删除或更新信息,请邮件至freekaoyan#163.com(#换成@)

根尖整体透明技术改良

本站小编 Free考研考试/2022-01-01

马龙, 李桂林, 李师鹏, 蒋苏,*齐鲁师范学院, 济南 250200

An Improved Protocol for Whole Mount Clearing of Plant Root Tip

Long Ma, Guilin Li, Shipeng Li, Su Jiang,*Qilu Normal University, Jinan 250200, China

通讯作者: E-mail:pepinojs@163.com

责任编辑: 朱亚娜
收稿日期:2020-02-5接受日期:2020-06-5网络出版日期:2020-09-01
基金资助:国家自然科学基金.31571467
齐鲁师范学院校级青年教师科研基金.2018L0402


Corresponding authors: E-mail:pepinojs@163.com
Received:2020-02-5Accepted:2020-06-5Online:2020-09-01


摘要
整体透明观察技术是植物形态发育研究的基础手段之一, 是无需制作切片直接观察植物体内部形态结构的有效方法。该技术采用高折射率介质降低光在样品中的散射, 提高光通量, 增加视野深度, 从而实现组织样品透明观察。然而透明剂能改变透明液的渗透势和pH值, 从而对细胞形态保持产生负面影响。目前, 针对植物叶片和胚珠已建立了相对成熟的整体透明观察体系, 但根尖由于细胞壁较薄, 现有的整体透明方法常导致细胞形态改变, 不确定性增加(如根尖整体形态改变和细胞发生严重的质壁分离)。该研究以拟南芥(Arabidopsis thaliana)幼苗为实验材料, 通过检测根尖形态、细胞质壁分离情况和细胞清晰度, 对常用的透明液组分、pH值和透明时间进行优化, 旨在建立一种适用于根尖等较脆弱组织材料的整体透明方法。
关键词: 形态发生;整体透明;根尖;拟南芥

Abstract
Whole mount clearing is a routine method in morphological study, which allows observation of plant internal structure without section. Using high refractive index materials as medium, clearing techniques reduce light scattering, acquire enhancive light quantity and increase depth of field and vertical planes in a particular focal plane, to facilitate the samples transparency for observation. Nevertheless, clearing materials may disturb the osmosis and pH of sample medium, which is adverse to cells morphology. So far, the effective clearing techniques have been widely used in several studies with ovule and leaf. However, the current protocol is not reliable enough for root tip clearing, because the thin cell wall is vulnerable under the treatment of clearing solutions, resulting in abnormal root tips and cells plasmolysis. To achieve a stable and optimized clearing method for root tip, we established a standard protocol via evaluation of root tip morphology, plasmolysis and cells clarity in Arabidopsis thaliana. With these improved clearing methods, we developed an optimized clearing observation system (including clearing time, pH and composition) for root tip, which could provide a reliable technique for vulnerable tissues clearing.
Keywords:morphogenesis;whole mount clearing;root tip;Arabidopsis thaliana


PDF (9273KB)元数据多维度评价相关文章导出EndNote|Ris|Bibtex收藏本文
引用本文
马龙, 李桂林, 李师鹏, 蒋苏. 根尖整体透明技术改良. 植物学报, 2020, 55(5): 596-604 doi:10.11983/CBB20016
Ma Long, Li Guilin, Li Shipeng, Jiang Su. An Improved Protocol for Whole Mount Clearing of Plant Root Tip. Chinese Bulletin of Botany, 2020, 55(5): 596-604 doi:10.11983/CBB20016




整体透明技术是研究植物内部形态结构的重要手段, 可以在不破坏整体结构的情况下对植物样品进行原位观察, 该技术已广泛应用于植物科学研究的诸多领域。植物整体样品之所以不透明, 是由于其组织中的水分、蛋白质、糖类和脂质等多种不同物质的折光系数不同, 当光线通过这些组分的时候会发生散射, 组织样品越厚, 散射就越强, 透射越少, 从而使光学观察受阻(Kurihara et al., 2015; 王培新等, 2016)。整体透明技术的原理是利用某些具有高折射率的试剂处理待测样品, 使透射光通过样品时的散射减少, 光通量增加, 并降低球面色差, 以获得较高分辨率的图像(Haseloff, 2003); 此外, 高折射率的介质能够增加视野深度, 使更多层面上的图像进入聚焦平面, 从而达到组织样品透明的效果(Villani et al., 2013)。虽然提高透明剂的浓度可以改善透明效果, 但由于透明剂(如水合三氯乙醛)能够改变透明液的渗透势和pH值, 从而对样品细胞形态的保持产生不利影响。因此, 根据材料性质选择适宜的透明液和透明方法是整体透明技术的关键。虽然目前已有多种透明液应用于植物组织透明研究, 但大多适用于叶片或胚珠等细胞壁较厚或液泡较少的组织材料(Lersten, 1986; 杨弘远, 1986, 1988; Liberato et al., 2005; 郝建华和强胜, 2007; 王文婧等, 2011; 赵林姝等, 2014; 任媛媛和朱炎, 2017)。根尖作为一种不断保持分裂生长的组织, 细胞壁较薄, 使用现有的透明方法较难维持细胞形态, 造成透明效果的稳定性差(Richmond et al., 1980; Derbyshire et al., 2007; Li et al., 2010, 2013; Villani et al., 2013; 程蔚玲等, 2017; 李芳芳等, 2018), 不仅影响观察对象的清晰度, 还会造成根尖形态不正常和细胞发生质壁分离。虽然整体透明技术已广泛应用于模式植物根尖发育研究(Bougourd et al., 2000; Li et al., 2010, 2013; 程蔚玲等, 2017; 李芳芳等, 2018), 但如何在不影响根尖形态和细胞渗透势的前提下达到对根尖组织最优的透明观察效果, 仍需深入探索实践。本研究以拟南芥(Arabidopsis thaliana)为实验材料, 建立了根尖透明观察体系的评价标准, 即根尖形态是否正常、伸长区细胞是否发生质壁分离及静止中心细胞(QC细胞)的清晰度; 并利用这3个指标, 对透明时间、透明液成分配比和pH值3个要素进行改良, 优化出最适合拟南芥根尖的整体透明观察方法。

1 材料与方法

1.1 材料

以拟南芥(Arabidopsis thaliana L.) Columbia野生型(Col-0) 4日龄幼苗为实验材料, 于(22±2)°C、长日照(光周期为16小时光照/8小时黑暗)的培养室中培养。

1.2 方法

1.2.1 化学试剂及配制方法

所配透明液均由水(H2O)、水合三氯乙醛(chloral hydrate, Sigma)和甘油(glycerol, Sigma) 3种成分组成, 以下简称透明液HCG。根据透明液成分配比不同, 将HCG透明液分为HCG-1和HCG-2, 再按照透明液原始pH值、拟南芥培养基常用pH值和中性pH值将透明液分为6种类型(表1)。

Table 1
表1
表1原始pH、拟南芥培养基常用pH、中性pH透明液HCG-1和HCG-2
Table 1Solution HCG-1 and HCG-2 in original pH, the pH used for Arabidopsis thaliana culture and neutral pH
No.HCG-1
CompositionpH
1H2O9 mL1.2
Chloral hydrate24 g
Glycerol3 mL
2H2O9 mL5.8
Chloral hydrate24 g
Glycerol3 mL
3H2O9 mL7.2
Chloral hydrate24 g
Glycerol3 mL
HCG-2
CompositionpH
4H2O9 mL1.8
Chloral hydrate12 g
Glycerol3 mL
5H2O9 mL5.8
Chloral hydrate12 g
Glycerol3 mL
6H2O9 mL7.2
Chloral hydrate12 g
Glycerol3 mL
HCG: Clearing solution that consists of H2O, chloral hydrate and glycerol.
HCG: 由水、水合三氯乙醛和甘油组成的透明液。

新窗口打开|下载CSV

1.2.2 透明观察

用上述6种HCG透明液对4日龄拟南芥Col-0幼苗根尖部位分别处理5、15和25分钟, 然后置于微分干涉显微镜(DM2500, Leica)下观察, 并利用CCD (DFC450c, Leica)对根尖整体形态、伸长区细胞和QC细胞进行拍照记录。

1.2.3 数据统计分析

基于根尖形态是否正常、伸长区表皮细胞质壁分离程度和QC细胞清晰度3个指标, 对所拍摄图像结果进行分析(图1)。根尖形态的界定标准如图1A所示, 与左一正常形态根尖相比, 左二根尖明显膨大, 左三根尖分生区和伸长区中间出现裂隙, 左四根尖出现不均匀皱起等异常情况均被界定为根尖形态异常, 统计形态正常的根尖所占比例(proportion of normal root tips)。细胞质壁分离程度的界定标准如图1B所示, 将根尖伸长区表皮细胞质膜与细胞壁之间出现空隙记录为发生质壁分离, 空隙越大说明质壁分离越严重, 在未发生质壁分离的细胞中看不到空隙, 统计根尖伸长区发生质壁分离的表皮细胞数目, 计算发生质壁分离的表皮细胞占伸长区表皮细胞总数的百分比(proportion of plasmolytic cells)。QC细胞清晰度的界定标准如图1C所示, 以2个QC细胞的轮廓线锐利、完整作为细胞清晰的判定标准, QC细胞与周围细胞分界线的对比度越高则透明效果越佳, 统计QC细胞清晰的根尖所占比例(proportion of root tips with clear QC cells)。每组数据至少统计20个根尖, 3次独立重复实验的统计指标为平均值±标准差。以Student’s t test对数据进行差异显著性分析。

图1

新窗口打开|下载原图ZIP|生成PPT
图1拟南芥根尖透明效果界定标准图

拟南芥Col-0幼苗根尖形态(A)、伸长区表皮细胞质壁分离程度(B)和静止中心(QC)细胞清晰度(C)的透明效果((A) Bars= 100 μm; (B) Bars=50 μm; (C) Bars=20 μm)。
Figure 1Criteria of Arabidopsis thaliana root tip clearing

Root tips morphology (A), elongation zone epidermal cells plasmolysis (B) and quiescent center (QC) cells clarity (C) of cleared Arabidopsis thaliana Col-0 seedlings ((A) Bars=100 μm; (B) Bars=50 μm; (C) Bars=20 μm).


2 结果与讨论

2.1 透明时间对拟南芥根尖透明效果的影响

我们对拟南芥Col-0幼苗根尖进行透明后, 分别在5、15和25分钟观察记录实验结果。结果表明, 形态正常的根尖所占比例(图2)和QC细胞清晰的根尖所占比例(图3)均未随时间推移发生显著变化, 但根尖伸长区表皮细胞质壁分离比例随着透明时间的延长而显著升高(图4)。由此表明, 在不影响根尖形态和透明效果的情况下, 透明时间的延长会加剧伸长区细胞的质壁分离。相对较短的透明时间不仅能够提高实验效率, 还可以避免细胞质壁分离对结构观察造成的影响。

图2

新窗口打开|下载原图ZIP|生成PPT
图2透明时间对拟南芥根尖形态的影响

分别采用透明液HCG-1 (A)和HCG-2 (B)对拟南芥幼苗透明5、15和25分钟后形态正常根尖所占比例。
Figure 2The effects of clearing times on Arabidopsis thaliana root tip morphology

Proportion of normal root tips of Arabidopsis thaliana seedlings cleared by HCG-1 (A) and HCG-2 (B) for 5, 15, 25 min, respectively.


图3

新窗口打开|下载原图ZIP|生成PPT
图3透明时间对拟南芥根尖静止中心(QC)细胞清晰度的影响

分别采用透明液HCG-1 (A)和HCG-2 (B)对拟南芥幼苗透明5、15和25分钟后QC细胞清晰的根尖所占比例。
Figure 3The effects of clearing times on clarity of quiescent center (QC) cells of Arabidopsis thaliana root tips

Proportion of root tips with clear QC cells of Arabidopsis thaliana seedlings cleared by HCG-1 (A) and HCG-2 (B) for 5, 15, 25 min, respectively.


图4

新窗口打开|下载原图ZIP|生成PPT
图4透明时间对拟南芥根尖细胞质壁分离的影响

分别采用透明液HCG-1 (A)和HCG-2 (B)对拟南芥幼苗透明5、15和25分钟后根尖伸长区表皮细胞质壁分离比例(* P<0.05, ** P<0.01, *** P<0.001)。
Figure 4The effects of clearing times on plasmolysis of Arabidopsis thaliana root tip cells

Proportion of plasmolytic cells of Arabidopsis thaliana seedlings cleared by HCG-1 (A) and HCG-2 (B) for 5, 15, 25 min, respectively (* P<0.05, ** P<0.01, *** P<0.001).


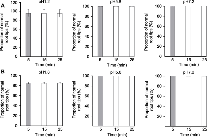
2.2 pH值对拟南芥根尖透明效果的影响

我们进一步比较了透明5分钟后, 3种不同pH值条件对透明效果的影响。结果显示, 透明液HCG-1在pH1.2、pH5.8和pH7.2三种pH值条件下的根尖质壁分离细胞占比和QC清晰根尖占比均无显著差异(图5A),表明pH值对透明液HCG-1的透明效果无影响。透明液HCG-2在pH5.8时根尖质壁分离细胞占比显著高于pH1.8和pH7.2条件下的比例, 且在pH5.8和pH7.2条件下的QC清晰根尖占比显著高于pH1.8条件下的比例(图5B)。由此表明, 透明液HCG-2在pH7.2时既保持了较低的细胞质壁分离比例, 又具有较优的透明清晰度。

图5

新窗口打开|下载原图ZIP|生成PPT
图5透明液pH值对拟南芥根尖透明的影响

分别采用透明液HCG-1 (A)和HCG-2 (B)在pH1.2/1.8、pH5.8和pH7.2条件下, 对拟南芥幼苗透明5分钟后, 根尖伸长区表皮细胞质壁分离比例和静止中心(QC)细胞清晰的根尖所占比例。不同大写字母表示差异极显著(P<0.01)。Bars=50 μm
Figure 5The effects of pH values on Arabidopsis thaliana root tip clearing

Proportion of plasmolytic cells and proportion of root tips with clear quiescent center (QC) cells of Arabidopsis thaliana seedlings cleared by HCG-1 (A) and HCG-2 (B) for 5 min under pH1.2/1.8, pH5.8, pH7.2, respectively. Different uppercase letters indicate extremely significant differences (P<0.01). Bars=50 μm


2.3 透明液成分配比对拟南芥根尖透明效果的影响

为了优化得出最佳的透明方案, 我们对比了pH7.2条件下透明液HCG-1和HCG-2的透明效果。结果表明, 相比透明液HCG-1, 透明液HCG-2透明后根尖质壁分离细胞比例显著降低, QC清晰根尖比例显著提高, 根尖细胞边界对比度整体提高, QC细胞的轮廓更加清晰、完整(图6)。由此表明, HCG-2的透明效果显著优于HCG-1。此外, 我们以饱和三氯乙醛溶液和不含三氯乙醛的甘油溶液作为透明效果的对照, 与HCG- 1和HCG-2形成三氯乙醛浓度梯度对比, 发现饱和三氯乙醛透明后的根尖细胞形态发生明显改变, 无法观察到正常根尖应有的组织发育结构; 甘油溶液透明后观察不到分明的细胞轮廓, 细胞层次无法分辨(图7)。这2个对照实验由于透明效果偏离较大, 均无法进行量化评价。

图6

新窗口打开|下载原图ZIP|生成PPT
图6透明液成分配比对拟南芥根尖透明的影响

分别采用透明液HCG-1和HCG-2在pH7.2条件下, 对拟南芥幼苗透明5分钟后, 根尖伸长区表皮细胞质壁分离比例和QC细胞清晰的根尖所占比例(** P<0.01, *** P<0.001)。Bars=50 μm
Figure 6The comparison of solution HCG-1 with HCG-2 on Arabidopsis thaliana root tip clearing

Proportion of plasmolytic cells and proportion of root tips with clear QC cells of Arabidopsis thaliana seedlings cleared by HCG-1 and HCG-2 for 5 min under pH7.2 (** P<0.01, *** P< 0.001). Bars=50 μm


图7

新窗口打开|下载原图ZIP|生成PPT
图7三氯乙醛梯度浓度的根尖透明效果对比

分别采用饱和三氯乙醛溶液、透明液HCG-1、透明液HCG-2和25%甘油溶液对拟南芥幼苗透明5分钟后的根尖形态。Bars= 50 μm
Figure 7The comparison of root tips cleared by gradient concentrations of chloral solutions

Morphology of root tips of Arabidopsis thaliana seedlings cleared by saturated chloral, HCG-1, HCG-2 and 25% glycerol solutions for 5 min, respectively. Bars=50 μm


综上表明, 透明液中三氯乙醛浓度为0.63 g?mL-1 (水:水合三氯乙醛:甘油=3:4:1 (v/w/v)), pH7.2, 透明5分钟的方案, 能够在保持拟南芥根尖整体正常形态和细胞正常生理形态的同时, 获得根尖细胞较优的透明清晰度。

2.4 优选透明方案的验证

在植物的发育过程研究中, 经常需要对不同苗龄大小的根尖进行透明处理。理论上, 幼苗期的生长发育形成了拟南芥的初生结构, 在这一时期不同苗龄的根尖形态一样(Beemster and Baskin, 1998; Verbelen et al., 2006; Ivanov and Dubrovsky, 2013; Takatsuka and Umeda, 2014; Pavelescu et al., 2018)。为了科学严谨地验证本文所筛选出的优选透明方案是否适合整体透明实验中常用的苗龄材料(如3至15日龄幼苗), 我们利用筛选到的透明液HCG-2 (pH7.2)对拟南芥3、9和15日龄幼苗根尖进行透明。结果(图8)表明, 3、9和15日龄幼苗在根尖形态和透明效果上无明显差异。因此, 对于根尖这一特定组织材料, 苗龄大小不会对透明产生不确定性影响。我们改良所得透明液HCG-2 (pH7.2)、透明5分钟的透明方案适用于不同苗龄拟南芥根尖的整体透明。

图8

新窗口打开|下载原图ZIP|生成PPT
图8用不同苗龄拟南芥验证优选透明方案

采用透明液HCG-2 (pH7.2)对拟南芥3、9和15日龄幼苗根尖透明5分钟。Bars=50 μm
Figure 8Arabidopsis thaliana seedlings in different growth stages were used to identify the optimized protocol

3-day-old, 9-day-old and 15-day-old seedlings of Arabidopsis thaliana were cleared by HCG-2 (pH7.2) for 5 min. Bars=50 μm


2.5 讨论

三氯乙醛和甘油是透明液中的常用成分。三氯乙醛可以提高溶液的折射率, 其在甘油溶液中的折射率达1.428, 接近于玻璃的折射率1.550 (Haseloff, 2003; Villani et al., 2013)。这种较高的折射率一方面有助于增大观察体系的数值孔径, 提高分辨率; 另一方面使样品内不同组分的折光率趋于统一, 降低了光线的散射, 提高了光通量。在透明液中加入甘油能够减缓临时装片中水分的蒸发, 防止透明液结晶化(Villani et al., 2013)。虽然各种透明液的主要成分相似, 但是不同植物组织样品的整体透明方法不尽相同。目前, 针对胚珠和叶片的整体透明方法较为成熟, 已有Herr 41/2透明、Hoyer氏溶液透明和水杨酸甲酯透明等多种透明体系(Hoyer, 1882; Herr, 1971, 1993; Crane, 1978; Bruzzese and Hasan, 1983; 杨弘远, 1986, 1988; 于明明等, 2009; 王文婧等, 2011; 赵林姝等, 2014; 任媛媛和朱炎, 2017), 但在这些透明体系中并未提出标准化的透明效果评价方案。之前对于胚珠和叶片透明体系的研究是以能够清晰地观察到细胞轮廓作为唯一的评价标准(李彦坤等, 2011; 赵林姝等, 2014; Ursache et al., 2018)。相比于叶片, 根尖细胞在胞外渗透压升高时, 胞内膨压降低幅度较大, 使细胞更容易发生质壁分离, 甚至引起根尖整体形态异常(Itoh et al., 1987; Shabala et al., 2000; Shabala and Lew, 2002; Lang et al., 2014; Kim et al., 2018)。透明液恰恰形成了一个高渗的胞外环境, 这在以往的研究中经常被忽视(李彦坤等, 2011; Villani et al., 2013; 赵林姝等, 2014)。因此, 本文针对透明后的根尖形态、细胞质壁分离情况和透明清晰度, 首次提出了评价拟南芥根尖透明体系的3个量化指标: 形态正常的根尖所占比例、伸长区表皮细胞质壁分离比例及QC细胞清晰的根尖所占比例。综合这三方面评价结果可以更加严谨、完善地对根尖整体透明方法进行分析和改良, 为脆弱组织材料的整体透明研究提供改进依据。

目前, 已报道的透明液多以水合三氯乙醛为主要透明成分(Herr, 1993; Bougourd et al., 2000; 于明明等, 2009; Li et al., 2010, 2013; 任媛媛和朱炎, 2017)。由于三氯乙醛是一种极性分子, 不能自由穿过细胞膜进入胞内, 透明时间的延长并不能够提高透明的清晰度, 反而会导致胞外水势降低, 细胞发生质壁分离。我们发现以5分钟作为透明时长, 能够在不影响透明效果的情况下, 避免根尖细胞发生严重的质壁分离。此外, 在总结前人研究的基础上, 通过降低透明液中三氯乙醛的浓度至0.63 g?mL-1, 显著减轻了拟南芥根尖伸长区表皮细胞的质壁分离程度。该浓度的三氯乙醛溶液对透明样品产生的折射率改变, 使被光学元件采集到的图像中, 根尖整体发育层次更加分明, 细胞边界更加清晰。完整的细胞壁能够提高细胞边界与周围图像的对比度, 直接决定着透明图像的清晰度。胞外pH值是调控细胞壁可塑性的关键因素, 进而影响细胞形态的完整性。已有研究表明, 在中性pH值时细胞壁的疏松度最低, 当pH值低于5.5时细胞壁的疏松度显著增加, 并且随着pH值的进一步降低, 细胞壁的疏松度持续增加(Hager, 2003; Janicka- Russak, 2011)。但是, 现有的透明技术研究尚未见探讨透明液pH值是否对透明效果产生影响。基于此, 我们探究了透明液的原始pH值、拟南芥培养基常用pH值5.8和中性pH值7.2对根尖透明的影响, 发现中性pH7.2较pH5.8和原始pH值更好地保持了细胞边界的完整性, 也不会使根尖细胞发生明显的质壁分离。

综上所述, 我们改良得到透明液成分配比为水:水合三氯乙醛:甘油=3:4:1 (v/w/v), pH7.2, 透明时间5分钟, 作为最适合拟南芥根尖的整体透明观察方法, 填补了脆弱植物组织材料整体透明技术研究中的数据细节, 可为植物形态发育研究提供技术支持。

(责任编辑: 朱亚娜)

致谢

衷心感谢中国农业科学院作物科学研究所刘春明研究员在本研究工作中给予的指导和帮助。


参考文献 原文顺序
文献年度倒序
文中引用次数倒序
被引期刊影响因子

程蔚玲, 丁兰, 李金平, 刘国安, 杨宁 ( 2017). Leukamenin E调节拟南芥幼苗生长发育的模式及其机制
生态学杂志 36, 676-686.

