主要原因. ...

... ; Zhou et al., 2017)在水稻的11条染色体(除第11号染色体外)上检测到28个控制柱头长度的QTLs, 在水稻第1、2、3、4、6、7、10和11号染色体上检测到21个控制花柱长度的QTLs (Uga et al., 2003, 2010; Marathi et al., 2015; Dang et al., 2016; Zhou et al., 2017), 在水稻的9条染色体(除第8、9和10号染色体外)上检测到16个控制柱花总长度的QTLs (陈兰等, 2012; 刘强明, 2015; Liu et al., 2015; Marathi et al., 2015; Dang et al., 2016).仅见Liu等(2015)qSTL3精细定位于水稻第3号染色体短臂19.8 kb区间, Dang等(2020)将控制花柱长度的基因OsSYL2AA克隆.尚未见柱头性状基因功能分析等深层次的研究报道, 说明当前对于柱头性状的研究少而浅, 这可能正是导致至今未见分子标记辅助选择(marked-assisted selection, MAS)选育长柱头、高外露率不育系等育种材料报道的主要原因. ...

... ; Zhou et al., 2017), 在水稻的9条染色体(除第8、9和10号染色体外)上检测到16个控制柱花总长度的QTLs (陈兰等, 2012; 刘强明, 2015; Liu et al., 2015; Marathi et al., 2015; Dang et al., 2016).仅见Liu等(2015)qSTL3精细定位于水稻第3号染色体短臂19.8 kb区间, Dang等(2020)将控制花柱长度的基因OsSYL2AA克隆.尚未见柱头性状基因功能分析等深层次的研究报道, 说明当前对于柱头性状的研究少而浅, 这可能正是导致至今未见分子标记辅助选择(marked-assisted selection, MAS)选育长柱头、高外露率不育系等育种材料报道的主要原因. ...

... 柱头长度(STL)指水稻雌蕊上毛刷状部分的长度, 花柱长度(SYL)指毛刷状底部与子房交界处之间的长度(Marathi et al., 2015; Zhou et al., 2017), 柱花总长度(TSSL)指柱头长度与花柱长度之和(图1B). ...

... 本研究对由粳型光温敏核不育系7001S和籼型温敏核不育系Z913S杂交衍生的F2和F2:3群体的4个柱头性状STL、SYL、TSSL和PES进行相关性分析.结果表明, 4个性状间的相关性系数介于0.274-0.897之间, 均表现出极显著正相关, 说明柱头性状是复杂的综合性状.其中STL、SYL和TSSL两两间的相关系数均达0.43以上, 呈紧密相关, 这与Dang等(2016)Zhou等(2017)利用不同水稻材料构成的自然群体进行分析所得结果一致, 表明STL、SYL和TSSL可能由1个或多个相同或紧密连锁的基因位点(QTL)控制.F2和F2:3群体中TSSL和PES间的相关系数分别为0.383和0.365, 呈极显著正相关, 这与前人的研究结果一致(刘强明, 2015; Zhou et al., 2017).本研究还表明STL与PES间也表现极显著正相关.由于毛刷状柱头(柱头长度部分)是柱头接收外来花粉的器官, 因此柱头长度增加及柱头外露率提高必然导致水稻异交结实率增加, 从而促进杂交水稻制种产量增加(Miyata et al., 2007; 吴爽等, 2015). ...

... ; Zhou et al., 2017).本研究还表明STL与PES间也表现极显著正相关.由于毛刷状柱头(柱头长度部分)是柱头接收外来花粉的器官, 因此柱头长度增加及柱头外露率提高必然导致水稻异交结实率增加, 从而促进杂交水稻制种产量增加(Miyata et al., 2007; 吴爽等, 2015). ...