[本文引用: 2]

郝建华, 强胜 ( 2007). 整体透明技术在植物生物学中的应用实例及其剖析
植物学通报 24, 490-497.

[本文引用: 1]

李芳芳, 杨娜, 钱猛, 甘立军 ( 2018). 生长素参与三十烷醇诱导的拟南芥侧根发育
南京农业大学学报 41, 473-480.

[本文引用: 2]

李彦坤, 臧巩固, 赵立宁, 李育君, 唐蜻, 程超华 ( 2011). 整体透明技术观察悬铃叶苎麻胚胎发育的方法研究
中国麻业科学 33, 142-146.

[本文引用: 2]

任媛媛, 朱炎 ( 2017). INO80参与拟南芥气孔数量调控的分子机制
复旦学报(自然科学版) 56, 653-661.

[本文引用: 3]

王培新, 张丹, 尚爱加, 侯冰 ( 2016). 组织透明技术
神经解剖学杂志 32, 124-128.

[本文引用: 1]

王文婧, 刘婷, 郭磊, 刘春明 ( 2011). SLC/AGO1基因控制拟南芥细胞分裂与定向伸长
植物学报 46, 370-378.

[本文引用: 2]

杨弘远 ( 1986). 用整体染色与透明技术观察胚囊、胚、胚乳和胚状体
植物学报 28, 575-581.

[本文引用: 2]

杨弘远 ( 1988). 植物胚胎学中的整体透明技术
植物学通报 5(2), 114-116.

[本文引用: 2]

于明明, 李兴国, 张宪省 ( 2009). APETALA1启动子驱动AtIPT4在转基因拟南芥中表达导致花和花器官发育异常
植物学报 44, 59-68.

[本文引用: 2]

赵林姝, 刘录祥, 古佳玉, 郭会君, 李军辉, 谢永盾, 赵世荣 ( 2014). 一种小麦叶片气孔保卫细胞观察样品的制备方法
植物学报 49, 120-126.

[本文引用: 4]

Beemster GTS, Baskin TI ( 1998). Analysis of cell division and elongation underlying the developmental acceleration of root growth in Arabidopsis thaliana
Plant Physiol 116, 1515-1526.

DOI:10.1104/pp.116.4.1515URLPMID:9536070 [本文引用: 1]
To investigate the relation between cell division and expansion in the regulation of organ growth rate, we used Arabidopsis thaliana primary roots grown vertically at 20 degreesC with an elongation rate that increased steadily during the first 14 d after germination. We measured spatial profiles of longitudinal velocity and cell length and calculated parameters of cell expansion and division, including rates of local cell production (cells mm-1 h-1) and cell division (cells cell-1 h-1). Data were obtained for the root cortex and also for the two types of epidermal cell, trichoblasts and atrichoblasts. Accelerating root elongation was caused by an increasingly longer growth zone, while maximal strain rates remained unchanged. The enlargement of the growth zone and, hence, the accelerating root elongation rate, were accompanied by a nearly proportionally increased cell production. This increased production was caused by increasingly numerous dividing cells, whereas their rates of division remained approximately constant. Additionally, the spatial profile of cell division rate was essentially constant. The meristem was longer than generally assumed, extending well into the region where cells elongated rapidly. In the two epidermal cell types, meristem length and cell division rate were both very similar to that of cortical cells, and differences in cell length between the two epidermal cell types originated at the apex of the meristem. These results highlight the importance of controlling the number of dividing cells, both to generate tissues with different cell lengths and to regulate the rate of organ enlargement.

Bougourd S, Marrison J, Haseloff J ( 2000). An aniline blue staining procedure for confocal microscopy and 3D imaging of normal and perturbed cellular phenotypes in mature Arabidopsis embryos
Plant J 24, 543-550.

URLPMID:11115135 [本文引用: 2]

Bruzzese E, Hasan S ( 1983). A whole leaf clearing and staining technique for host specificity studies of rust fungi
Plant Pathol 32, 335-338.

DOI:10.1111/ppa.1983.32.issue-3URL [本文引用: 1]

Crane CF ( 1978). Apomixis and Crossing Incompatibilities in Some Zephyrantheae
Ph.D. thesis. Austin: University of Texas.

[本文引用: 1]

Derbyshire P, Findlay K, McCann MC, Roberts K ( 2007). Cell elongation in Arabidopsis hypocotyls involves dynamic changes in cell wall thickness
J Exp Bot 58, 2079-2089.

DOI:10.1093/jxb/erm074URLPMID:17470442 [本文引用: 1]
Field-emission scanning electron microscopy was used to measure wall thicknesses of different cell types in freeze-fractured hypocotyls of Arabidopsis thaliana. Measurements of uronic acid content, wall mass, and wall volume suggest that cell wall biosynthesis in this organ does not always keep pace with, and is not always tightly coupled to, elongation. In light-grown hypocotyls, walls thicken, maintain a constant thickness, or become thinner during elongation, depending upon the cell type and the stage of growth. In light-grown hypocotyls, exogenous gibberellic acid represses the extent of thickening and promotes cell elongation by both wall thinning and increased anisotropy during the early stages of hypocotyl elongation, and by increased wall deposition in the latter stages. Dark-grown hypocotyls, in the 48 h period between cold imbibition and seedling emergence, deposit very thick walls that subsequently thin in a narrow developmental window as the hypocotyl rapidly elongates. The rate of wall deposition is then maintained and keeps pace with cell elongation. The outer epidermal wall is always the thickest ( approximately 1 mum) whereas the thinnest walls, about 50 nm, are found in inner cell layers. It is concluded that control of wall thickness in different cell types is tightly regulated during hypocotyl development, and that wall deposition and cell elongation are not invariably coupled.

Hager A ( 2003). Role of the plasma membrane H+-ATPase in auxin-induced elongation growth: historical and new aspects
J Plant Res 116, 483-505.

DOI:10.1007/s10265-003-0110-xURLPMID:12937999 [本文引用: 1]
This article will cover historical and recent aspects of reactions and mechanisms involved in the auxin-induced signalling cascade that terminates in the dramatic elongation growth of cells and plant organs. Massive evidence has accumulated that the final target of auxin action is the plasma membrane H(+)-ATPase, which excretes H(+) ions into the cell wall compartment and, in an antiport, takes up K(+) ions through an inwardly rectifying K(+) channel. The auxin-enhanced H(+) pumping lowers the cell wall pH, activates pH-sensitive enzymes and proteins within the wall, and initiates cell-wall loosening and extension growth. These processes, induced by auxin or by the

Haseloff J ( 2003). Old botanical techniques for new microscopes
BioTechniques 34, 1174-1182.

DOI:10.2144/03346bi01URLPMID:12813885 [本文引用: 2]

Herr JMJ ( 1971). A new clearing-squash technique for the study of ovule development in angiosperms
Am J Bot 58, 785-790.

DOI:10.1002/ajb2.1971.58.issue-8URL [本文引用: 1]

Herr JMJ (1993). Clearing techniques for the study of vascular plant tissues in whole structures and thick sections
In: Tested Studies for Laboratory Teaching. Proceedings of the Fifth Workshop/Conference of the Association for Biology Laboratory Education (ABLE). Toronto: ABLE. pp. 63-84.

[本文引用: 2]

Hoyer H ( 1882). Beitr?ge zur histologischen Technik. 3. Einschlussflüssigkeiten
Biologisches Zentralblatt 2, 23-24.

[本文引用: 1]

Itoh K, Nakamura Y, Kawata H, Yamada T, Ohta E, Sakata M ( 1987). Effect of osmotic stress on turgor pressure in mung bean root cells
Plant Cell Physiol 28, 987-994.

[本文引用: 1]

Ivanov VB, Dubrovsky JG ( 2013). Longitudinal zonation pattern in plant roots: conflicts and solutions
Trends Plant Sci 18, 237-243.

DOI:10.1016/j.tplants.2012.10.002URLPMID:23123304 [本文引用: 1]
Despite the relative simplicity of Arabidopsis root organization, there is no general agreement regarding the terminology used to describe the longitudinal zonation pattern (LZP) of this model system. In this opinion article, we examine inconsistencies in the terminology and provide a conceptual framework for the LZP that may be applied to all angiosperms. We propose that the root apical meristem (RAM) consists of the cell-proliferation domain where cells maintain a high probability to divide and the transition domain with a low probability of cell division; in both domains cells grow at the same, relatively low, rate. Owing to stochastic termination of cell proliferation in the RAM, the border between the domains is 'fuzzy'. Molecular markers analyzed together with quantitative growth and cell analyses could help to identify developmental zones along the root and lead to a better understanding of the LZP in angiosperms.

Janicka-Russak M (2011). Plant plasma membrane H+- ATPase in adaptation of plants to abiotic stresses. In: Shanker A, ed. Abiotic Stress Response in Plants—Physiological, Biochemical and Genetic Perspectives. Rijeka: Intech Open Press. pp. 197-218.
[本文引用: 1]

Kim YX, Stumpf B, Sung J, Lee SJ ( 2018). The relationship between turgor pressure change and cell hydraulics of midrib parenchyma cells in the leaves of Zea mays
Cells 7, 180.

DOI:10.3390/cells7100180URL [本文引用: 1]

Kurihara D, Mizuta Y, Sato Y, Higashiyama T ( 2015). ClearSee: a rapid optical clearing reagent for whole-plant fluorescence imaging
Development 142, 4168-4179.

DOI:10.1242/dev.127613URLPMID:26493404 [本文引用: 1]
Imaging techniques for visualizing and analyzing precise morphology and gene expression patterns are essential for understanding biological processes during development in all organisms. With the aid of chemical screening, we developed a clearing method using chemical solutions, termed ClearSee, for deep imaging of morphology and gene expression in plant tissues. ClearSee rapidly diminishes chlorophyll autofluorescence while maintaining fluorescent protein stability. By adjusting the refractive index mismatch, whole-organ and whole-plant imaging can be performed by both confocal and two-photon excitation microscopy in ClearSee-treated samples. Moreover, ClearSee is applicable to multicolor imaging of fluorescent proteins to allow structural analysis of multiple gene expression. Given that ClearSee is compatible with staining by chemical dyes, the technique is useful for deep imaging in conjunction with genetic markers and for plant species not amenable to transgenic approaches. This method is useful for whole imaging for intact morphology and will help to accelerate the discovery of new phenomena in plant biological research.

Lang I, Sassmann S, Schmidt B, Komis G ( 2014). Plasmolysis: loss of turgor and beyond
Plants (Basel) 3, 583-593.

DOI:10.3390/plants3040583URLPMID:27135521 [本文引用: 1]
Plasmolysis is a typical response of plant cells exposed to hyperosmotic stress. The loss of turgor causes the violent detachment of the living protoplast from the cell wall. The plasmolytic process is mainly driven by the vacuole. Plasmolysis is reversible (deplasmolysis) and characteristic to living plant cells. Obviously, dramatic structural changes are required to fulfill a plasmolytic cycle. In the present paper, the fate of cortical microtubules and actin microfilaments is documented throughout a plasmolytic cycle in living cells of green fluorescent protein (GFP) tagged Arabidopsis lines. While the microtubules became wavy and highly bundled during plasmolysis, cortical filamentous actin remained in close vicinity to the plasma membrane lining the sites of concave plasmolysis and adjusting readily to the diminished size of the protoplast. During deplasmolysis, cortical microtubule re-organization progressed slowly and required up to 24 h to complete the restoration of the original pre-plasmolytic pattern. Actin microfilaments, again, recovered faster and organelle movement remained intact throughout the whole process. In summary, the hydrostatic skeleton resulting from the osmotic state of the plant vacuole

Lersten NR ( 1986). Modified clearing method to show sieve tubes in minor veins of leaves
Stain Technol 61, 231-234.

DOI:10.3109/10520298609109942URLPMID:3750353 [本文引用: 1]
Leaf samples of Glycine max and numerous other dicotyledonous species were cleared by a common, well established procedure modified by using more concentrated (10% w/v) aqueous NaOH, and by leaving samples in NaOH for 2-4 weeks and in chloral hydrate for 3 days, all at room temperature. A single dye, chlorazol black E (1 g/100 ml absolute ethanol), is used to stain for 3-6 min. Samples are mounted with the lower epidermis upward. Sieve tubes in favorable material can be seen in minor veins and vein endings.

Li SP, Chen M, Yu DL, Ren SC, Sun SF, Liu LD, Ketelaar T, Emons AMC, Liu CM ( 2013). EXO70A1-mediated vesicle trafficking is critical for tracheary element development in Arabidopsis
Plant Cell 25, 1774-1786.

URLPMID:23709627 [本文引用: 3]

Li SP, van Os GMA, Ren SC, Yu DL, Ketelaar T, Emons AMC, Liu CM ( 2010). Expression and functional analyses of EXO70 genes in Arabidopsis implicate their roles in regulating cell type-specific exocytosis
Plant Physiol 154, 1819-1830.

DOI:10.1104/pp.110.164178URLPMID:20943851 [本文引用: 3]
During exocytosis, Golgi-derived vesicles are tethered to the target plasma membrane by a conserved octameric complex called the exocyst. In contrast to a single gene in yeast and most animals, plants have greatly increased number of EXO70 genes in their genomes, with functions very much unknown. Reverse transcription-polymerase chain reactions were performed on all 23 EXO70 genes in Arabidopsis (Arabidopsis thaliana) to examine their expression at the organ level. Cell-level expression analyses were performed using transgenic plants carrying beta-glucuronidase reporter constructs, showing that EXO70 genes are primarily expressed in potential exocytosis-active cells such as tip-growing and elongating cells, developing xylem elements, and guard cells, whereas no expression was observed in cells of mature organs such as well-developed leaves, stems, sepals, and petals. Six EXO70 genes are expressed in distinct but partially overlapping stages during microspore development and pollen germination. A mutation in one of these genes, EXO70C1 (At5g13150), led to retarded pollen tube growth and compromised male transmission. This study implies that multiplications of EXO70 genes may allow plants to acquire cell type- and/or cargo-specific regulatory machinery for exocytosis.

Liberato JR, Barreto RW, Shivas RG ( 2005). Leaf-clearing and staining techniques for the observation of conidiophores in the Phyllactinioideae (Erysiphaceae)
Australas Plant Pathol 34, 401-404.

DOI:10.1071/AP05027URL [本文引用: 1]

Pavelescu I, Vilarrasa-Blasi J, Planas-Riverola A, González-García MP, Ca?o-Delgado AI, Iba?es M ( 2018). A Sizer model for cell differentiation in Arabidopsis thaliana root growth
Mol Syst Biol 14, e7687.

DOI:10.15252/msb.20177687URLPMID:29321184 [本文引用: 1]
Plant roots grow due to cell division in the meristem and subsequent cell elongation and differentiation, a tightly coordinated process that ensures growth and adaptation to the changing environment. How the newly formed cells decide to stop elongating becoming fully differentiated is not yet understood. To address this question, we established a novel approach that combines the quantitative phenotypic variability of wild-type Arabidopsis roots with computational data from mathematical models. Our analyses reveal that primary root growth is consistent with a Sizer mechanism, in which cells sense their length and stop elongating when reaching a threshold value. The local expression of brassinosteroid receptors only in the meristem is sufficient to set this value. Analysis of roots insensitive to BR signaling and of roots with gibberellin biosynthesis inhibited suggests distinct roles of these hormones on cell expansion termination. Overall, our study underscores the value of using computational modeling together with quantitative data to understand root growth.

Richmond PA, Métraux JP, Taiz L ( 1980). Cell expansion patterns and directionality of wall mechanical properties in Nitella
Plant Physiol 65, 211-217.

DOI:10.1104/pp.65.2.211URLPMID:16661162 [本文引用: 1]
As a means of assessing the extent to which deformation of isolated walls relates to in vivo cell expansion, the directionality of wall mechanical properties was examined in Nitella. Measurements were made of plastic and elastic deformation and creep under both uniaxial and multiaxial stress conditions. Walls of different structural characteristics were obtained from control, isopropyl N-phenylcarbamate (IPC)-treated and IPC recovery cells. Although microfibrils in the inner portion of the wall were transverse for control and recovery cells but random for IPC cells, all walls had similar over-all microfibrillar orientations. Consequently, differences in wall mechanical properties should reflect structural differences in the inner wall. It is the action of the prevailing stress pattern on the inner, not overall, wall microfibrillar organization which dictates the directionality of growth in Nitella. The results indicate that the directional character of expansion is preserved to a large extent in the mechanical properties of isolated walls, and that most, but not all, of the deformation is determined by the inner wall. In addition, directional differences in the threshold for acid-induced extension varied in accord with the pattern of inner wall microfibrils.

Shabala S, Babourina O, Newman I ( 2000). Ion-specific mechanisms of osmoregulation in bean mesophyll cells
J Exp Bot 51, 1243-1253.

URLPMID:10937700 [本文引用: 1]
Transient kinetics of net H+, K+, Ca2+, and Cl- fluxes were measured non-invasively, using an ion-selective microelectrode technique, for bean (Vicia faba L.) leaf mesophyll in response to 150 mM mannitol treatment. In a parallel set of experiments, changes in the plasma membrane potential and the total proline content in leaves were monitored. Regardless of the ionic composition of the bath solution, hyperosmotic stress caused a significant increase in the K+ and Cl- uptake into mesophyll cells. At the same time, no significant proline changes were observed for at least 16 h after the onset of stress. Experiments with inhibitors suggested that potassium inward rectifier (KIR) channels, exhibiting mechanosensitive properties and acting as primary receptors of osmotic stress, are likely to be involved. Due to the coupling by membrane potential, changes in K+ and Cl- transport may modify activity of the plasma membrane H+-pump. Such coupling may also be responsible for the mannitol-induced oscillations (period of about 4 min) in net ion fluxes observed in 90% of plants. Calculations show that influx of K+ and Cl- observed in response to hyperosmotic treatment may provide an adequate osmotic adjustment in bean mesophyll, which suggests that the activity of the plasma membrane transporters for these ions should be targeted to improve osmotolerance, at least in this crop.

Shabala SN, Lew RR ( 2002). Turgor regulation in osmotically stressed Arabidopsis epidermal root cells. Direct support for the role of inorganic ion uptake as revealed by concurrent flux and cell turgor measurements
Plant Physiol 129, 290-299.

DOI:10.1104/pp.020005URLPMID:12011359 [本文引用: 1]
Hyperosmotic stress is known to significantly enhance net uptake of inorganic ions into plant cells. Direct evidence for cell turgor recovery via such a mechanism, however, is still lacking. In the present study, we performed concurrent measurements of net ion fluxes (with the noninvasive microelectrode ion flux estimation technique) and cell turgor changes (with the pressure-probe technique) to provide direct evidence that inorganic ion uptake regulates turgor in osmotically stressed Arabidopsis epidermal root cells. Immediately after onset of hyperosmotic stress (100/100 mM mannitol/sorbitol treatment), the cell turgor dropped from 0.65 to about 0.25 MPa. Turgor recovery started within 2 to 10 min after the treatment and was accompanied by a significant (30-80 nmol m-2 s-1) increase in uptake of K+, Cl-, and Na+ by root cells. In most cells, almost complete (>90% of initial values) recovery of the cell turgor was observed within 40 to 50 min after stress onset. In another set of experiments, we combined the voltage-clamp and the microelectrode ion flux estimation techniques to show that this process is, in part, mediated by voltage-gated K+ transporters at the cell plasma membrane. The possible physiological significance of these findings is discussed.

Takatsuka H, Umeda M ( 2014). Hormonal control of cell division and elongation along differentiation trajectories in roots
J Exp Bot 65, 2633-2643.

DOI:10.1093/jxb/ert485URLPMID:24474807 [本文引用: 1]
The continuous development of roots is supported by a sustainable system for cell production and growth at the root tip. In the stem cell niche that consists of a quiescent centre and surrounding stem cells, an undifferentiated state and low mitotic activity are preserved by the action of auxin and abscisic acid. Stem cell daughters divide several times in the proximal meristem, where auxin and gibberellin mainly promote cell proliferation. Cells then elongate with the help of gibberellin, and become finally differentiated as a constituent of a cell file in the elongation/differentiation zone. In the model plant Arabidopsis thaliana, the transition zone is located between the proximal meristem and the elongation/differentiation zone, and plays an important role in switching from mitosis to the endoreplication that causes DNA polyploidization. Recent studies have shown that cytokinins are essentially required for this transition by antagonizing auxin signalling and promoting degradation of mitotic regulators. In each root zone, different phytohormones interact with one another and coordinately control cell proliferation, cell elongation, cell differentiation, and endoreplication. Such hormonal networks maintain the elaborate structure of the root tip under various environmental conditions. In this review, we summarize and discuss key issues related to hormonal regulation of root growth, and describe how phytohormones are associated with the control of cell cycle machinery.

Ursache R, Andersen TG, Marhavy P, Geldner N ( 2018). A protocol for combining fluorescent proteins with histological stains for diverse cell wall components
Plant J 93, 399-412.

URLPMID:29171896 [本文引用: 1]

Verbelen JP, de Cnodder T, Le J, Vissenberg K, Balu?ka F ( 2006). The root apex of Arabidopsis thaliana consists of four distinct zones of growth activities
Plant Signal Behav 1, 296-304.

DOI:10.4161/psb.1.6.3511URLPMID:19517000 [本文引用: 1]
In the growing apex of Arabidopsis thaliana primary roots, cells proceed through four distinct phases of cellular activities. These zones and their boundaries can be well defined based on their characteristic cellular activities. The meristematic zone comprises, and is limited to, all cells that undergo mitotic divisions. Detailed in vivo analysis of transgenic lines reveals that, in the Columbia-0 ecotype, the meristem stretches up to 200 microm away from the junction between root and root cap (RCJ). In the transition zone, 200 to about 520 microm away from the RCJ, cells undergo physiological changes as they prepare for their fast elongation. Upon entering the transition zone, they progressively develop a central vacuole, polarize the cytoskeleton and remodel their cell walls. Cells grow slowly during this transition: it takes ten hours to triplicate cell length from 8.5 to about 35 microm in the trichoblast cell files. In the fast elongation zone, which covers the zone from 520 to about 850 microm from the RCJ, cell length quadruplicates to about 140 microm in only two hours. This is accompanied by drastic and specific cell wall alterations. Finally, root hairs fully develop in the growth terminating zone, where root cells undergo a minor elongation to reach their mature lengths.

Villani TS, Koroch AR, Simon JE ( 2013). An improved clearing and mounting solution to replace chloral hydrate in microscopic applications
Appl Plant Sci 1, apps. 1300016.

DOI:10.3732/apps.1300016URL [本文引用: 5]

Leukamenin E调节拟南芥幼苗生长发育的模式及其机制
2
2017

... 整体透明技术是研究植物内部形态结构的重要手段, 可以在不破坏整体结构的情况下对植物样品进行原位观察, 该技术已广泛应用于植物科学研究的诸多领域.植物整体样品之所以不透明, 是由于其组织中的水分、蛋白质、糖类和脂质等多种不同物质的折光系数不同, 当光线通过这些组分的时候会发生散射, 组织样品越厚, 散射就越强, 透射越少, 从而使光学观察受阻(Kurihara et al., 2015; 王培新等, 2016).整体透明技术的原理是利用某些具有高折射率的试剂处理待测样品, 使透射光通过样品时的散射减少, 光通量增加, 并降低球面色差, 以获得较高分辨率的图像(Haseloff, 2003); 此外, 高折射率的介质能够增加视野深度, 使更多层面上的图像进入聚焦平面, 从而达到组织样品透明的效果(Villani et al., 2013).虽然提高透明剂的浓度可以改善透明效果, 但由于透明剂(如水合三氯乙醛)能够改变透明液的渗透势和pH值, 从而对样品细胞形态的保持产生不利影响.因此, 根据材料性质选择适宜的透明液和透明方法是整体透明技术的关键.虽然目前已有多种透明液应用于植物组织透明研究, 但大多适用于叶片或胚珠等细胞壁较厚或液泡较少的组织材料(Lersten, 1986; 杨弘远, 1986, 1988; Liberato et al., 2005; 郝建华和强胜, 2007; 王文婧等, 2011; 赵林姝等, 2014; 任媛媛和朱炎, 2017).根尖作为一种不断保持分裂生长的组织, 细胞壁较薄, 使用现有的透明方法较难维持细胞形态, 造成透明效果的稳定性差(Richmond et al., 1980; Derbyshire et al., 2007; Li et al., 2010, 2013; Villani et al., 2013; 程蔚玲等, 2017; 李芳芳等, 2018), 不仅影响观察对象的清晰度, 还会造成根尖形态不正常和细胞发生质壁分离.虽然整体透明技术已广泛应用于模式植物根尖发育研究(Bougourd et al., 2000; Li et al., 2010, 2013; 程蔚玲等, 2017; 李芳芳等, 2018), 但如何在不影响根尖形态和细胞渗透势的前提下达到对根尖组织最优的透明观察效果, 仍需深入探索实践.本研究以拟南芥(Arabidopsis thaliana)为实验材料, 建立了根尖透明观察体系的评价标准, 即根尖形态是否正常、伸长区细胞是否发生质壁分离及静止中心细胞(QC细胞)的清晰度; 并利用这3个指标, 对透明时间、透明液成分配比和pH值3个要素进行改良, 优化出最适合拟南芥根尖的整体透明观察方法. ...

... ; 程蔚玲等, 2017; 李芳芳等, 2018), 但如何在不影响根尖形态和细胞渗透势的前提下达到对根尖组织最优的透明观察效果, 仍需深入探索实践.本研究以拟南芥(Arabidopsis thaliana)为实验材料, 建立了根尖透明观察体系的评价标准, 即根尖形态是否正常、伸长区细胞是否发生质壁分离及静止中心细胞(QC细胞)的清晰度; 并利用这3个指标, 对透明时间、透明液成分配比和pH值3个要素进行改良, 优化出最适合拟南芥根尖的整体透明观察方法. ...

整体透明技术在植物生物学中的应用实例及其剖析
1
2007

... 整体透明技术是研究植物内部形态结构的重要手段, 可以在不破坏整体结构的情况下对植物样品进行原位观察, 该技术已广泛应用于植物科学研究的诸多领域.植物整体样品之所以不透明, 是由于其组织中的水分、蛋白质、糖类和脂质等多种不同物质的折光系数不同, 当光线通过这些组分的时候会发生散射, 组织样品越厚, 散射就越强, 透射越少, 从而使光学观察受阻(Kurihara et al., 2015; 王培新等, 2016).整体透明技术的原理是利用某些具有高折射率的试剂处理待测样品, 使透射光通过样品时的散射减少, 光通量增加, 并降低球面色差, 以获得较高分辨率的图像(Haseloff, 2003); 此外, 高折射率的介质能够增加视野深度, 使更多层面上的图像进入聚焦平面, 从而达到组织样品透明的效果(Villani et al., 2013).虽然提高透明剂的浓度可以改善透明效果, 但由于透明剂(如水合三氯乙醛)能够改变透明液的渗透势和pH值, 从而对样品细胞形态的保持产生不利影响.因此, 根据材料性质选择适宜的透明液和透明方法是整体透明技术的关键.虽然目前已有多种透明液应用于植物组织透明研究, 但大多适用于叶片或胚珠等细胞壁较厚或液泡较少的组织材料(Lersten, 1986; 杨弘远, 1986, 1988; Liberato et al., 2005; 郝建华和强胜, 2007; 王文婧等, 2011; 赵林姝等, 2014; 任媛媛和朱炎, 2017).根尖作为一种不断保持分裂生长的组织, 细胞壁较薄, 使用现有的透明方法较难维持细胞形态, 造成透明效果的稳定性差(Richmond et al., 1980; Derbyshire et al., 2007; Li et al., 2010, 2013; Villani et al., 2013; 程蔚玲等, 2017; 李芳芳等, 2018), 不仅影响观察对象的清晰度, 还会造成根尖形态不正常和细胞发生质壁分离.虽然整体透明技术已广泛应用于模式植物根尖发育研究(Bougourd et al., 2000; Li et al., 2010, 2013; 程蔚玲等, 2017; 李芳芳等, 2018), 但如何在不影响根尖形态和细胞渗透势的前提下达到对根尖组织最优的透明观察效果, 仍需深入探索实践.本研究以拟南芥(Arabidopsis thaliana)为实验材料, 建立了根尖透明观察体系的评价标准, 即根尖形态是否正常、伸长区细胞是否发生质壁分离及静止中心细胞(QC细胞)的清晰度; 并利用这3个指标, 对透明时间、透明液成分配比和pH值3个要素进行改良, 优化出最适合拟南芥根尖的整体透明观察方法. ...

生长素参与三十烷醇诱导的拟南芥侧根发育
2
2018

... 整体透明技术是研究植物内部形态结构的重要手段, 可以在不破坏整体结构的情况下对植物样品进行原位观察, 该技术已广泛应用于植物科学研究的诸多领域.植物整体样品之所以不透明, 是由于其组织中的水分、蛋白质、糖类和脂质等多种不同物质的折光系数不同, 当光线通过这些组分的时候会发生散射, 组织样品越厚, 散射就越强, 透射越少, 从而使光学观察受阻(Kurihara et al., 2015; 王培新等, 2016).整体透明技术的原理是利用某些具有高折射率的试剂处理待测样品, 使透射光通过样品时的散射减少, 光通量增加, 并降低球面色差, 以获得较高分辨率的图像(Haseloff, 2003); 此外, 高折射率的介质能够增加视野深度, 使更多层面上的图像进入聚焦平面, 从而达到组织样品透明的效果(Villani et al., 2013).虽然提高透明剂的浓度可以改善透明效果, 但由于透明剂(如水合三氯乙醛)能够改变透明液的渗透势和pH值, 从而对样品细胞形态的保持产生不利影响.因此, 根据材料性质选择适宜的透明液和透明方法是整体透明技术的关键.虽然目前已有多种透明液应用于植物组织透明研究, 但大多适用于叶片或胚珠等细胞壁较厚或液泡较少的组织材料(Lersten, 1986; 杨弘远, 1986, 1988; Liberato et al., 2005; 郝建华和强胜, 2007; 王文婧等, 2011; 赵林姝等, 2014; 任媛媛和朱炎, 2017).根尖作为一种不断保持分裂生长的组织, 细胞壁较薄, 使用现有的透明方法较难维持细胞形态, 造成透明效果的稳定性差(Richmond et al., 1980; Derbyshire et al., 2007; Li et al., 2010, 2013; Villani et al., 2013; 程蔚玲等, 2017; 李芳芳等, 2018), 不仅影响观察对象的清晰度, 还会造成根尖形态不正常和细胞发生质壁分离.虽然整体透明技术已广泛应用于模式植物根尖发育研究(Bougourd et al., 2000; Li et al., 2010, 2013; 程蔚玲等, 2017; 李芳芳等, 2018), 但如何在不影响根尖形态和细胞渗透势的前提下达到对根尖组织最优的透明观察效果, 仍需深入探索实践.本研究以拟南芥(Arabidopsis thaliana)为实验材料, 建立了根尖透明观察体系的评价标准, 即根尖形态是否正常、伸长区细胞是否发生质壁分离及静止中心细胞(QC细胞)的清晰度; 并利用这3个指标, 对透明时间、透明液成分配比和pH值3个要素进行改良, 优化出最适合拟南芥根尖的整体透明观察方法. ...

... ; 李芳芳等, 2018), 但如何在不影响根尖形态和细胞渗透势的前提下达到对根尖组织最优的透明观察效果, 仍需深入探索实践.本研究以拟南芥(Arabidopsis thaliana)为实验材料, 建立了根尖透明观察体系的评价标准, 即根尖形态是否正常、伸长区细胞是否发生质壁分离及静止中心细胞(QC细胞)的清晰度; 并利用这3个指标, 对透明时间、透明液成分配比和pH值3个要素进行改良, 优化出最适合拟南芥根尖的整体透明观察方法. ...

整体透明技术观察悬铃叶苎麻胚胎发育的方法研究
2
2011

... 三氯乙醛和甘油是透明液中的常用成分.三氯乙醛可以提高溶液的折射率, 其在甘油溶液中的折射率达1.428, 接近于玻璃的折射率1.550 (Haseloff, 2003; Villani et al., 2013).这种较高的折射率一方面有助于增大观察体系的数值孔径, 提高分辨率; 另一方面使样品内不同组分的折光率趋于统一, 降低了光线的散射, 提高了光通量.在透明液中加入甘油能够减缓临时装片中水分的蒸发, 防止透明液结晶化(Villani et al., 2013).虽然各种透明液的主要成分相似, 但是不同植物组织样品的整体透明方法不尽相同.目前, 针对胚珠和叶片的整体透明方法较为成熟, 已有Herr 41/2透明、Hoyer氏溶液透明和水杨酸甲酯透明等多种透明体系(Hoyer, 1882; Herr, 1971, 1993; Crane, 1978; Bruzzese and Hasan, 1983; 杨弘远, 1986, 1988; 于明明等, 2009; 王文婧等, 2011; 赵林姝等, 2014; 任媛媛和朱炎, 2017), 但在这些透明体系中并未提出标准化的透明效果评价方案.之前对于胚珠和叶片透明体系的研究是以能够清晰地观察到细胞轮廓作为唯一的评价标准(李彦坤等, 2011; 赵林姝等, 2014; Ursache et al., 2018).相比于叶片, 根尖细胞在胞外渗透压升高时, 胞内膨压降低幅度较大, 使细胞更容易发生质壁分离, 甚至引起根尖整体形态异常(Itoh et al., 1987; Shabala et al., 2000; Shabala and Lew, 2002; Lang et al., 2014; Kim et al., 2018).透明液恰恰形成了一个高渗的胞外环境, 这在以往的研究中经常被忽视(李彦坤等, 2011; Villani et al., 2013; 赵林姝等, 2014).因此, 本文针对透明后的根尖形态、细胞质壁分离情况和透明清晰度, 首次提出了评价拟南芥根尖透明体系的3个量化指标: 形态正常的根尖所占比例、伸长区表皮细胞质壁分离比例及QC细胞清晰的根尖所占比例.综合这三方面评价结果可以更加严谨、完善地对根尖整体透明方法进行分析和改良, 为脆弱组织材料的整体透明研究提供改进依据. ...

... ).透明液恰恰形成了一个高渗的胞外环境, 这在以往的研究中经常被忽视(李彦坤等, 2011; Villani et al., 2013; 赵林姝等, 2014).因此, 本文针对透明后的根尖形态、细胞质壁分离情况和透明清晰度, 首次提出了评价拟南芥根尖透明体系的3个量化指标: 形态正常的根尖所占比例、伸长区表皮细胞质壁分离比例及QC细胞清晰的根尖所占比例.综合这三方面评价结果可以更加严谨、完善地对根尖整体透明方法进行分析和改良, 为脆弱组织材料的整体透明研究提供改进依据. ...

INO80参与拟南芥气孔数量调控的分子机制
3
2017

... 整体透明技术是研究植物内部形态结构的重要手段, 可以在不破坏整体结构的情况下对植物样品进行原位观察, 该技术已广泛应用于植物科学研究的诸多领域.植物整体样品之所以不透明, 是由于其组织中的水分、蛋白质、糖类和脂质等多种不同物质的折光系数不同, 当光线通过这些组分的时候会发生散射, 组织样品越厚, 散射就越强, 透射越少, 从而使光学观察受阻(Kurihara et al., 2015; 王培新等, 2016).整体透明技术的原理是利用某些具有高折射率的试剂处理待测样品, 使透射光通过样品时的散射减少, 光通量增加, 并降低球面色差, 以获得较高分辨率的图像(Haseloff, 2003); 此外, 高折射率的介质能够增加视野深度, 使更多层面上的图像进入聚焦平面, 从而达到组织样品透明的效果(Villani et al., 2013).虽然提高透明剂的浓度可以改善透明效果, 但由于透明剂(如水合三氯乙醛)能够改变透明液的渗透势和pH值, 从而对样品细胞形态的保持产生不利影响.因此, 根据材料性质选择适宜的透明液和透明方法是整体透明技术的关键.虽然目前已有多种透明液应用于植物组织透明研究, 但大多适用于叶片或胚珠等细胞壁较厚或液泡较少的组织材料(Lersten, 1986; 杨弘远, 1986, 1988; Liberato et al., 2005; 郝建华和强胜, 2007; 王文婧等, 2011; 赵林姝等, 2014; 任媛媛和朱炎, 2017).根尖作为一种不断保持分裂生长的组织, 细胞壁较薄, 使用现有的透明方法较难维持细胞形态, 造成透明效果的稳定性差(Richmond et al., 1980; Derbyshire et al., 2007; Li et al., 2010, 2013; Villani et al., 2013; 程蔚玲等, 2017; 李芳芳等, 2018), 不仅影响观察对象的清晰度, 还会造成根尖形态不正常和细胞发生质壁分离.虽然整体透明技术已广泛应用于模式植物根尖发育研究(Bougourd et al., 2000; Li et al., 2010, 2013; 程蔚玲等, 2017; 李芳芳等, 2018), 但如何在不影响根尖形态和细胞渗透势的前提下达到对根尖组织最优的透明观察效果, 仍需深入探索实践.本研究以拟南芥(Arabidopsis thaliana)为实验材料, 建立了根尖透明观察体系的评价标准, 即根尖形态是否正常、伸长区细胞是否发生质壁分离及静止中心细胞(QC细胞)的清晰度; 并利用这3个指标, 对透明时间、透明液成分配比和pH值3个要素进行改良, 优化出最适合拟南芥根尖的整体透明观察方法. ...