... 目前, 对于柱头性状的研究主要集中于PES (Xiong et al., 1999; Uga et al., 2003; Yu et al., 2006; Miyata et al., 2007; Hu et al., 2009; Yan et al., 2009; 尹成等, 2014; Li et al., 2014; Rahman et al., 2016, 2017; 李威等, 2017; Zhang et al., 2018; Bakti and Tanaka, 2019; Liu et al., 2019), 而对柱头长度相关性状(STL (Marathi et al., 2015; Dang et al., 2016; Zhou et al., 2017)、SYL (Marathi et al., 2015; Dang et al., 2016, 2020; Zhou et al., 2017)和TSSL (Uga et al., 2003, 2010; Yan et al., 2009; 陈兰等, 2012; 刘强明, 2015; Liu et al., 2015; Marathi et al., 2015; Dang et al., 2016))的报道较少.因此, 对于4个柱头性状遗传效应的研究也主要集中于PES.从本研究的一阶遗传参数来看, PES以加性效应为主, 这与Yan等(2009)的研究结果一致.而STL、SYL和TSSL在不同群体中表现不尽相同.例如, STL在2个群体中均表现出以上位性效应为主, 加性效应和显性效应较小.对于SYL而言, F2群体中加性、显性和上位性效应并重, 而在F2:3群体中则表现出以加性效应为主.对于TSSL, F2群体中表现出以显性效应和上位性效应为主, 而在F2:3群体中则以加性效应为主, 这与刘强明(2015)利用CSSL群体分析得出TSSL以加性效应遗传为主的结果不尽一致, 表明柱头长度性状的遗传较PES更复杂.从二阶遗传参数来看, 4个性状在2个世代中的主基因遗传率介于63.64% (F2:3群体SYL)-92.13% (F2:3群体TSSL)之间, 多基因遗传率介于17.63% (F2群体PES)-25.00% (F2群体STL)之间, 表明这4个性状均以主基因遗传为主.但本研究同时也发现, 4个柱头性状中的多基因效应(加性效应和显性效应)也起较大作用, 如F2群体的TSSL, 其主基因效应(加性效应、显性效应和上位性效应)绝对值之和为1.18, 而其多基因效应(加性效应和显性效应)绝对值之和为1.04, 两者基本一致, 其它性状类似.以上结果说明柱头性状虽然属于数量性状, 受主效基因(主基因)和微效基因(多基因)共同控制, 但其同时又与水稻其它数量性状如株高(sd1) (Sasaki et al., 2002)、穗粒数(qSSP7) (Xing et al., 2008)和生育期(Ghd7) (Xue et al., 2008)存在差异, 即本研究中的4个柱头性状其主基因(主效基因)和多基因(微效基因)间的差异并不是很大, 而sd1qSSP7Ghd7等主效基因与之对应的微效基因相比其效应差异明显, 这也可能是导致当前柱头性状研究滞后的原因之一.在育种实践中, 籼型水稻的异交率远高于粳型, 尤其是在不育系方面, 这也是限制杂交粳稻和籼粳交杂交水稻推广种植的关键性因素.本研究利用核不育系籼粳交后代群体对4个柱头性状进行遗传解析, 为粳型不育系的改良提供了技术路线和理论基础.即育种家在高异交率粳型不育系选育过程中, 可将肉眼易辨的田间柱头外露率的直接观察与柱头长度性状的室内调查相结合, 通过筛选长柱头、高外露率进而提高粳型不育系的异交率.同时, 要统筹考虑主效基因和微效基因的影响, 及时开展早期有效的单株选择, 重点关注高代单株柱头性状的表现, 降低环境因素对柱头性状选择带来的干扰.4个柱头相关性状的主基因+多基因遗传分析是对其遗传组成、遗传规律特征及遗传参数进行全面剖析, 不仅可为粳型水稻柱头性状改良提供有益的指导, 也可为柱头性状的基因挖掘、功能分析和分子设计育种提供重要的理论依据. ...

... ; Zhou et al., 2017)和TSSL (Uga et al., 2003, 2010; Yan et al., 2009; 陈兰等, 2012; 刘强明, 2015; Liu et al., 2015; Marathi et al., 2015; Dang et al., 2016))的报道较少.因此, 对于4个柱头性状遗传效应的研究也主要集中于PES.从本研究的一阶遗传参数来看, PES以加性效应为主, 这与Yan等(2009)的研究结果一致.而STL、SYL和TSSL在不同群体中表现不尽相同.例如, STL在2个群体中均表现出以上位性效应为主, 加性效应和显性效应较小.对于SYL而言, F2群体中加性、显性和上位性效应并重, 而在F2:3群体中则表现出以加性效应为主.对于TSSL, F2群体中表现出以显性效应和上位性效应为主, 而在F2:3群体中则以加性效应为主, 这与刘强明(2015)利用CSSL群体分析得出TSSL以加性效应遗传为主的结果不尽一致, 表明柱头长度性状的遗传较PES更复杂.从二阶遗传参数来看, 4个性状在2个世代中的主基因遗传率介于63.64% (F2:3群体SYL)-92.13% (F2:3群体TSSL)之间, 多基因遗传率介于17.63% (F2群体PES)-25.00% (F2群体STL)之间, 表明这4个性状均以主基因遗传为主.但本研究同时也发现, 4个柱头性状中的多基因效应(加性效应和显性效应)也起较大作用, 如F2群体的TSSL, 其主基因效应(加性效应、显性效应和上位性效应)绝对值之和为1.18, 而其多基因效应(加性效应和显性效应)绝对值之和为1.04, 两者基本一致, 其它性状类似.以上结果说明柱头性状虽然属于数量性状, 受主效基因(主基因)和微效基因(多基因)共同控制, 但其同时又与水稻其它数量性状如株高(sd1) (Sasaki et al., 2002)、穗粒数(qSSP7) (Xing et al., 2008)和生育期(Ghd7) (Xue et al., 2008)存在差异, 即本研究中的4个柱头性状其主基因(主效基因)和多基因(微效基因)间的差异并不是很大, 而sd1qSSP7Ghd7等主效基因与之对应的微效基因相比其效应差异明显, 这也可能是导致当前柱头性状研究滞后的原因之一.在育种实践中, 籼型水稻的异交率远高于粳型, 尤其是在不育系方面, 这也是限制杂交粳稻和籼粳交杂交水稻推广种植的关键性因素.本研究利用核不育系籼粳交后代群体对4个柱头性状进行遗传解析, 为粳型不育系的改良提供了技术路线和理论基础.即育种家在高异交率粳型不育系选育过程中, 可将肉眼易辨的田间柱头外露率的直接观察与柱头长度性状的室内调查相结合, 通过筛选长柱头、高外露率进而提高粳型不育系的异交率.同时, 要统筹考虑主效基因和微效基因的影响, 及时开展早期有效的单株选择, 重点关注高代单株柱头性状的表现, 降低环境因素对柱头性状选择带来的干扰.4个柱头相关性状的主基因+多基因遗传分析是对其遗传组成、遗传规律特征及遗传参数进行全面剖析, 不仅可为粳型水稻柱头性状改良提供有益的指导, 也可为柱头性状的基因挖掘、功能分析和分子设计育种提供重要的理论依据. ...




相关话题/基因 遗传 控制 柱头 性状