... 三氯乙醛和甘油是透明液中的常用成分.三氯乙醛可以提高溶液的折射率, 其在甘油溶液中的折射率达1.428, 接近于玻璃的折射率1.550 (Haseloff, 2003; Villani et al., 2013).这种较高的折射率一方面有助于增大观察体系的数值孔径, 提高分辨率; 另一方面使样品内不同组分的折光率趋于统一, 降低了光线的散射, 提高了光通量.在透明液中加入甘油能够减缓临时装片中水分的蒸发, 防止透明液结晶化(Villani et al., 2013).虽然各种透明液的主要成分相似, 但是不同植物组织样品的整体透明方法不尽相同.目前, 针对胚珠和叶片的整体透明方法较为成熟, 已有Herr 41/2透明、Hoyer氏溶液透明和水杨酸甲酯透明等多种透明体系(Hoyer, 1882; Herr, 1971, 1993; Crane, 1978; Bruzzese and Hasan, 1983; 杨弘远, 1986, 1988; 于明明等, 2009; 王文婧等, 2011; 赵林姝等, 2014; 任媛媛和朱炎, 2017), 但在这些透明体系中并未提出标准化的透明效果评价方案.之前对于胚珠和叶片透明体系的研究是以能够清晰地观察到细胞轮廓作为唯一的评价标准(李彦坤等, 2011; 赵林姝等, 2014; Ursache et al., 2018).相比于叶片, 根尖细胞在胞外渗透压升高时, 胞内膨压降低幅度较大, 使细胞更容易发生质壁分离, 甚至引起根尖整体形态异常(Itoh et al., 1987; Shabala et al., 2000; Shabala and Lew, 2002; Lang et al., 2014; Kim et al., 2018).透明液恰恰形成了一个高渗的胞外环境, 这在以往的研究中经常被忽视(李彦坤等, 2011; Villani et al., 2013; 赵林姝等, 2014).因此, 本文针对透明后的根尖形态、细胞质壁分离情况和透明清晰度, 首次提出了评价拟南芥根尖透明体系的3个量化指标: 形态正常的根尖所占比例、伸长区表皮细胞质壁分离比例及QC细胞清晰的根尖所占比例.综合这三方面评价结果可以更加严谨、完善地对根尖整体透明方法进行分析和改良, 为脆弱组织材料的整体透明研究提供改进依据. ...

... 目前, 已报道的透明液多以水合三氯乙醛为主要透明成分(Herr, 1993; Bougourd et al., 2000; 于明明等, 2009; Li et al., 2010, 2013; 任媛媛和朱炎, 2017).由于三氯乙醛是一种极性分子, 不能自由穿过细胞膜进入胞内, 透明时间的延长并不能够提高透明的清晰度, 反而会导致胞外水势降低, 细胞发生质壁分离.我们发现以5分钟作为透明时长, 能够在不影响透明效果的情况下, 避免根尖细胞发生严重的质壁分离.此外, 在总结前人研究的基础上, 通过降低透明液中三氯乙醛的浓度至0.63 g?mL-1, 显著减轻了拟南芥根尖伸长区表皮细胞的质壁分离程度.该浓度的三氯乙醛溶液对透明样品产生的折射率改变, 使被光学元件采集到的图像中, 根尖整体发育层次更加分明, 细胞边界更加清晰.完整的细胞壁能够提高细胞边界与周围图像的对比度, 直接决定着透明图像的清晰度.胞外pH值是调控细胞壁可塑性的关键因素, 进而影响细胞形态的完整性.已有研究表明, 在中性pH值时细胞壁的疏松度最低, 当pH值低于5.5时细胞壁的疏松度显著增加, 并且随着pH值的进一步降低, 细胞壁的疏松度持续增加(Hager, 2003; Janicka- Russak, 2011).但是, 现有的透明技术研究尚未见探讨透明液pH值是否对透明效果产生影响.基于此, 我们探究了透明液的原始pH值、拟南芥培养基常用pH值5.8和中性pH值7.2对根尖透明的影响, 发现中性pH7.2较pH5.8和原始pH值更好地保持了细胞边界的完整性, 也不会使根尖细胞发生明显的质壁分离. ...

组织透明技术
1
2016

... 整体透明技术是研究植物内部形态结构的重要手段, 可以在不破坏整体结构的情况下对植物样品进行原位观察, 该技术已广泛应用于植物科学研究的诸多领域.植物整体样品之所以不透明, 是由于其组织中的水分、蛋白质、糖类和脂质等多种不同物质的折光系数不同, 当光线通过这些组分的时候会发生散射, 组织样品越厚, 散射就越强, 透射越少, 从而使光学观察受阻(Kurihara et al., 2015; 王培新等, 2016).整体透明技术的原理是利用某些具有高折射率的试剂处理待测样品, 使透射光通过样品时的散射减少, 光通量增加, 并降低球面色差, 以获得较高分辨率的图像(Haseloff, 2003); 此外, 高折射率的介质能够增加视野深度, 使更多层面上的图像进入聚焦平面, 从而达到组织样品透明的效果(Villani et al., 2013).虽然提高透明剂的浓度可以改善透明效果, 但由于透明剂(如水合三氯乙醛)能够改变透明液的渗透势和pH值, 从而对样品细胞形态的保持产生不利影响.因此, 根据材料性质选择适宜的透明液和透明方法是整体透明技术的关键.虽然目前已有多种透明液应用于植物组织透明研究, 但大多适用于叶片或胚珠等细胞壁较厚或液泡较少的组织材料(Lersten, 1986; 杨弘远, 1986, 1988; Liberato et al., 2005; 郝建华和强胜, 2007; 王文婧等, 2011; 赵林姝等, 2014; 任媛媛和朱炎, 2017).根尖作为一种不断保持分裂生长的组织, 细胞壁较薄, 使用现有的透明方法较难维持细胞形态, 造成透明效果的稳定性差(Richmond et al., 1980; Derbyshire et al., 2007; Li et al., 2010, 2013; Villani et al., 2013; 程蔚玲等, 2017; 李芳芳等, 2018), 不仅影响观察对象的清晰度, 还会造成根尖形态不正常和细胞发生质壁分离.虽然整体透明技术已广泛应用于模式植物根尖发育研究(Bougourd et al., 2000; Li et al., 2010, 2013; 程蔚玲等, 2017; 李芳芳等, 2018), 但如何在不影响根尖形态和细胞渗透势的前提下达到对根尖组织最优的透明观察效果, 仍需深入探索实践.本研究以拟南芥(Arabidopsis thaliana)为实验材料, 建立了根尖透明观察体系的评价标准, 即根尖形态是否正常、伸长区细胞是否发生质壁分离及静止中心细胞(QC细胞)的清晰度; 并利用这3个指标, 对透明时间、透明液成分配比和pH值3个要素进行改良, 优化出最适合拟南芥根尖的整体透明观察方法. ...

SLC/AGO1基因控制拟南芥细胞分裂与定向伸长
2
2011

... 整体透明技术是研究植物内部形态结构的重要手段, 可以在不破坏整体结构的情况下对植物样品进行原位观察, 该技术已广泛应用于植物科学研究的诸多领域.植物整体样品之所以不透明, 是由于其组织中的水分、蛋白质、糖类和脂质等多种不同物质的折光系数不同, 当光线通过这些组分的时候会发生散射, 组织样品越厚, 散射就越强, 透射越少, 从而使光学观察受阻(Kurihara et al., 2015; 王培新等, 2016).整体透明技术的原理是利用某些具有高折射率的试剂处理待测样品, 使透射光通过样品时的散射减少, 光通量增加, 并降低球面色差, 以获得较高分辨率的图像(Haseloff, 2003); 此外, 高折射率的介质能够增加视野深度, 使更多层面上的图像进入聚焦平面, 从而达到组织样品透明的效果(Villani et al., 2013).虽然提高透明剂的浓度可以改善透明效果, 但由于透明剂(如水合三氯乙醛)能够改变透明液的渗透势和pH值, 从而对样品细胞形态的保持产生不利影响.因此, 根据材料性质选择适宜的透明液和透明方法是整体透明技术的关键.虽然目前已有多种透明液应用于植物组织透明研究, 但大多适用于叶片或胚珠等细胞壁较厚或液泡较少的组织材料(Lersten, 1986; 杨弘远, 1986, 1988; Liberato et al., 2005; 郝建华和强胜, 2007; 王文婧等, 2011; 赵林姝等, 2014; 任媛媛和朱炎, 2017).根尖作为一种不断保持分裂生长的组织, 细胞壁较薄, 使用现有的透明方法较难维持细胞形态, 造成透明效果的稳定性差(Richmond et al., 1980; Derbyshire et al., 2007; Li et al., 2010, 2013; Villani et al., 2013; 程蔚玲等, 2017; 李芳芳等, 2018), 不仅影响观察对象的清晰度, 还会造成根尖形态不正常和细胞发生质壁分离.虽然整体透明技术已广泛应用于模式植物根尖发育研究(Bougourd et al., 2000; Li et al., 2010, 2013; 程蔚玲等, 2017; 李芳芳等, 2018), 但如何在不影响根尖形态和细胞渗透势的前提下达到对根尖组织最优的透明观察效果, 仍需深入探索实践.本研究以拟南芥(Arabidopsis thaliana)为实验材料, 建立了根尖透明观察体系的评价标准, 即根尖形态是否正常、伸长区细胞是否发生质壁分离及静止中心细胞(QC细胞)的清晰度; 并利用这3个指标, 对透明时间、透明液成分配比和pH值3个要素进行改良, 优化出最适合拟南芥根尖的整体透明观察方法. ...

... 三氯乙醛和甘油是透明液中的常用成分.三氯乙醛可以提高溶液的折射率, 其在甘油溶液中的折射率达1.428, 接近于玻璃的折射率1.550 (Haseloff, 2003; Villani et al., 2013).这种较高的折射率一方面有助于增大观察体系的数值孔径, 提高分辨率; 另一方面使样品内不同组分的折光率趋于统一, 降低了光线的散射, 提高了光通量.在透明液中加入甘油能够减缓临时装片中水分的蒸发, 防止透明液结晶化(Villani et al., 2013).虽然各种透明液的主要成分相似, 但是不同植物组织样品的整体透明方法不尽相同.目前, 针对胚珠和叶片的整体透明方法较为成熟, 已有Herr 41/2透明、Hoyer氏溶液透明和水杨酸甲酯透明等多种透明体系(Hoyer, 1882; Herr, 1971, 1993; Crane, 1978; Bruzzese and Hasan, 1983; 杨弘远, 1986, 1988; 于明明等, 2009; 王文婧等, 2011; 赵林姝等, 2014; 任媛媛和朱炎, 2017), 但在这些透明体系中并未提出标准化的透明效果评价方案.之前对于胚珠和叶片透明体系的研究是以能够清晰地观察到细胞轮廓作为唯一的评价标准(李彦坤等, 2011; 赵林姝等, 2014; Ursache et al., 2018).相比于叶片, 根尖细胞在胞外渗透压升高时, 胞内膨压降低幅度较大, 使细胞更容易发生质壁分离, 甚至引起根尖整体形态异常(Itoh et al., 1987; Shabala et al., 2000; Shabala and Lew, 2002; Lang et al., 2014; Kim et al., 2018).透明液恰恰形成了一个高渗的胞外环境, 这在以往的研究中经常被忽视(李彦坤等, 2011; Villani et al., 2013; 赵林姝等, 2014).因此, 本文针对透明后的根尖形态、细胞质壁分离情况和透明清晰度, 首次提出了评价拟南芥根尖透明体系的3个量化指标: 形态正常的根尖所占比例、伸长区表皮细胞质壁分离比例及QC细胞清晰的根尖所占比例.综合这三方面评价结果可以更加严谨、完善地对根尖整体透明方法进行分析和改良, 为脆弱组织材料的整体透明研究提供改进依据. ...

用整体染色与透明技术观察胚囊、胚、胚乳和胚状体
2
1986

... 整体透明技术是研究植物内部形态结构的重要手段, 可以在不破坏整体结构的情况下对植物样品进行原位观察, 该技术已广泛应用于植物科学研究的诸多领域.植物整体样品之所以不透明, 是由于其组织中的水分、蛋白质、糖类和脂质等多种不同物质的折光系数不同, 当光线通过这些组分的时候会发生散射, 组织样品越厚, 散射就越强, 透射越少, 从而使光学观察受阻(Kurihara et al., 2015; 王培新等, 2016).整体透明技术的原理是利用某些具有高折射率的试剂处理待测样品, 使透射光通过样品时的散射减少, 光通量增加, 并降低球面色差, 以获得较高分辨率的图像(Haseloff, 2003); 此外, 高折射率的介质能够增加视野深度, 使更多层面上的图像进入聚焦平面, 从而达到组织样品透明的效果(Villani et al., 2013).虽然提高透明剂的浓度可以改善透明效果, 但由于透明剂(如水合三氯乙醛)能够改变透明液的渗透势和pH值, 从而对样品细胞形态的保持产生不利影响.因此, 根据材料性质选择适宜的透明液和透明方法是整体透明技术的关键.虽然目前已有多种透明液应用于植物组织透明研究, 但大多适用于叶片或胚珠等细胞壁较厚或液泡较少的组织材料(Lersten, 1986; 杨弘远, 1986, 1988; Liberato et al., 2005; 郝建华和强胜, 2007; 王文婧等, 2011; 赵林姝等, 2014; 任媛媛和朱炎, 2017).根尖作为一种不断保持分裂生长的组织, 细胞壁较薄, 使用现有的透明方法较难维持细胞形态, 造成透明效果的稳定性差(Richmond et al., 1980; Derbyshire et al., 2007; Li et al., 2010, 2013; Villani et al., 2013; 程蔚玲等, 2017; 李芳芳等, 2018), 不仅影响观察对象的清晰度, 还会造成根尖形态不正常和细胞发生质壁分离.虽然整体透明技术已广泛应用于模式植物根尖发育研究(Bougourd et al., 2000; Li et al., 2010, 2013; 程蔚玲等, 2017; 李芳芳等, 2018), 但如何在不影响根尖形态和细胞渗透势的前提下达到对根尖组织最优的透明观察效果, 仍需深入探索实践.本研究以拟南芥(Arabidopsis thaliana)为实验材料, 建立了根尖透明观察体系的评价标准, 即根尖形态是否正常、伸长区细胞是否发生质壁分离及静止中心细胞(QC细胞)的清晰度; 并利用这3个指标, 对透明时间、透明液成分配比和pH值3个要素进行改良, 优化出最适合拟南芥根尖的整体透明观察方法. ...

... 三氯乙醛和甘油是透明液中的常用成分.三氯乙醛可以提高溶液的折射率, 其在甘油溶液中的折射率达1.428, 接近于玻璃的折射率1.550 (Haseloff, 2003; Villani et al., 2013).这种较高的折射率一方面有助于增大观察体系的数值孔径, 提高分辨率; 另一方面使样品内不同组分的折光率趋于统一, 降低了光线的散射, 提高了光通量.在透明液中加入甘油能够减缓临时装片中水分的蒸发, 防止透明液结晶化(Villani et al., 2013).虽然各种透明液的主要成分相似, 但是不同植物组织样品的整体透明方法不尽相同.目前, 针对胚珠和叶片的整体透明方法较为成熟, 已有Herr 41/2透明、Hoyer氏溶液透明和水杨酸甲酯透明等多种透明体系(Hoyer, 1882; Herr, 1971, 1993; Crane, 1978; Bruzzese and Hasan, 1983; 杨弘远, 1986, 1988; 于明明等, 2009; 王文婧等, 2011; 赵林姝等, 2014; 任媛媛和朱炎, 2017), 但在这些透明体系中并未提出标准化的透明效果评价方案.之前对于胚珠和叶片透明体系的研究是以能够清晰地观察到细胞轮廓作为唯一的评价标准(李彦坤等, 2011; 赵林姝等, 2014; Ursache et al., 2018).相比于叶片, 根尖细胞在胞外渗透压升高时, 胞内膨压降低幅度较大, 使细胞更容易发生质壁分离, 甚至引起根尖整体形态异常(Itoh et al., 1987; Shabala et al., 2000; Shabala and Lew, 2002; Lang et al., 2014; Kim et al., 2018).透明液恰恰形成了一个高渗的胞外环境, 这在以往的研究中经常被忽视(李彦坤等, 2011; Villani et al., 2013; 赵林姝等, 2014).因此, 本文针对透明后的根尖形态、细胞质壁分离情况和透明清晰度, 首次提出了评价拟南芥根尖透明体系的3个量化指标: 形态正常的根尖所占比例、伸长区表皮细胞质壁分离比例及QC细胞清晰的根尖所占比例.综合这三方面评价结果可以更加严谨、完善地对根尖整体透明方法进行分析和改良, 为脆弱组织材料的整体透明研究提供改进依据. ...

植物胚胎学中的整体透明技术
2
1988

... 整体透明技术是研究植物内部形态结构的重要手段, 可以在不破坏整体结构的情况下对植物样品进行原位观察, 该技术已广泛应用于植物科学研究的诸多领域.植物整体样品之所以不透明, 是由于其组织中的水分、蛋白质、糖类和脂质等多种不同物质的折光系数不同, 当光线通过这些组分的时候会发生散射, 组织样品越厚, 散射就越强, 透射越少, 从而使光学观察受阻(Kurihara et al., 2015; 王培新等, 2016).整体透明技术的原理是利用某些具有高折射率的试剂处理待测样品, 使透射光通过样品时的散射减少, 光通量增加, 并降低球面色差, 以获得较高分辨率的图像(Haseloff, 2003); 此外, 高折射率的介质能够增加视野深度, 使更多层面上的图像进入聚焦平面, 从而达到组织样品透明的效果(Villani et al., 2013).虽然提高透明剂的浓度可以改善透明效果, 但由于透明剂(如水合三氯乙醛)能够改变透明液的渗透势和pH值, 从而对样品细胞形态的保持产生不利影响.因此, 根据材料性质选择适宜的透明液和透明方法是整体透明技术的关键.虽然目前已有多种透明液应用于植物组织透明研究, 但大多适用于叶片或胚珠等细胞壁较厚或液泡较少的组织材料(Lersten, 1986; 杨弘远, 1986, 1988; Liberato et al., 2005; 郝建华和强胜, 2007; 王文婧等, 2011; 赵林姝等, 2014; 任媛媛和朱炎, 2017).根尖作为一种不断保持分裂生长的组织, 细胞壁较薄, 使用现有的透明方法较难维持细胞形态, 造成透明效果的稳定性差(Richmond et al., 1980; Derbyshire et al., 2007; Li et al., 2010, 2013; Villani et al., 2013; 程蔚玲等, 2017; 李芳芳等, 2018), 不仅影响观察对象的清晰度, 还会造成根尖形态不正常和细胞发生质壁分离.虽然整体透明技术已广泛应用于模式植物根尖发育研究(Bougourd et al., 2000; Li et al., 2010, 2013; 程蔚玲等, 2017; 李芳芳等, 2018), 但如何在不影响根尖形态和细胞渗透势的前提下达到对根尖组织最优的透明观察效果, 仍需深入探索实践.本研究以拟南芥(Arabidopsis thaliana)为实验材料, 建立了根尖透明观察体系的评价标准, 即根尖形态是否正常、伸长区细胞是否发生质壁分离及静止中心细胞(QC细胞)的清晰度; 并利用这3个指标, 对透明时间、透明液成分配比和pH值3个要素进行改良, 优化出最适合拟南芥根尖的整体透明观察方法. ...

... 三氯乙醛和甘油是透明液中的常用成分.三氯乙醛可以提高溶液的折射率, 其在甘油溶液中的折射率达1.428, 接近于玻璃的折射率1.550 (Haseloff, 2003; Villani et al., 2013).这种较高的折射率一方面有助于增大观察体系的数值孔径, 提高分辨率; 另一方面使样品内不同组分的折光率趋于统一, 降低了光线的散射, 提高了光通量.在透明液中加入甘油能够减缓临时装片中水分的蒸发, 防止透明液结晶化(Villani et al., 2013).虽然各种透明液的主要成分相似, 但是不同植物组织样品的整体透明方法不尽相同.目前, 针对胚珠和叶片的整体透明方法较为成熟, 已有Herr 41/2透明、Hoyer氏溶液透明和水杨酸甲酯透明等多种透明体系(Hoyer, 1882; Herr, 1971, 1993; Crane, 1978; Bruzzese and Hasan, 1983; 杨弘远, 1986, 1988; 于明明等, 2009; 王文婧等, 2011; 赵林姝等, 2014; 任媛媛和朱炎, 2017), 但在这些透明体系中并未提出标准化的透明效果评价方案.之前对于胚珠和叶片透明体系的研究是以能够清晰地观察到细胞轮廓作为唯一的评价标准(李彦坤等, 2011; 赵林姝等, 2014; Ursache et al., 2018).相比于叶片, 根尖细胞在胞外渗透压升高时, 胞内膨压降低幅度较大, 使细胞更容易发生质壁分离, 甚至引起根尖整体形态异常(Itoh et al., 1987; Shabala et al., 2000; Shabala and Lew, 2002; Lang et al., 2014; Kim et al., 2018).透明液恰恰形成了一个高渗的胞外环境, 这在以往的研究中经常被忽视(李彦坤等, 2011; Villani et al., 2013; 赵林姝等, 2014).因此, 本文针对透明后的根尖形态、细胞质壁分离情况和透明清晰度, 首次提出了评价拟南芥根尖透明体系的3个量化指标: 形态正常的根尖所占比例、伸长区表皮细胞质壁分离比例及QC细胞清晰的根尖所占比例.综合这三方面评价结果可以更加严谨、完善地对根尖整体透明方法进行分析和改良, 为脆弱组织材料的整体透明研究提供改进依据. ...

APETALA1启动子驱动AtIPT4在转基因拟南芥中表达导致花和花器官发育异常
2
2009

... 三氯乙醛和甘油是透明液中的常用成分.三氯乙醛可以提高溶液的折射率, 其在甘油溶液中的折射率达1.428, 接近于玻璃的折射率1.550 (Haseloff, 2003; Villani et al., 2013).这种较高的折射率一方面有助于增大观察体系的数值孔径, 提高分辨率; 另一方面使样品内不同组分的折光率趋于统一, 降低了光线的散射, 提高了光通量.在透明液中加入甘油能够减缓临时装片中水分的蒸发, 防止透明液结晶化(Villani et al., 2013).虽然各种透明液的主要成分相似, 但是不同植物组织样品的整体透明方法不尽相同.目前, 针对胚珠和叶片的整体透明方法较为成熟, 已有Herr 41/2透明、Hoyer氏溶液透明和水杨酸甲酯透明等多种透明体系(Hoyer, 1882; Herr, 1971, 1993; Crane, 1978; Bruzzese and Hasan, 1983; 杨弘远, 1986, 1988; 于明明等, 2009; 王文婧等, 2011; 赵林姝等, 2014; 任媛媛和朱炎, 2017), 但在这些透明体系中并未提出标准化的透明效果评价方案.之前对于胚珠和叶片透明体系的研究是以能够清晰地观察到细胞轮廓作为唯一的评价标准(李彦坤等, 2011; 赵林姝等, 2014; Ursache et al., 2018).相比于叶片, 根尖细胞在胞外渗透压升高时, 胞内膨压降低幅度较大, 使细胞更容易发生质壁分离, 甚至引起根尖整体形态异常(Itoh et al., 1987; Shabala et al., 2000; Shabala and Lew, 2002; Lang et al., 2014; Kim et al., 2018).透明液恰恰形成了一个高渗的胞外环境, 这在以往的研究中经常被忽视(李彦坤等, 2011; Villani et al., 2013; 赵林姝等, 2014).因此, 本文针对透明后的根尖形态、细胞质壁分离情况和透明清晰度, 首次提出了评价拟南芥根尖透明体系的3个量化指标: 形态正常的根尖所占比例、伸长区表皮细胞质壁分离比例及QC细胞清晰的根尖所占比例.综合这三方面评价结果可以更加严谨、完善地对根尖整体透明方法进行分析和改良, 为脆弱组织材料的整体透明研究提供改进依据. ...

... 目前, 已报道的透明液多以水合三氯乙醛为主要透明成分(Herr, 1993; Bougourd et al., 2000; 于明明等, 2009; Li et al., 2010, 2013; 任媛媛和朱炎, 2017).由于三氯乙醛是一种极性分子, 不能自由穿过细胞膜进入胞内, 透明时间的延长并不能够提高透明的清晰度, 反而会导致胞外水势降低, 细胞发生质壁分离.我们发现以5分钟作为透明时长, 能够在不影响透明效果的情况下, 避免根尖细胞发生严重的质壁分离.此外, 在总结前人研究的基础上, 通过降低透明液中三氯乙醛的浓度至0.63 g?mL-1, 显著减轻了拟南芥根尖伸长区表皮细胞的质壁分离程度.该浓度的三氯乙醛溶液对透明样品产生的折射率改变, 使被光学元件采集到的图像中, 根尖整体发育层次更加分明, 细胞边界更加清晰.完整的细胞壁能够提高细胞边界与周围图像的对比度, 直接决定着透明图像的清晰度.胞外pH值是调控细胞壁可塑性的关键因素, 进而影响细胞形态的完整性.已有研究表明, 在中性pH值时细胞壁的疏松度最低, 当pH值低于5.5时细胞壁的疏松度显著增加, 并且随着pH值的进一步降低, 细胞壁的疏松度持续增加(Hager, 2003; Janicka- Russak, 2011).但是, 现有的透明技术研究尚未见探讨透明液pH值是否对透明效果产生影响.基于此, 我们探究了透明液的原始pH值、拟南芥培养基常用pH值5.8和中性pH值7.2对根尖透明的影响, 发现中性pH7.2较pH5.8和原始pH值更好地保持了细胞边界的完整性, 也不会使根尖细胞发生明显的质壁分离. ...

一种小麦叶片气孔保卫细胞观察样品的制备方法
4
2014

... 整体透明技术是研究植物内部形态结构的重要手段, 可以在不破坏整体结构的情况下对植物样品进行原位观察, 该技术已广泛应用于植物科学研究的诸多领域.植物整体样品之所以不透明, 是由于其组织中的水分、蛋白质、糖类和脂质等多种不同物质的折光系数不同, 当光线通过这些组分的时候会发生散射, 组织样品越厚, 散射就越强, 透射越少, 从而使光学观察受阻(Kurihara et al., 2015; 王培新等, 2016).整体透明技术的原理是利用某些具有高折射率的试剂处理待测样品, 使透射光通过样品时的散射减少, 光通量增加, 并降低球面色差, 以获得较高分辨率的图像(Haseloff, 2003); 此外, 高折射率的介质能够增加视野深度, 使更多层面上的图像进入聚焦平面, 从而达到组织样品透明的效果(Villani et al., 2013).虽然提高透明剂的浓度可以改善透明效果, 但由于透明剂(如水合三氯乙醛)能够改变透明液的渗透势和pH值, 从而对样品细胞形态的保持产生不利影响.因此, 根据材料性质选择适宜的透明液和透明方法是整体透明技术的关键.虽然目前已有多种透明液应用于植物组织透明研究, 但大多适用于叶片或胚珠等细胞壁较厚或液泡较少的组织材料(Lersten, 1986; 杨弘远, 1986, 1988; Liberato et al., 2005; 郝建华和强胜, 2007; 王文婧等, 2011; 赵林姝等, 2014; 任媛媛和朱炎, 2017).根尖作为一种不断保持分裂生长的组织, 细胞壁较薄, 使用现有的透明方法较难维持细胞形态, 造成透明效果的稳定性差(Richmond et al., 1980; Derbyshire et al., 2007; Li et al., 2010, 2013; Villani et al., 2013; 程蔚玲等, 2017; 李芳芳等, 2018), 不仅影响观察对象的清晰度, 还会造成根尖形态不正常和细胞发生质壁分离.虽然整体透明技术已广泛应用于模式植物根尖发育研究(Bougourd et al., 2000; Li et al., 2010, 2013; 程蔚玲等, 2017; 李芳芳等, 2018), 但如何在不影响根尖形态和细胞渗透势的前提下达到对根尖组织最优的透明观察效果, 仍需深入探索实践.本研究以拟南芥(Arabidopsis thaliana)为实验材料, 建立了根尖透明观察体系的评价标准, 即根尖形态是否正常、伸长区细胞是否发生质壁分离及静止中心细胞(QC细胞)的清晰度; 并利用这3个指标, 对透明时间、透明液成分配比和pH值3个要素进行改良, 优化出最适合拟南芥根尖的整体透明观察方法. ...

... 三氯乙醛和甘油是透明液中的常用成分.三氯乙醛可以提高溶液的折射率, 其在甘油溶液中的折射率达1.428, 接近于玻璃的折射率1.550 (Haseloff, 2003; Villani et al., 2013).这种较高的折射率一方面有助于增大观察体系的数值孔径, 提高分辨率; 另一方面使样品内不同组分的折光率趋于统一, 降低了光线的散射, 提高了光通量.在透明液中加入甘油能够减缓临时装片中水分的蒸发, 防止透明液结晶化(Villani et al., 2013).虽然各种透明液的主要成分相似, 但是不同植物组织样品的整体透明方法不尽相同.目前, 针对胚珠和叶片的整体透明方法较为成熟, 已有Herr 41/2透明、Hoyer氏溶液透明和水杨酸甲酯透明等多种透明体系(Hoyer, 1882; Herr, 1971, 1993; Crane, 1978; Bruzzese and Hasan, 1983; 杨弘远, 1986, 1988; 于明明等, 2009; 王文婧等, 2011; 赵林姝等, 2014; 任媛媛和朱炎, 2017), 但在这些透明体系中并未提出标准化的透明效果评价方案.之前对于胚珠和叶片透明体系的研究是以能够清晰地观察到细胞轮廓作为唯一的评价标准(李彦坤等, 2011; 赵林姝等, 2014; Ursache et al., 2018).相比于叶片, 根尖细胞在胞外渗透压升高时, 胞内膨压降低幅度较大, 使细胞更容易发生质壁分离, 甚至引起根尖整体形态异常(Itoh et al., 1987; Shabala et al., 2000; Shabala and Lew, 2002; Lang et al., 2014; Kim et al., 2018).透明液恰恰形成了一个高渗的胞外环境, 这在以往的研究中经常被忽视(李彦坤等, 2011; Villani et al., 2013; 赵林姝等, 2014).因此, 本文针对透明后的根尖形态、细胞质壁分离情况和透明清晰度, 首次提出了评价拟南芥根尖透明体系的3个量化指标: 形态正常的根尖所占比例、伸长区表皮细胞质壁分离比例及QC细胞清晰的根尖所占比例.综合这三方面评价结果可以更加严谨、完善地对根尖整体透明方法进行分析和改良, 为脆弱组织材料的整体透明研究提供改进依据. ...

... ; 赵林姝等, 2014; Ursache et al., 2018).相比于叶片, 根尖细胞在胞外渗透压升高时, 胞内膨压降低幅度较大, 使细胞更容易发生质壁分离, 甚至引起根尖整体形态异常(Itoh et al., 1987; Shabala et al., 2000; Shabala and Lew, 2002; Lang et al., 2014; Kim et al., 2018).透明液恰恰形成了一个高渗的胞外环境, 这在以往的研究中经常被忽视(李彦坤等, 2011; Villani et al., 2013; 赵林姝等, 2014).因此, 本文针对透明后的根尖形态、细胞质壁分离情况和透明清晰度, 首次提出了评价拟南芥根尖透明体系的3个量化指标: 形态正常的根尖所占比例、伸长区表皮细胞质壁分离比例及QC细胞清晰的根尖所占比例.综合这三方面评价结果可以更加严谨、完善地对根尖整体透明方法进行分析和改良, 为脆弱组织材料的整体透明研究提供改进依据. ...

... ; 赵林姝等, 2014).因此, 本文针对透明后的根尖形态、细胞质壁分离情况和透明清晰度, 首次提出了评价拟南芥根尖透明体系的3个量化指标: 形态正常的根尖所占比例、伸长区表皮细胞质壁分离比例及QC细胞清晰的根尖所占比例.综合这三方面评价结果可以更加严谨、完善地对根尖整体透明方法进行分析和改良, 为脆弱组织材料的整体透明研究提供改进依据. ...

Analysis of cell division and elongation underlying the developmental acceleration of root growth in Arabidopsis thaliana
1
1998

... 在植物的发育过程研究中, 经常需要对不同苗龄大小的根尖进行透明处理.理论上, 幼苗期的生长发育形成了拟南芥的初生结构, 在这一时期不同苗龄的根尖形态一样(Beemster and Baskin, 1998; Verbelen et al., 2006; Ivanov and Dubrovsky, 2013; Takatsuka and Umeda, 2014; Pavelescu et al., 2018).为了科学严谨地验证本文所筛选出的优选透明方案是否适合整体透明实验中常用的苗龄材料(如3至15日龄幼苗), 我们利用筛选到的透明液HCG-2 (pH7.2)对拟南芥3、9和15日龄幼苗根尖进行透明.结果(图8)表明, 3、9和15日龄幼苗在根尖形态和透明效果上无明显差异.因此, 对于根尖这一特定组织材料, 苗龄大小不会对透明产生不确定性影响.我们改良所得透明液HCG-2 (pH7.2)、透明5分钟的透明方案适用于不同苗龄拟南芥根尖的整体透明. ...

An aniline blue staining procedure for confocal microscopy and 3D imaging of normal and perturbed cellular phenotypes in mature Arabidopsis embryos
2
2000

... 整体透明技术是研究植物内部形态结构的重要手段, 可以在不破坏整体结构的情况下对植物样品进行原位观察, 该技术已广泛应用于植物科学研究的诸多领域.植物整体样品之所以不透明, 是由于其组织中的水分、蛋白质、糖类和脂质等多种不同物质的折光系数不同, 当光线通过这些组分的时候会发生散射, 组织样品越厚, 散射就越强, 透射越少, 从而使光学观察受阻(Kurihara et al., 2015; 王培新等, 2016).整体透明技术的原理是利用某些具有高折射率的试剂处理待测样品, 使透射光通过样品时的散射减少, 光通量增加, 并降低球面色差, 以获得较高分辨率的图像(Haseloff, 2003); 此外, 高折射率的介质能够增加视野深度, 使更多层面上的图像进入聚焦平面, 从而达到组织样品透明的效果(Villani et al., 2013).虽然提高透明剂的浓度可以改善透明效果, 但由于透明剂(如水合三氯乙醛)能够改变透明液的渗透势和pH值, 从而对样品细胞形态的保持产生不利影响.因此, 根据材料性质选择适宜的透明液和透明方法是整体透明技术的关键.虽然目前已有多种透明液应用于植物组织透明研究, 但大多适用于叶片或胚珠等细胞壁较厚或液泡较少的组织材料(Lersten, 1986; 杨弘远, 1986, 1988; Liberato et al., 2005; 郝建华和强胜, 2007; 王文婧等, 2011; 赵林姝等, 2014; 任媛媛和朱炎, 2017).根尖作为一种不断保持分裂生长的组织, 细胞壁较薄, 使用现有的透明方法较难维持细胞形态, 造成透明效果的稳定性差(Richmond et al., 1980; Derbyshire et al., 2007; Li et al., 2010, 2013; Villani et al., 2013; 程蔚玲等, 2017; 李芳芳等, 2018), 不仅影响观察对象的清晰度, 还会造成根尖形态不正常和细胞发生质壁分离.虽然整体透明技术已广泛应用于模式植物根尖发育研究(Bougourd et al., 2000; Li et al., 2010, 2013; 程蔚玲等, 2017; 李芳芳等, 2018), 但如何在不影响根尖形态和细胞渗透势的前提下达到对根尖组织最优的透明观察效果, 仍需深入探索实践.本研究以拟南芥(Arabidopsis thaliana)为实验材料, 建立了根尖透明观察体系的评价标准, 即根尖形态是否正常、伸长区细胞是否发生质壁分离及静止中心细胞(QC细胞)的清晰度; 并利用这3个指标, 对透明时间、透明液成分配比和pH值3个要素进行改良, 优化出最适合拟南芥根尖的整体透明观察方法. ...

... 目前, 已报道的透明液多以水合三氯乙醛为主要透明成分(Herr, 1993; Bougourd et al., 2000; 于明明等, 2009; Li et al., 2010, 2013; 任媛媛和朱炎, 2017).由于三氯乙醛是一种极性分子, 不能自由穿过细胞膜进入胞内, 透明时间的延长并不能够提高透明的清晰度, 反而会导致胞外水势降低, 细胞发生质壁分离.我们发现以5分钟作为透明时长, 能够在不影响透明效果的情况下, 避免根尖细胞发生严重的质壁分离.此外, 在总结前人研究的基础上, 通过降低透明液中三氯乙醛的浓度至0.63 g?mL-1, 显著减轻了拟南芥根尖伸长区表皮细胞的质壁分离程度.该浓度的三氯乙醛溶液对透明样品产生的折射率改变, 使被光学元件采集到的图像中, 根尖整体发育层次更加分明, 细胞边界更加清晰.完整的细胞壁能够提高细胞边界与周围图像的对比度, 直接决定着透明图像的清晰度.胞外pH值是调控细胞壁可塑性的关键因素, 进而影响细胞形态的完整性.已有研究表明, 在中性pH值时细胞壁的疏松度最低, 当pH值低于5.5时细胞壁的疏松度显著增加, 并且随着pH值的进一步降低, 细胞壁的疏松度持续增加(Hager, 2003; Janicka- Russak, 2011).但是, 现有的透明技术研究尚未见探讨透明液pH值是否对透明效果产生影响.基于此, 我们探究了透明液的原始pH值、拟南芥培养基常用pH值5.8和中性pH值7.2对根尖透明的影响, 发现中性pH7.2较pH5.8和原始pH值更好地保持了细胞边界的完整性, 也不会使根尖细胞发生明显的质壁分离. ...

A whole leaf clearing and staining technique for host specificity studies of rust fungi
1
1983

... 三氯乙醛和甘油是透明液中的常用成分.三氯乙醛可以提高溶液的折射率, 其在甘油溶液中的折射率达1.428, 接近于玻璃的折射率1.550 (Haseloff, 2003; Villani et al., 2013).这种较高的折射率一方面有助于增大观察体系的数值孔径, 提高分辨率; 另一方面使样品内不同组分的折光率趋于统一, 降低了光线的散射, 提高了光通量.在透明液中加入甘油能够减缓临时装片中水分的蒸发, 防止透明液结晶化(Villani et al., 2013).虽然各种透明液的主要成分相似, 但是不同植物组织样品的整体透明方法不尽相同.目前, 针对胚珠和叶片的整体透明方法较为成熟, 已有Herr 41/2透明、Hoyer氏溶液透明和水杨酸甲酯透明等多种透明体系(Hoyer, 1882; Herr, 1971, 1993; Crane, 1978; Bruzzese and Hasan, 1983; 杨弘远, 1986, 1988; 于明明等, 2009; 王文婧等, 2011; 赵林姝等, 2014; 任媛媛和朱炎, 2017), 但在这些透明体系中并未提出标准化的透明效果评价方案.之前对于胚珠和叶片透明体系的研究是以能够清晰地观察到细胞轮廓作为唯一的评价标准(李彦坤等, 2011; 赵林姝等, 2014; Ursache et al., 2018).相比于叶片, 根尖细胞在胞外渗透压升高时, 胞内膨压降低幅度较大, 使细胞更容易发生质壁分离, 甚至引起根尖整体形态异常(Itoh et al., 1987; Shabala et al., 2000; Shabala and Lew, 2002; Lang et al., 2014; Kim et al., 2018).透明液恰恰形成了一个高渗的胞外环境, 这在以往的研究中经常被忽视(李彦坤等, 2011; Villani et al., 2013; 赵林姝等, 2014).因此, 本文针对透明后的根尖形态、细胞质壁分离情况和透明清晰度, 首次提出了评价拟南芥根尖透明体系的3个量化指标: 形态正常的根尖所占比例、伸长区表皮细胞质壁分离比例及QC细胞清晰的根尖所占比例.综合这三方面评价结果可以更加严谨、完善地对根尖整体透明方法进行分析和改良, 为脆弱组织材料的整体透明研究提供改进依据. ...

Apomixis and Crossing Incompatibilities in Some Zephyrantheae
1
1978

... 三氯乙醛和甘油是透明液中的常用成分.三氯乙醛可以提高溶液的折射率, 其在甘油溶液中的折射率达1.428, 接近于玻璃的折射率1.550 (Haseloff, 2003; Villani et al., 2013).这种较高的折射率一方面有助于增大观察体系的数值孔径, 提高分辨率; 另一方面使样品内不同组分的折光率趋于统一, 降低了光线的散射, 提高了光通量.在透明液中加入甘油能够减缓临时装片中水分的蒸发, 防止透明液结晶化(Villani et al., 2013).虽然各种透明液的主要成分相似, 但是不同植物组织样品的整体透明方法不尽相同.目前, 针对胚珠和叶片的整体透明方法较为成熟, 已有Herr 41/2透明、Hoyer氏溶液透明和水杨酸甲酯透明等多种透明体系(Hoyer, 1882; Herr, 1971, 1993; Crane, 1978; Bruzzese and Hasan, 1983; 杨弘远, 1986, 1988; 于明明等, 2009; 王文婧等, 2011; 赵林姝等, 2014; 任媛媛和朱炎, 2017), 但在这些透明体系中并未提出标准化的透明效果评价方案.之前对于胚珠和叶片透明体系的研究是以能够清晰地观察到细胞轮廓作为唯一的评价标准(李彦坤等, 2011; 赵林姝等, 2014; Ursache et al., 2018).相比于叶片, 根尖细胞在胞外渗透压升高时, 胞内膨压降低幅度较大, 使细胞更容易发生质壁分离, 甚至引起根尖整体形态异常(Itoh et al., 1987; Shabala et al., 2000; Shabala and Lew, 2002; Lang et al., 2014; Kim et al., 2018).透明液恰恰形成了一个高渗的胞外环境, 这在以往的研究中经常被忽视(李彦坤等, 2011; Villani et al., 2013; 赵林姝等, 2014).因此, 本文针对透明后的根尖形态、细胞质壁分离情况和透明清晰度, 首次提出了评价拟南芥根尖透明体系的3个量化指标: 形态正常的根尖所占比例、伸长区表皮细胞质壁分离比例及QC细胞清晰的根尖所占比例.综合这三方面评价结果可以更加严谨、完善地对根尖整体透明方法进行分析和改良, 为脆弱组织材料的整体透明研究提供改进依据. ...

Cell elongation in Arabidopsis hypocotyls involves dynamic changes in cell wall thickness
1
2007

... 整体透明技术是研究植物内部形态结构的重要手段, 可以在不破坏整体结构的情况下对植物样品进行原位观察, 该技术已广泛应用于植物科学研究的诸多领域.植物整体样品之所以不透明, 是由于其组织中的水分、蛋白质、糖类和脂质等多种不同物质的折光系数不同, 当光线通过这些组分的时候会发生散射, 组织样品越厚, 散射就越强, 透射越少, 从而使光学观察受阻(Kurihara et al., 2015; 王培新等, 2016).整体透明技术的原理是利用某些具有高折射率的试剂处理待测样品, 使透射光通过样品时的散射减少, 光通量增加, 并降低球面色差, 以获得较高分辨率的图像(Haseloff, 2003); 此外, 高折射率的介质能够增加视野深度, 使更多层面上的图像进入聚焦平面, 从而达到组织样品透明的效果(Villani et al., 2013).虽然提高透明剂的浓度可以改善透明效果, 但由于透明剂(如水合三氯乙醛)能够改变透明液的渗透势和pH值, 从而对样品细胞形态的保持产生不利影响.因此, 根据材料性质选择适宜的透明液和透明方法是整体透明技术的关键.虽然目前已有多种透明液应用于植物组织透明研究, 但大多适用于叶片或胚珠等细胞壁较厚或液泡较少的组织材料(Lersten, 1986; 杨弘远, 1986, 1988; Liberato et al., 2005; 郝建华和强胜, 2007; 王文婧等, 2011; 赵林姝等, 2014; 任媛媛和朱炎, 2017).根尖作为一种不断保持分裂生长的组织, 细胞壁较薄, 使用现有的透明方法较难维持细胞形态, 造成透明效果的稳定性差(Richmond et al., 1980; Derbyshire et al., 2007; Li et al., 2010, 2013; Villani et al., 2013; 程蔚玲等, 2017; 李芳芳等, 2018), 不仅影响观察对象的清晰度, 还会造成根尖形态不正常和细胞发生质壁分离.虽然整体透明技术已广泛应用于模式植物根尖发育研究(Bougourd et al., 2000; Li et al., 2010, 2013; 程蔚玲等, 2017; 李芳芳等, 2018), 但如何在不影响根尖形态和细胞渗透势的前提下达到对根尖组织最优的透明观察效果, 仍需深入探索实践.本研究以拟南芥(Arabidopsis thaliana)为实验材料, 建立了根尖透明观察体系的评价标准, 即根尖形态是否正常、伸长区细胞是否发生质壁分离及静止中心细胞(QC细胞)的清晰度; 并利用这3个指标, 对透明时间、透明液成分配比和pH值3个要素进行改良, 优化出最适合拟南芥根尖的整体透明观察方法. ...

Role of the plasma membrane H+-ATPase in auxin-induced elongation growth: historical and new aspects
1
2003

... 目前, 已报道的透明液多以水合三氯乙醛为主要透明成分(Herr, 1993; Bougourd et al., 2000; 于明明等, 2009; Li et al., 2010, 2013; 任媛媛和朱炎, 2017).由于三氯乙醛是一种极性分子, 不能自由穿过细胞膜进入胞内, 透明时间的延长并不能够提高透明的清晰度, 反而会导致胞外水势降低, 细胞发生质壁分离.我们发现以5分钟作为透明时长, 能够在不影响透明效果的情况下, 避免根尖细胞发生严重的质壁分离.此外, 在总结前人研究的基础上, 通过降低透明液中三氯乙醛的浓度至0.63 g?mL-1, 显著减轻了拟南芥根尖伸长区表皮细胞的质壁分离程度.该浓度的三氯乙醛溶液对透明样品产生的折射率改变, 使被光学元件采集到的图像中, 根尖整体发育层次更加分明, 细胞边界更加清晰.完整的细胞壁能够提高细胞边界与周围图像的对比度, 直接决定着透明图像的清晰度.胞外pH值是调控细胞壁可塑性的关键因素, 进而影响细胞形态的完整性.已有研究表明, 在中性pH值时细胞壁的疏松度最低, 当pH值低于5.5时细胞壁的疏松度显著增加, 并且随着pH值的进一步降低, 细胞壁的疏松度持续增加(Hager, 2003; Janicka- Russak, 2011).但是, 现有的透明技术研究尚未见探讨透明液pH值是否对透明效果产生影响.基于此, 我们探究了透明液的原始pH值、拟南芥培养基常用pH值5.8和中性pH值7.2对根尖透明的影响, 发现中性pH7.2较pH5.8和原始pH值更好地保持了细胞边界的完整性, 也不会使根尖细胞发生明显的质壁分离. ...

Old botanical techniques for new microscopes
2
2003

... 整体透明技术是研究植物内部形态结构的重要手段, 可以在不破坏整体结构的情况下对植物样品进行原位观察, 该技术已广泛应用于植物科学研究的诸多领域.植物整体样品之所以不透明, 是由于其组织中的水分、蛋白质、糖类和脂质等多种不同物质的折光系数不同, 当光线通过这些组分的时候会发生散射, 组织样品越厚, 散射就越强, 透射越少, 从而使光学观察受阻(Kurihara et al., 2015; 王培新等, 2016).整体透明技术的原理是利用某些具有高折射率的试剂处理待测样品, 使透射光通过样品时的散射减少, 光通量增加, 并降低球面色差, 以获得较高分辨率的图像(Haseloff, 2003); 此外, 高折射率的介质能够增加视野深度, 使更多层面上的图像进入聚焦平面, 从而达到组织样品透明的效果(Villani et al., 2013).虽然提高透明剂的浓度可以改善透明效果, 但由于透明剂(如水合三氯乙醛)能够改变透明液的渗透势和pH值, 从而对样品细胞形态的保持产生不利影响.因此, 根据材料性质选择适宜的透明液和透明方法是整体透明技术的关键.虽然目前已有多种透明液应用于植物组织透明研究, 但大多适用于叶片或胚珠等细胞壁较厚或液泡较少的组织材料(Lersten, 1986; 杨弘远, 1986, 1988; Liberato et al., 2005; 郝建华和强胜, 2007; 王文婧等, 2011; 赵林姝等, 2014; 任媛媛和朱炎, 2017).根尖作为一种不断保持分裂生长的组织, 细胞壁较薄, 使用现有的透明方法较难维持细胞形态, 造成透明效果的稳定性差(Richmond et al., 1980; Derbyshire et al., 2007; Li et al., 2010, 2013; Villani et al., 2013; 程蔚玲等, 2017; 李芳芳等, 2018), 不仅影响观察对象的清晰度, 还会造成根尖形态不正常和细胞发生质壁分离.虽然整体透明技术已广泛应用于模式植物根尖发育研究(Bougourd et al., 2000; Li et al., 2010, 2013; 程蔚玲等, 2017; 李芳芳等, 2018), 但如何在不影响根尖形态和细胞渗透势的前提下达到对根尖组织最优的透明观察效果, 仍需深入探索实践.本研究以拟南芥(Arabidopsis thaliana)为实验材料, 建立了根尖透明观察体系的评价标准, 即根尖形态是否正常、伸长区细胞是否发生质壁分离及静止中心细胞(QC细胞)的清晰度; 并利用这3个指标, 对透明时间、透明液成分配比和pH值3个要素进行改良, 优化出最适合拟南芥根尖的整体透明观察方法. ...

... 三氯乙醛和甘油是透明液中的常用成分.三氯乙醛可以提高溶液的折射率, 其在甘油溶液中的折射率达1.428, 接近于玻璃的折射率1.550 (Haseloff, 2003; Villani et al., 2013).这种较高的折射率一方面有助于增大观察体系的数值孔径, 提高分辨率; 另一方面使样品内不同组分的折光率趋于统一, 降低了光线的散射, 提高了光通量.在透明液中加入甘油能够减缓临时装片中水分的蒸发, 防止透明液结晶化(Villani et al., 2013).虽然各种透明液的主要成分相似, 但是不同植物组织样品的整体透明方法不尽相同.目前, 针对胚珠和叶片的整体透明方法较为成熟, 已有Herr 41/2透明、Hoyer氏溶液透明和水杨酸甲酯透明等多种透明体系(Hoyer, 1882; Herr, 1971, 1993; Crane, 1978; Bruzzese and Hasan, 1983; 杨弘远, 1986, 1988; 于明明等, 2009; 王文婧等, 2011; 赵林姝等, 2014; 任媛媛和朱炎, 2017), 但在这些透明体系中并未提出标准化的透明效果评价方案.之前对于胚珠和叶片透明体系的研究是以能够清晰地观察到细胞轮廓作为唯一的评价标准(李彦坤等, 2011; 赵林姝等, 2014; Ursache et al., 2018).相比于叶片, 根尖细胞在胞外渗透压升高时, 胞内膨压降低幅度较大, 使细胞更容易发生质壁分离, 甚至引起根尖整体形态异常(Itoh et al., 1987; Shabala et al., 2000; Shabala and Lew, 2002; Lang et al., 2014; Kim et al., 2018).透明液恰恰形成了一个高渗的胞外环境, 这在以往的研究中经常被忽视(李彦坤等, 2011; Villani et al., 2013; 赵林姝等, 2014).因此, 本文针对透明后的根尖形态、细胞质壁分离情况和透明清晰度, 首次提出了评价拟南芥根尖透明体系的3个量化指标: 形态正常的根尖所占比例、伸长区表皮细胞质壁分离比例及QC细胞清晰的根尖所占比例.综合这三方面评价结果可以更加严谨、完善地对根尖整体透明方法进行分析和改良, 为脆弱组织材料的整体透明研究提供改进依据. ...

A new clearing-squash technique for the study of ovule development in angiosperms
1
1971

... 三氯乙醛和甘油是透明液中的常用成分.三氯乙醛可以提高溶液的折射率, 其在甘油溶液中的折射率达1.428, 接近于玻璃的折射率1.550 (Haseloff, 2003; Villani et al., 2013).这种较高的折射率一方面有助于增大观察体系的数值孔径, 提高分辨率; 另一方面使样品内不同组分的折光率趋于统一, 降低了光线的散射, 提高了光通量.在透明液中加入甘油能够减缓临时装片中水分的蒸发, 防止透明液结晶化(Villani et al., 2013).虽然各种透明液的主要成分相似, 但是不同植物组织样品的整体透明方法不尽相同.目前, 针对胚珠和叶片的整体透明方法较为成熟, 已有Herr 41/2透明、Hoyer氏溶液透明和水杨酸甲酯透明等多种透明体系(Hoyer, 1882; Herr, 1971, 1993; Crane, 1978; Bruzzese and Hasan, 1983; 杨弘远, 1986, 1988; 于明明等, 2009; 王文婧等, 2011; 赵林姝等, 2014; 任媛媛和朱炎, 2017), 但在这些透明体系中并未提出标准化的透明效果评价方案.之前对于胚珠和叶片透明体系的研究是以能够清晰地观察到细胞轮廓作为唯一的评价标准(李彦坤等, 2011; 赵林姝等, 2014; Ursache et al., 2018).相比于叶片, 根尖细胞在胞外渗透压升高时, 胞内膨压降低幅度较大, 使细胞更容易发生质壁分离, 甚至引起根尖整体形态异常(Itoh et al., 1987; Shabala et al., 2000; Shabala and Lew, 2002; Lang et al., 2014; Kim et al., 2018).透明液恰恰形成了一个高渗的胞外环境, 这在以往的研究中经常被忽视(李彦坤等, 2011; Villani et al., 2013; 赵林姝等, 2014).因此, 本文针对透明后的根尖形态、细胞质壁分离情况和透明清晰度, 首次提出了评价拟南芥根尖透明体系的3个量化指标: 形态正常的根尖所占比例、伸长区表皮细胞质壁分离比例及QC细胞清晰的根尖所占比例.综合这三方面评价结果可以更加严谨、完善地对根尖整体透明方法进行分析和改良, 为脆弱组织材料的整体透明研究提供改进依据. ...

Clearing techniques for the study of vascular plant tissues in whole structures and thick sections
2
1993

... 三氯乙醛和甘油是透明液中的常用成分.三氯乙醛可以提高溶液的折射率, 其在甘油溶液中的折射率达1.428, 接近于玻璃的折射率1.550 (Haseloff, 2003; Villani et al., 2013).这种较高的折射率一方面有助于增大观察体系的数值孔径, 提高分辨率; 另一方面使样品内不同组分的折光率趋于统一, 降低了光线的散射, 提高了光通量.在透明液中加入甘油能够减缓临时装片中水分的蒸发, 防止透明液结晶化(Villani et al., 2013).虽然各种透明液的主要成分相似, 但是不同植物组织样品的整体透明方法不尽相同.目前, 针对胚珠和叶片的整体透明方法较为成熟, 已有Herr 41/2透明、Hoyer氏溶液透明和水杨酸甲酯透明等多种透明体系(Hoyer, 1882; Herr, 1971, 1993; Crane, 1978; Bruzzese and Hasan, 1983; 杨弘远, 1986, 1988; 于明明等, 2009; 王文婧等, 2011; 赵林姝等, 2014; 任媛媛和朱炎, 2017), 但在这些透明体系中并未提出标准化的透明效果评价方案.之前对于胚珠和叶片透明体系的研究是以能够清晰地观察到细胞轮廓作为唯一的评价标准(李彦坤等, 2011; 赵林姝等, 2014; Ursache et al., 2018).相比于叶片, 根尖细胞在胞外渗透压升高时, 胞内膨压降低幅度较大, 使细胞更容易发生质壁分离, 甚至引起根尖整体形态异常(Itoh et al., 1987; Shabala et al., 2000; Shabala and Lew, 2002; Lang et al., 2014; Kim et al., 2018).透明液恰恰形成了一个高渗的胞外环境, 这在以往的研究中经常被忽视(李彦坤等, 2011; Villani et al., 2013; 赵林姝等, 2014).因此, 本文针对透明后的根尖形态、细胞质壁分离情况和透明清晰度, 首次提出了评价拟南芥根尖透明体系的3个量化指标: 形态正常的根尖所占比例、伸长区表皮细胞质壁分离比例及QC细胞清晰的根尖所占比例.综合这三方面评价结果可以更加严谨、完善地对根尖整体透明方法进行分析和改良, 为脆弱组织材料的整体透明研究提供改进依据. ...

... 目前, 已报道的透明液多以水合三氯乙醛为主要透明成分(Herr, 1993; Bougourd et al., 2000; 于明明等, 2009; Li et al., 2010, 2013; 任媛媛和朱炎, 2017).由于三氯乙醛是一种极性分子, 不能自由穿过细胞膜进入胞内, 透明时间的延长并不能够提高透明的清晰度, 反而会导致胞外水势降低, 细胞发生质壁分离.我们发现以5分钟作为透明时长, 能够在不影响透明效果的情况下, 避免根尖细胞发生严重的质壁分离.此外, 在总结前人研究的基础上, 通过降低透明液中三氯乙醛的浓度至0.63 g?mL-1, 显著减轻了拟南芥根尖伸长区表皮细胞的质壁分离程度.该浓度的三氯乙醛溶液对透明样品产生的折射率改变, 使被光学元件采集到的图像中, 根尖整体发育层次更加分明, 细胞边界更加清晰.完整的细胞壁能够提高细胞边界与周围图像的对比度, 直接决定着透明图像的清晰度.胞外pH值是调控细胞壁可塑性的关键因素, 进而影响细胞形态的完整性.已有研究表明, 在中性pH值时细胞壁的疏松度最低, 当pH值低于5.5时细胞壁的疏松度显著增加, 并且随着pH值的进一步降低, 细胞壁的疏松度持续增加(Hager, 2003; Janicka- Russak, 2011).但是, 现有的透明技术研究尚未见探讨透明液pH值是否对透明效果产生影响.基于此, 我们探究了透明液的原始pH值、拟南芥培养基常用pH值5.8和中性pH值7.2对根尖透明的影响, 发现中性pH7.2较pH5.8和原始pH值更好地保持了细胞边界的完整性, 也不会使根尖细胞发生明显的质壁分离. ...

Beitr?ge zur histologischen Technik. 3. Einschlussflüssigkeiten
1
1882

... 三氯乙醛和甘油是透明液中的常用成分.三氯乙醛可以提高溶液的折射率, 其在甘油溶液中的折射率达1.428, 接近于玻璃的折射率1.550 (Haseloff, 2003; Villani et al., 2013).这种较高的折射率一方面有助于增大观察体系的数值孔径, 提高分辨率; 另一方面使样品内不同组分的折光率趋于统一, 降低了光线的散射, 提高了光通量.在透明液中加入甘油能够减缓临时装片中水分的蒸发, 防止透明液结晶化(Villani et al., 2013).虽然各种透明液的主要成分相似, 但是不同植物组织样品的整体透明方法不尽相同.目前, 针对胚珠和叶片的整体透明方法较为成熟, 已有Herr 41/2透明、Hoyer氏溶液透明和水杨酸甲酯透明等多种透明体系(Hoyer, 1882; Herr, 1971, 1993; Crane, 1978; Bruzzese and Hasan, 1983; 杨弘远, 1986, 1988; 于明明等, 2009; 王文婧等, 2011; 赵林姝等, 2014; 任媛媛和朱炎, 2017), 但在这些透明体系中并未提出标准化的透明效果评价方案.之前对于胚珠和叶片透明体系的研究是以能够清晰地观察到细胞轮廓作为唯一的评价标准(李彦坤等, 2011; 赵林姝等, 2014; Ursache et al., 2018).相比于叶片, 根尖细胞在胞外渗透压升高时, 胞内膨压降低幅度较大, 使细胞更容易发生质壁分离, 甚至引起根尖整体形态异常(Itoh et al., 1987; Shabala et al., 2000; Shabala and Lew, 2002; Lang et al., 2014; Kim et al., 2018).透明液恰恰形成了一个高渗的胞外环境, 这在以往的研究中经常被忽视(李彦坤等, 2011; Villani et al., 2013; 赵林姝等, 2014).因此, 本文针对透明后的根尖形态、细胞质壁分离情况和透明清晰度, 首次提出了评价拟南芥根尖透明体系的3个量化指标: 形态正常的根尖所占比例、伸长区表皮细胞质壁分离比例及QC细胞清晰的根尖所占比例.综合这三方面评价结果可以更加严谨、完善地对根尖整体透明方法进行分析和改良, 为脆弱组织材料的整体透明研究提供改进依据. ...

Effect of osmotic stress on turgor pressure in mung bean root cells
1
1987

... 三氯乙醛和甘油是透明液中的常用成分.三氯乙醛可以提高溶液的折射率, 其在甘油溶液中的折射率达1.428, 接近于玻璃的折射率1.550 (Haseloff, 2003; Villani et al., 2013).这种较高的折射率一方面有助于增大观察体系的数值孔径, 提高分辨率; 另一方面使样品内不同组分的折光率趋于统一, 降低了光线的散射, 提高了光通量.在透明液中加入甘油能够减缓临时装片中水分的蒸发, 防止透明液结晶化(Villani et al., 2013).虽然各种透明液的主要成分相似, 但是不同植物组织样品的整体透明方法不尽相同.目前, 针对胚珠和叶片的整体透明方法较为成熟, 已有Herr 41/2透明、Hoyer氏溶液透明和水杨酸甲酯透明等多种透明体系(Hoyer, 1882; Herr, 1971, 1993; Crane, 1978; Bruzzese and Hasan, 1983; 杨弘远, 1986, 1988; 于明明等, 2009; 王文婧等, 2011; 赵林姝等, 2014; 任媛媛和朱炎, 2017), 但在这些透明体系中并未提出标准化的透明效果评价方案.之前对于胚珠和叶片透明体系的研究是以能够清晰地观察到细胞轮廓作为唯一的评价标准(李彦坤等, 2011; 赵林姝等, 2014; Ursache et al., 2018).相比于叶片, 根尖细胞在胞外渗透压升高时, 胞内膨压降低幅度较大, 使细胞更容易发生质壁分离, 甚至引起根尖整体形态异常(Itoh et al., 1987; Shabala et al., 2000; Shabala and Lew, 2002; Lang et al., 2014; Kim et al., 2018).透明液恰恰形成了一个高渗的胞外环境, 这在以往的研究中经常被忽视(李彦坤等, 2011; Villani et al., 2013; 赵林姝等, 2014).因此, 本文针对透明后的根尖形态、细胞质壁分离情况和透明清晰度, 首次提出了评价拟南芥根尖透明体系的3个量化指标: 形态正常的根尖所占比例、伸长区表皮细胞质壁分离比例及QC细胞清晰的根尖所占比例.综合这三方面评价结果可以更加严谨、完善地对根尖整体透明方法进行分析和改良, 为脆弱组织材料的整体透明研究提供改进依据. ...

Longitudinal zonation pattern in plant roots: conflicts and solutions
1
2013

... 在植物的发育过程研究中, 经常需要对不同苗龄大小的根尖进行透明处理.理论上, 幼苗期的生长发育形成了拟南芥的初生结构, 在这一时期不同苗龄的根尖形态一样(Beemster and Baskin, 1998; Verbelen et al., 2006; Ivanov and Dubrovsky, 2013; Takatsuka and Umeda, 2014; Pavelescu et al., 2018).为了科学严谨地验证本文所筛选出的优选透明方案是否适合整体透明实验中常用的苗龄材料(如3至15日龄幼苗), 我们利用筛选到的透明液HCG-2 (pH7.2)对拟南芥3、9和15日龄幼苗根尖进行透明.结果(图8)表明, 3、9和15日龄幼苗在根尖形态和透明效果上无明显差异.因此, 对于根尖这一特定组织材料, 苗龄大小不会对透明产生不确定性影响.我们改良所得透明液HCG-2 (pH7.2)、透明5分钟的透明方案适用于不同苗龄拟南芥根尖的整体透明. ...

1
2011

... 目前, 已报道的透明液多以水合三氯乙醛为主要透明成分(Herr, 1993; Bougourd et al., 2000; 于明明等, 2009; Li et al., 2010, 2013; 任媛媛和朱炎, 2017).由于三氯乙醛是一种极性分子, 不能自由穿过细胞膜进入胞内, 透明时间的延长并不能够提高透明的清晰度, 反而会导致胞外水势降低, 细胞发生质壁分离.我们发现以5分钟作为透明时长, 能够在不影响透明效果的情况下, 避免根尖细胞发生严重的质壁分离.此外, 在总结前人研究的基础上, 通过降低透明液中三氯乙醛的浓度至0.63 g?mL-1, 显著减轻了拟南芥根尖伸长区表皮细胞的质壁分离程度.该浓度的三氯乙醛溶液对透明样品产生的折射率改变, 使被光学元件采集到的图像中, 根尖整体发育层次更加分明, 细胞边界更加清晰.完整的细胞壁能够提高细胞边界与周围图像的对比度, 直接决定着透明图像的清晰度.胞外pH值是调控细胞壁可塑性的关键因素, 进而影响细胞形态的完整性.已有研究表明, 在中性pH值时细胞壁的疏松度最低, 当pH值低于5.5时细胞壁的疏松度显著增加, 并且随着pH值的进一步降低, 细胞壁的疏松度持续增加(Hager, 2003; Janicka- Russak, 2011).但是, 现有的透明技术研究尚未见探讨透明液pH值是否对透明效果产生影响.基于此, 我们探究了透明液的原始pH值、拟南芥培养基常用pH值5.8和中性pH值7.2对根尖透明的影响, 发现中性pH7.2较pH5.8和原始pH值更好地保持了细胞边界的完整性, 也不会使根尖细胞发生明显的质壁分离. ...

The relationship between turgor pressure change and cell hydraulics of midrib parenchyma cells in the leaves of Zea mays
1
2018

... 三氯乙醛和甘油是透明液中的常用成分.三氯乙醛可以提高溶液的折射率, 其在甘油溶液中的折射率达1.428, 接近于玻璃的折射率1.550 (Haseloff, 2003; Villani et al., 2013).这种较高的折射率一方面有助于增大观察体系的数值孔径, 提高分辨率; 另一方面使样品内不同组分的折光率趋于统一, 降低了光线的散射, 提高了光通量.在透明液中加入甘油能够减缓临时装片中水分的蒸发, 防止透明液结晶化(Villani et al., 2013).虽然各种透明液的主要成分相似, 但是不同植物组织样品的整体透明方法不尽相同.目前, 针对胚珠和叶片的整体透明方法较为成熟, 已有Herr 41/2透明、Hoyer氏溶液透明和水杨酸甲酯透明等多种透明体系(Hoyer, 1882; Herr, 1971, 1993; Crane, 1978; Bruzzese and Hasan, 1983; 杨弘远, 1986, 1988; 于明明等, 2009; 王文婧等, 2011; 赵林姝等, 2014; 任媛媛和朱炎, 2017), 但在这些透明体系中并未提出标准化的透明效果评价方案.之前对于胚珠和叶片透明体系的研究是以能够清晰地观察到细胞轮廓作为唯一的评价标准(李彦坤等, 2011; 赵林姝等, 2014; Ursache et al., 2018).相比于叶片, 根尖细胞在胞外渗透压升高时, 胞内膨压降低幅度较大, 使细胞更容易发生质壁分离, 甚至引起根尖整体形态异常(Itoh et al., 1987; Shabala et al., 2000; Shabala and Lew, 2002; Lang et al., 2014; Kim et al., 2018).透明液恰恰形成了一个高渗的胞外环境, 这在以往的研究中经常被忽视(李彦坤等, 2011; Villani et al., 2013; 赵林姝等, 2014).因此, 本文针对透明后的根尖形态、细胞质壁分离情况和透明清晰度, 首次提出了评价拟南芥根尖透明体系的3个量化指标: 形态正常的根尖所占比例、伸长区表皮细胞质壁分离比例及QC细胞清晰的根尖所占比例.综合这三方面评价结果可以更加严谨、完善地对根尖整体透明方法进行分析和改良, 为脆弱组织材料的整体透明研究提供改进依据. ...

ClearSee: a rapid optical clearing reagent for whole-plant fluorescence imaging
1
2015

... 整体透明技术是研究植物内部形态结构的重要手段, 可以在不破坏整体结构的情况下对植物样品进行原位观察, 该技术已广泛应用于植物科学研究的诸多领域.植物整体样品之所以不透明, 是由于其组织中的水分、蛋白质、糖类和脂质等多种不同物质的折光系数不同, 当光线通过这些组分的时候会发生散射, 组织样品越厚, 散射就越强, 透射越少, 从而使光学观察受阻(Kurihara et al., 2015; 王培新等, 2016).整体透明技术的原理是利用某些具有高折射率的试剂处理待测样品, 使透射光通过样品时的散射减少, 光通量增加, 并降低球面色差, 以获得较高分辨率的图像(Haseloff, 2003); 此外, 高折射率的介质能够增加视野深度, 使更多层面上的图像进入聚焦平面, 从而达到组织样品透明的效果(Villani et al., 2013).虽然提高透明剂的浓度可以改善透明效果, 但由于透明剂(如水合三氯乙醛)能够改变透明液的渗透势和pH值, 从而对样品细胞形态的保持产生不利影响.因此, 根据材料性质选择适宜的透明液和透明方法是整体透明技术的关键.虽然目前已有多种透明液应用于植物组织透明研究, 但大多适用于叶片或胚珠等细胞壁较厚或液泡较少的组织材料(Lersten, 1986; 杨弘远, 1986, 1988; Liberato et al., 2005; 郝建华和强胜, 2007; 王文婧等, 2011; 赵林姝等, 2014; 任媛媛和朱炎, 2017).根尖作为一种不断保持分裂生长的组织, 细胞壁较薄, 使用现有的透明方法较难维持细胞形态, 造成透明效果的稳定性差(Richmond et al., 1980; Derbyshire et al., 2007; Li et al., 2010, 2013; Villani et al., 2013; 程蔚玲等, 2017; 李芳芳等, 2018), 不仅影响观察对象的清晰度, 还会造成根尖形态不正常和细胞发生质壁分离.虽然整体透明技术已广泛应用于模式植物根尖发育研究(Bougourd et al., 2000; Li et al., 2010, 2013; 程蔚玲等, 2017; 李芳芳等, 2018), 但如何在不影响根尖形态和细胞渗透势的前提下达到对根尖组织最优的透明观察效果, 仍需深入探索实践.本研究以拟南芥(Arabidopsis thaliana)为实验材料, 建立了根尖透明观察体系的评价标准, 即根尖形态是否正常、伸长区细胞是否发生质壁分离及静止中心细胞(QC细胞)的清晰度; 并利用这3个指标, 对透明时间、透明液成分配比和pH值3个要素进行改良, 优化出最适合拟南芥根尖的整体透明观察方法. ...

Plasmolysis: loss of turgor and beyond
1
2014

... 三氯乙醛和甘油是透明液中的常用成分.三氯乙醛可以提高溶液的折射率, 其在甘油溶液中的折射率达1.428, 接近于玻璃的折射率1.550 (Haseloff, 2003; Villani et al., 2013).这种较高的折射率一方面有助于增大观察体系的数值孔径, 提高分辨率; 另一方面使样品内不同组分的折光率趋于统一, 降低了光线的散射, 提高了光通量.在透明液中加入甘油能够减缓临时装片中水分的蒸发, 防止透明液结晶化(Villani et al., 2013).虽然各种透明液的主要成分相似, 但是不同植物组织样品的整体透明方法不尽相同.目前, 针对胚珠和叶片的整体透明方法较为成熟, 已有Herr 41/2透明、Hoyer氏溶液透明和水杨酸甲酯透明等多种透明体系(Hoyer, 1882; Herr, 1971, 1993; Crane, 1978; Bruzzese and Hasan, 1983; 杨弘远, 1986, 1988; 于明明等, 2009; 王文婧等, 2011; 赵林姝等, 2014; 任媛媛和朱炎, 2017), 但在这些透明体系中并未提出标准化的透明效果评价方案.之前对于胚珠和叶片透明体系的研究是以能够清晰地观察到细胞轮廓作为唯一的评价标准(李彦坤等, 2011; 赵林姝等, 2014; Ursache et al., 2018).相比于叶片, 根尖细胞在胞外渗透压升高时, 胞内膨压降低幅度较大, 使细胞更容易发生质壁分离, 甚至引起根尖整体形态异常(Itoh et al., 1987; Shabala et al., 2000; Shabala and Lew, 2002; Lang et al., 2014; Kim et al., 2018).透明液恰恰形成了一个高渗的胞外环境, 这在以往的研究中经常被忽视(李彦坤等, 2011; Villani et al., 2013; 赵林姝等, 2014).因此, 本文针对透明后的根尖形态、细胞质壁分离情况和透明清晰度, 首次提出了评价拟南芥根尖透明体系的3个量化指标: 形态正常的根尖所占比例、伸长区表皮细胞质壁分离比例及QC细胞清晰的根尖所占比例.综合这三方面评价结果可以更加严谨、完善地对根尖整体透明方法进行分析和改良, 为脆弱组织材料的整体透明研究提供改进依据. ...

Modified clearing method to show sieve tubes in minor veins of leaves
1
1986

... 整体透明技术是研究植物内部形态结构的重要手段, 可以在不破坏整体结构的情况下对植物样品进行原位观察, 该技术已广泛应用于植物科学研究的诸多领域.植物整体样品之所以不透明, 是由于其组织中的水分、蛋白质、糖类和脂质等多种不同物质的折光系数不同, 当光线通过这些组分的时候会发生散射, 组织样品越厚, 散射就越强, 透射越少, 从而使光学观察受阻(Kurihara et al., 2015; 王培新等, 2016).整体透明技术的原理是利用某些具有高折射率的试剂处理待测样品, 使透射光通过样品时的散射减少, 光通量增加, 并降低球面色差, 以获得较高分辨率的图像(Haseloff, 2003); 此外, 高折射率的介质能够增加视野深度, 使更多层面上的图像进入聚焦平面, 从而达到组织样品透明的效果(Villani et al., 2013).虽然提高透明剂的浓度可以改善透明效果, 但由于透明剂(如水合三氯乙醛)能够改变透明液的渗透势和pH值, 从而对样品细胞形态的保持产生不利影响.因此, 根据材料性质选择适宜的透明液和透明方法是整体透明技术的关键.虽然目前已有多种透明液应用于植物组织透明研究, 但大多适用于叶片或胚珠等细胞壁较厚或液泡较少的组织材料(Lersten, 1986; 杨弘远, 1986, 1988; Liberato et al., 2005; 郝建华和强胜, 2007; 王文婧等, 2011; 赵林姝等, 2014; 任媛媛和朱炎, 2017).根尖作为一种不断保持分裂生长的组织, 细胞壁较薄, 使用现有的透明方法较难维持细胞形态, 造成透明效果的稳定性差(Richmond et al., 1980; Derbyshire et al., 2007; Li et al., 2010, 2013; Villani et al., 2013; 程蔚玲等, 2017; 李芳芳等, 2018), 不仅影响观察对象的清晰度, 还会造成根尖形态不正常和细胞发生质壁分离.虽然整体透明技术已广泛应用于模式植物根尖发育研究(Bougourd et al., 2000; Li et al., 2010, 2013; 程蔚玲等, 2017; 李芳芳等, 2018), 但如何在不影响根尖形态和细胞渗透势的前提下达到对根尖组织最优的透明观察效果, 仍需深入探索实践.本研究以拟南芥(Arabidopsis thaliana)为实验材料, 建立了根尖透明观察体系的评价标准, 即根尖形态是否正常、伸长区细胞是否发生质壁分离及静止中心细胞(QC细胞)的清晰度; 并利用这3个指标, 对透明时间、透明液成分配比和pH值3个要素进行改良, 优化出最适合拟南芥根尖的整体透明观察方法. ...

EXO70A1-mediated vesicle trafficking is critical for tracheary element development in Arabidopsis
3
2013

... 整体透明技术是研究植物内部形态结构的重要手段, 可以在不破坏整体结构的情况下对植物样品进行原位观察, 该技术已广泛应用于植物科学研究的诸多领域.植物整体样品之所以不透明, 是由于其组织中的水分、蛋白质、糖类和脂质等多种不同物质的折光系数不同, 当光线通过这些组分的时候会发生散射, 组织样品越厚, 散射就越强, 透射越少, 从而使光学观察受阻(Kurihara et al., 2015; 王培新等, 2016).整体透明技术的原理是利用某些具有高折射率的试剂处理待测样品, 使透射光通过样品时的散射减少, 光通量增加, 并降低球面色差, 以获得较高分辨率的图像(Haseloff, 2003); 此外, 高折射率的介质能够增加视野深度, 使更多层面上的图像进入聚焦平面, 从而达到组织样品透明的效果(Villani et al., 2013).虽然提高透明剂的浓度可以改善透明效果, 但由于透明剂(如水合三氯乙醛)能够改变透明液的渗透势和pH值, 从而对样品细胞形态的保持产生不利影响.因此, 根据材料性质选择适宜的透明液和透明方法是整体透明技术的关键.虽然目前已有多种透明液应用于植物组织透明研究, 但大多适用于叶片或胚珠等细胞壁较厚或液泡较少的组织材料(Lersten, 1986; 杨弘远, 1986, 1988; Liberato et al., 2005; 郝建华和强胜, 2007; 王文婧等, 2011; 赵林姝等, 2014; 任媛媛和朱炎, 2017).根尖作为一种不断保持分裂生长的组织, 细胞壁较薄, 使用现有的透明方法较难维持细胞形态, 造成透明效果的稳定性差(Richmond et al., 1980; Derbyshire et al., 2007; Li et al., 2010, 2013; Villani et al., 2013; 程蔚玲等, 2017; 李芳芳等, 2018), 不仅影响观察对象的清晰度, 还会造成根尖形态不正常和细胞发生质壁分离.虽然整体透明技术已广泛应用于模式植物根尖发育研究(Bougourd et al., 2000; Li et al., 2010, 2013; 程蔚玲等, 2017; 李芳芳等, 2018), 但如何在不影响根尖形态和细胞渗透势的前提下达到对根尖组织最优的透明观察效果, 仍需深入探索实践.本研究以拟南芥(Arabidopsis thaliana)为实验材料, 建立了根尖透明观察体系的评价标准, 即根尖形态是否正常、伸长区细胞是否发生质壁分离及静止中心细胞(QC细胞)的清晰度; 并利用这3个指标, 对透明时间、透明液成分配比和pH值3个要素进行改良, 优化出最适合拟南芥根尖的整体透明观察方法. ...

... , 2013; 程蔚玲等, 2017; 李芳芳等, 2018), 但如何在不影响根尖形态和细胞渗透势的前提下达到对根尖组织最优的透明观察效果, 仍需深入探索实践.本研究以拟南芥(Arabidopsis thaliana)为实验材料, 建立了根尖透明观察体系的评价标准, 即根尖形态是否正常、伸长区细胞是否发生质壁分离及静止中心细胞(QC细胞)的清晰度; 并利用这3个指标, 对透明时间、透明液成分配比和pH值3个要素进行改良, 优化出最适合拟南芥根尖的整体透明观察方法. ...

... 目前, 已报道的透明液多以水合三氯乙醛为主要透明成分(Herr, 1993; Bougourd et al., 2000; 于明明等, 2009; Li et al., 2010, 2013; 任媛媛和朱炎, 2017).由于三氯乙醛是一种极性分子, 不能自由穿过细胞膜进入胞内, 透明时间的延长并不能够提高透明的清晰度, 反而会导致胞外水势降低, 细胞发生质壁分离.我们发现以5分钟作为透明时长, 能够在不影响透明效果的情况下, 避免根尖细胞发生严重的质壁分离.此外, 在总结前人研究的基础上, 通过降低透明液中三氯乙醛的浓度至0.63 g?mL-1, 显著减轻了拟南芥根尖伸长区表皮细胞的质壁分离程度.该浓度的三氯乙醛溶液对透明样品产生的折射率改变, 使被光学元件采集到的图像中, 根尖整体发育层次更加分明, 细胞边界更加清晰.完整的细胞壁能够提高细胞边界与周围图像的对比度, 直接决定着透明图像的清晰度.胞外pH值是调控细胞壁可塑性的关键因素, 进而影响细胞形态的完整性.已有研究表明, 在中性pH值时细胞壁的疏松度最低, 当pH值低于5.5时细胞壁的疏松度显著增加, 并且随着pH值的进一步降低, 细胞壁的疏松度持续增加(Hager, 2003; Janicka- Russak, 2011).但是, 现有的透明技术研究尚未见探讨透明液pH值是否对透明效果产生影响.基于此, 我们探究了透明液的原始pH值、拟南芥培养基常用pH值5.8和中性pH值7.2对根尖透明的影响, 发现中性pH7.2较pH5.8和原始pH值更好地保持了细胞边界的完整性, 也不会使根尖细胞发生明显的质壁分离. ...

Expression and functional analyses of EXO70 genes in Arabidopsis implicate their roles in regulating cell type-specific exocytosis
3
2010

... 整体透明技术是研究植物内部形态结构的重要手段, 可以在不破坏整体结构的情况下对植物样品进行原位观察, 该技术已广泛应用于植物科学研究的诸多领域.植物整体样品之所以不透明, 是由于其组织中的水分、蛋白质、糖类和脂质等多种不同物质的折光系数不同, 当光线通过这些组分的时候会发生散射, 组织样品越厚, 散射就越强, 透射越少, 从而使光学观察受阻(Kurihara et al., 2015; 王培新等, 2016).整体透明技术的原理是利用某些具有高折射率的试剂处理待测样品, 使透射光通过样品时的散射减少, 光通量增加, 并降低球面色差, 以获得较高分辨率的图像(Haseloff, 2003); 此外, 高折射率的介质能够增加视野深度, 使更多层面上的图像进入聚焦平面, 从而达到组织样品透明的效果(Villani et al., 2013).虽然提高透明剂的浓度可以改善透明效果, 但由于透明剂(如水合三氯乙醛)能够改变透明液的渗透势和pH值, 从而对样品细胞形态的保持产生不利影响.因此, 根据材料性质选择适宜的透明液和透明方法是整体透明技术的关键.虽然目前已有多种透明液应用于植物组织透明研究, 但大多适用于叶片或胚珠等细胞壁较厚或液泡较少的组织材料(Lersten, 1986; 杨弘远, 1986, 1988; Liberato et al., 2005; 郝建华和强胜, 2007; 王文婧等, 2011; 赵林姝等, 2014; 任媛媛和朱炎, 2017).根尖作为一种不断保持分裂生长的组织, 细胞壁较薄, 使用现有的透明方法较难维持细胞形态, 造成透明效果的稳定性差(Richmond et al., 1980; Derbyshire et al., 2007; Li et al., 2010, 2013; Villani et al., 2013; 程蔚玲等, 2017; 李芳芳等, 2018), 不仅影响观察对象的清晰度, 还会造成根尖形态不正常和细胞发生质壁分离.虽然整体透明技术已广泛应用于模式植物根尖发育研究(Bougourd et al., 2000; Li et al., 2010, 2013; 程蔚玲等, 2017; 李芳芳等, 2018), 但如何在不影响根尖形态和细胞渗透势的前提下达到对根尖组织最优的透明观察效果, 仍需深入探索实践.本研究以拟南芥(Arabidopsis thaliana)为实验材料, 建立了根尖透明观察体系的评价标准, 即根尖形态是否正常、伸长区细胞是否发生质壁分离及静止中心细胞(QC细胞)的清晰度; 并利用这3个指标, 对透明时间、透明液成分配比和pH值3个要素进行改良, 优化出最适合拟南芥根尖的整体透明观察方法. ...

... ; Li et al., 2010, 2013; 程蔚玲等, 2017; 李芳芳等, 2018), 但如何在不影响根尖形态和细胞渗透势的前提下达到对根尖组织最优的透明观察效果, 仍需深入探索实践.本研究以拟南芥(Arabidopsis thaliana)为实验材料, 建立了根尖透明观察体系的评价标准, 即根尖形态是否正常、伸长区细胞是否发生质壁分离及静止中心细胞(QC细胞)的清晰度; 并利用这3个指标, 对透明时间、透明液成分配比和pH值3个要素进行改良, 优化出最适合拟南芥根尖的整体透明观察方法. ...

... 目前, 已报道的透明液多以水合三氯乙醛为主要透明成分(Herr, 1993; Bougourd et al., 2000; 于明明等, 2009; Li et al., 2010, 2013; 任媛媛和朱炎, 2017).由于三氯乙醛是一种极性分子, 不能自由穿过细胞膜进入胞内, 透明时间的延长并不能够提高透明的清晰度, 反而会导致胞外水势降低, 细胞发生质壁分离.我们发现以5分钟作为透明时长, 能够在不影响透明效果的情况下, 避免根尖细胞发生严重的质壁分离.此外, 在总结前人研究的基础上, 通过降低透明液中三氯乙醛的浓度至0.63 g?mL-1, 显著减轻了拟南芥根尖伸长区表皮细胞的质壁分离程度.该浓度的三氯乙醛溶液对透明样品产生的折射率改变, 使被光学元件采集到的图像中, 根尖整体发育层次更加分明, 细胞边界更加清晰.完整的细胞壁能够提高细胞边界与周围图像的对比度, 直接决定着透明图像的清晰度.胞外pH值是调控细胞壁可塑性的关键因素, 进而影响细胞形态的完整性.已有研究表明, 在中性pH值时细胞壁的疏松度最低, 当pH值低于5.5时细胞壁的疏松度显著增加, 并且随着pH值的进一步降低, 细胞壁的疏松度持续增加(Hager, 2003; Janicka- Russak, 2011).但是, 现有的透明技术研究尚未见探讨透明液pH值是否对透明效果产生影响.基于此, 我们探究了透明液的原始pH值、拟南芥培养基常用pH值5.8和中性pH值7.2对根尖透明的影响, 发现中性pH7.2较pH5.8和原始pH值更好地保持了细胞边界的完整性, 也不会使根尖细胞发生明显的质壁分离. ...

Leaf-clearing and staining techniques for the observation of conidiophores in the Phyllactinioideae (Erysiphaceae)
1
2005

... 整体透明技术是研究植物内部形态结构的重要手段, 可以在不破坏整体结构的情况下对植物样品进行原位观察, 该技术已广泛应用于植物科学研究的诸多领域.植物整体样品之所以不透明, 是由于其组织中的水分、蛋白质、糖类和脂质等多种不同物质的折光系数不同, 当光线通过这些组分的时候会发生散射, 组织样品越厚, 散射就越强, 透射越少, 从而使光学观察受阻(Kurihara et al., 2015; 王培新等, 2016).整体透明技术的原理是利用某些具有高折射率的试剂处理待测样品, 使透射光通过样品时的散射减少, 光通量增加, 并降低球面色差, 以获得较高分辨率的图像(Haseloff, 2003); 此外, 高折射率的介质能够增加视野深度, 使更多层面上的图像进入聚焦平面, 从而达到组织样品透明的效果(Villani et al., 2013).虽然提高透明剂的浓度可以改善透明效果, 但由于透明剂(如水合三氯乙醛)能够改变透明液的渗透势和pH值, 从而对样品细胞形态的保持产生不利影响.因此, 根据材料性质选择适宜的透明液和透明方法是整体透明技术的关键.虽然目前已有多种透明液应用于植物组织透明研究, 但大多适用于叶片或胚珠等细胞壁较厚或液泡较少的组织材料(Lersten, 1986; 杨弘远, 1986, 1988; Liberato et al., 2005; 郝建华和强胜, 2007; 王文婧等, 2011; 赵林姝等, 2014; 任媛媛和朱炎, 2017).根尖作为一种不断保持分裂生长的组织, 细胞壁较薄, 使用现有的透明方法较难维持细胞形态, 造成透明效果的稳定性差(Richmond et al., 1980; Derbyshire et al., 2007; Li et al., 2010, 2013; Villani et al., 2013; 程蔚玲等, 2017; 李芳芳等, 2018), 不仅影响观察对象的清晰度, 还会造成根尖形态不正常和细胞发生质壁分离.虽然整体透明技术已广泛应用于模式植物根尖发育研究(Bougourd et al., 2000; Li et al., 2010, 2013; 程蔚玲等, 2017; 李芳芳等, 2018), 但如何在不影响根尖形态和细胞渗透势的前提下达到对根尖组织最优的透明观察效果, 仍需深入探索实践.本研究以拟南芥(Arabidopsis thaliana)为实验材料, 建立了根尖透明观察体系的评价标准, 即根尖形态是否正常、伸长区细胞是否发生质壁分离及静止中心细胞(QC细胞)的清晰度; 并利用这3个指标, 对透明时间、透明液成分配比和pH值3个要素进行改良, 优化出最适合拟南芥根尖的整体透明观察方法. ...

A Sizer model for cell differentiation in Arabidopsis thaliana root growth
1
2018

... 在植物的发育过程研究中, 经常需要对不同苗龄大小的根尖进行透明处理.理论上, 幼苗期的生长发育形成了拟南芥的初生结构, 在这一时期不同苗龄的根尖形态一样(Beemster and Baskin, 1998; Verbelen et al., 2006; Ivanov and Dubrovsky, 2013; Takatsuka and Umeda, 2014; Pavelescu et al., 2018).为了科学严谨地验证本文所筛选出的优选透明方案是否适合整体透明实验中常用的苗龄材料(如3至15日龄幼苗), 我们利用筛选到的透明液HCG-2 (pH7.2)对拟南芥3、9和15日龄幼苗根尖进行透明.结果(图8)表明, 3、9和15日龄幼苗在根尖形态和透明效果上无明显差异.因此, 对于根尖这一特定组织材料, 苗龄大小不会对透明产生不确定性影响.我们改良所得透明液HCG-2 (pH7.2)、透明5分钟的透明方案适用于不同苗龄拟南芥根尖的整体透明. ...

Cell expansion patterns and directionality of wall mechanical properties in Nitella
1
1980

... 整体透明技术是研究植物内部形态结构的重要手段, 可以在不破坏整体结构的情况下对植物样品进行原位观察, 该技术已广泛应用于植物科学研究的诸多领域.植物整体样品之所以不透明, 是由于其组织中的水分、蛋白质、糖类和脂质等多种不同物质的折光系数不同, 当光线通过这些组分的时候会发生散射, 组织样品越厚, 散射就越强, 透射越少, 从而使光学观察受阻(Kurihara et al., 2015; 王培新等, 2016).整体透明技术的原理是利用某些具有高折射率的试剂处理待测样品, 使透射光通过样品时的散射减少, 光通量增加, 并降低球面色差, 以获得较高分辨率的图像(Haseloff, 2003); 此外, 高折射率的介质能够增加视野深度, 使更多层面上的图像进入聚焦平面, 从而达到组织样品透明的效果(Villani et al., 2013).虽然提高透明剂的浓度可以改善透明效果, 但由于透明剂(如水合三氯乙醛)能够改变透明液的渗透势和pH值, 从而对样品细胞形态的保持产生不利影响.因此, 根据材料性质选择适宜的透明液和透明方法是整体透明技术的关键.虽然目前已有多种透明液应用于植物组织透明研究, 但大多适用于叶片或胚珠等细胞壁较厚或液泡较少的组织材料(Lersten, 1986; 杨弘远, 1986, 1988; Liberato et al., 2005; 郝建华和强胜, 2007; 王文婧等, 2011; 赵林姝等, 2014; 任媛媛和朱炎, 2017).根尖作为一种不断保持分裂生长的组织, 细胞壁较薄, 使用现有的透明方法较难维持细胞形态, 造成透明效果的稳定性差(Richmond et al., 1980; Derbyshire et al., 2007; Li et al., 2010, 2013; Villani et al., 2013; 程蔚玲等, 2017; 李芳芳等, 2018), 不仅影响观察对象的清晰度, 还会造成根尖形态不正常和细胞发生质壁分离.虽然整体透明技术已广泛应用于模式植物根尖发育研究(Bougourd et al., 2000; Li et al., 2010, 2013; 程蔚玲等, 2017; 李芳芳等, 2018), 但如何在不影响根尖形态和细胞渗透势的前提下达到对根尖组织最优的透明观察效果, 仍需深入探索实践.本研究以拟南芥(Arabidopsis thaliana)为实验材料, 建立了根尖透明观察体系的评价标准, 即根尖形态是否正常、伸长区细胞是否发生质壁分离及静止中心细胞(QC细胞)的清晰度; 并利用这3个指标, 对透明时间、透明液成分配比和pH值3个要素进行改良, 优化出最适合拟南芥根尖的整体透明观察方法. ...

Ion-specific mechanisms of osmoregulation in bean mesophyll cells
1
2000

... 三氯乙醛和甘油是透明液中的常用成分.三氯乙醛可以提高溶液的折射率, 其在甘油溶液中的折射率达1.428, 接近于玻璃的折射率1.550 (Haseloff, 2003; Villani et al., 2013).这种较高的折射率一方面有助于增大观察体系的数值孔径, 提高分辨率; 另一方面使样品内不同组分的折光率趋于统一, 降低了光线的散射, 提高了光通量.在透明液中加入甘油能够减缓临时装片中水分的蒸发, 防止透明液结晶化(Villani et al., 2013).虽然各种透明液的主要成分相似, 但是不同植物组织样品的整体透明方法不尽相同.目前, 针对胚珠和叶片的整体透明方法较为成熟, 已有Herr 41/2透明、Hoyer氏溶液透明和水杨酸甲酯透明等多种透明体系(Hoyer, 1882; Herr, 1971, 1993; Crane, 1978; Bruzzese and Hasan, 1983; 杨弘远, 1986, 1988; 于明明等, 2009; 王文婧等, 2011; 赵林姝等, 2014; 任媛媛和朱炎, 2017), 但在这些透明体系中并未提出标准化的透明效果评价方案.之前对于胚珠和叶片透明体系的研究是以能够清晰地观察到细胞轮廓作为唯一的评价标准(李彦坤等, 2011; 赵林姝等, 2014; Ursache et al., 2018).相比于叶片, 根尖细胞在胞外渗透压升高时, 胞内膨压降低幅度较大, 使细胞更容易发生质壁分离, 甚至引起根尖整体形态异常(Itoh et al., 1987; Shabala et al., 2000; Shabala and Lew, 2002; Lang et al., 2014; Kim et al., 2018).透明液恰恰形成了一个高渗的胞外环境, 这在以往的研究中经常被忽视(李彦坤等, 2011; Villani et al., 2013; 赵林姝等, 2014).因此, 本文针对透明后的根尖形态、细胞质壁分离情况和透明清晰度, 首次提出了评价拟南芥根尖透明体系的3个量化指标: 形态正常的根尖所占比例、伸长区表皮细胞质壁分离比例及QC细胞清晰的根尖所占比例.综合这三方面评价结果可以更加严谨、完善地对根尖整体透明方法进行分析和改良, 为脆弱组织材料的整体透明研究提供改进依据. ...

Turgor regulation in osmotically stressed Arabidopsis epidermal root cells. Direct support for the role of inorganic ion uptake as revealed by concurrent flux and cell turgor measurements
1
2002

... 三氯乙醛和甘油是透明液中的常用成分.三氯乙醛可以提高溶液的折射率, 其在甘油溶液中的折射率达1.428, 接近于玻璃的折射率1.550 (Haseloff, 2003; Villani et al., 2013).这种较高的折射率一方面有助于增大观察体系的数值孔径, 提高分辨率; 另一方面使样品内不同组分的折光率趋于统一, 降低了光线的散射, 提高了光通量.在透明液中加入甘油能够减缓临时装片中水分的蒸发, 防止透明液结晶化(Villani et al., 2013).虽然各种透明液的主要成分相似, 但是不同植物组织样品的整体透明方法不尽相同.目前, 针对胚珠和叶片的整体透明方法较为成熟, 已有Herr 41/2透明、Hoyer氏溶液透明和水杨酸甲酯透明等多种透明体系(Hoyer, 1882; Herr, 1971, 1993; Crane, 1978; Bruzzese and Hasan, 1983; 杨弘远, 1986, 1988; 于明明等, 2009; 王文婧等, 2011; 赵林姝等, 2014; 任媛媛和朱炎, 2017), 但在这些透明体系中并未提出标准化的透明效果评价方案.之前对于胚珠和叶片透明体系的研究是以能够清晰地观察到细胞轮廓作为唯一的评价标准(李彦坤等, 2011; 赵林姝等, 2014; Ursache et al., 2018).相比于叶片, 根尖细胞在胞外渗透压升高时, 胞内膨压降低幅度较大, 使细胞更容易发生质壁分离, 甚至引起根尖整体形态异常(Itoh et al., 1987; Shabala et al., 2000; Shabala and Lew, 2002; Lang et al., 2014; Kim et al., 2018).透明液恰恰形成了一个高渗的胞外环境, 这在以往的研究中经常被忽视(李彦坤等, 2011; Villani et al., 2013; 赵林姝等, 2014).因此, 本文针对透明后的根尖形态、细胞质壁分离情况和透明清晰度, 首次提出了评价拟南芥根尖透明体系的3个量化指标: 形态正常的根尖所占比例、伸长区表皮细胞质壁分离比例及QC细胞清晰的根尖所占比例.综合这三方面评价结果可以更加严谨、完善地对根尖整体透明方法进行分析和改良, 为脆弱组织材料的整体透明研究提供改进依据. ...

Hormonal control of cell division and elongation along differentiation trajectories in roots
1
2014

... 在植物的发育过程研究中, 经常需要对不同苗龄大小的根尖进行透明处理.理论上, 幼苗期的生长发育形成了拟南芥的初生结构, 在这一时期不同苗龄的根尖形态一样(Beemster and Baskin, 1998; Verbelen et al., 2006; Ivanov and Dubrovsky, 2013; Takatsuka and Umeda, 2014; Pavelescu et al., 2018).为了科学严谨地验证本文所筛选出的优选透明方案是否适合整体透明实验中常用的苗龄材料(如3至15日龄幼苗), 我们利用筛选到的透明液HCG-2 (pH7.2)对拟南芥3、9和15日龄幼苗根尖进行透明.结果(图8)表明, 3、9和15日龄幼苗在根尖形态和透明效果上无明显差异.因此, 对于根尖这一特定组织材料, 苗龄大小不会对透明产生不确定性影响.我们改良所得透明液HCG-2 (pH7.2)、透明5分钟的透明方案适用于不同苗龄拟南芥根尖的整体透明. ...

A protocol for combining fluorescent proteins with histological stains for diverse cell wall components
1
2018

... 三氯乙醛和甘油是透明液中的常用成分.三氯乙醛可以提高溶液的折射率, 其在甘油溶液中的折射率达1.428, 接近于玻璃的折射率1.550 (Haseloff, 2003; Villani et al., 2013).这种较高的折射率一方面有助于增大观察体系的数值孔径, 提高分辨率; 另一方面使样品内不同组分的折光率趋于统一, 降低了光线的散射, 提高了光通量.在透明液中加入甘油能够减缓临时装片中水分的蒸发, 防止透明液结晶化(Villani et al., 2013).虽然各种透明液的主要成分相似, 但是不同植物组织样品的整体透明方法不尽相同.目前, 针对胚珠和叶片的整体透明方法较为成熟, 已有Herr 41/2透明、Hoyer氏溶液透明和水杨酸甲酯透明等多种透明体系(Hoyer, 1882; Herr, 1971, 1993; Crane, 1978; Bruzzese and Hasan, 1983; 杨弘远, 1986, 1988; 于明明等, 2009; 王文婧等, 2011; 赵林姝等, 2014; 任媛媛和朱炎, 2017), 但在这些透明体系中并未提出标准化的透明效果评价方案.之前对于胚珠和叶片透明体系的研究是以能够清晰地观察到细胞轮廓作为唯一的评价标准(李彦坤等, 2011; 赵林姝等, 2014; Ursache et al., 2018).相比于叶片, 根尖细胞在胞外渗透压升高时, 胞内膨压降低幅度较大, 使细胞更容易发生质壁分离, 甚至引起根尖整体形态异常(Itoh et al., 1987; Shabala et al., 2000; Shabala and Lew, 2002; Lang et al., 2014; Kim et al., 2018).透明液恰恰形成了一个高渗的胞外环境, 这在以往的研究中经常被忽视(李彦坤等, 2011; Villani et al., 2013; 赵林姝等, 2014).因此, 本文针对透明后的根尖形态、细胞质壁分离情况和透明清晰度, 首次提出了评价拟南芥根尖透明体系的3个量化指标: 形态正常的根尖所占比例、伸长区表皮细胞质壁分离比例及QC细胞清晰的根尖所占比例.综合这三方面评价结果可以更加严谨、完善地对根尖整体透明方法进行分析和改良, 为脆弱组织材料的整体透明研究提供改进依据. ...

The root apex of Arabidopsis thaliana consists of four distinct zones of growth activities
1
2006

... 在植物的发育过程研究中, 经常需要对不同苗龄大小的根尖进行透明处理.理论上, 幼苗期的生长发育形成了拟南芥的初生结构, 在这一时期不同苗龄的根尖形态一样(Beemster and Baskin, 1998; Verbelen et al., 2006; Ivanov and Dubrovsky, 2013; Takatsuka and Umeda, 2014; Pavelescu et al., 2018).为了科学严谨地验证本文所筛选出的优选透明方案是否适合整体透明实验中常用的苗龄材料(如3至15日龄幼苗), 我们利用筛选到的透明液HCG-2 (pH7.2)对拟南芥3、9和15日龄幼苗根尖进行透明.结果(图8)表明, 3、9和15日龄幼苗在根尖形态和透明效果上无明显差异.因此, 对于根尖这一特定组织材料, 苗龄大小不会对透明产生不确定性影响.我们改良所得透明液HCG-2 (pH7.2)、透明5分钟的透明方案适用于不同苗龄拟南芥根尖的整体透明. ...

An improved clearing and mounting solution to replace chloral hydrate in microscopic applications
5
2013

... 整体透明技术是研究植物内部形态结构的重要手段, 可以在不破坏整体结构的情况下对植物样品进行原位观察, 该技术已广泛应用于植物科学研究的诸多领域.植物整体样品之所以不透明, 是由于其组织中的水分、蛋白质、糖类和脂质等多种不同物质的折光系数不同, 当光线通过这些组分的时候会发生散射, 组织样品越厚, 散射就越强, 透射越少, 从而使光学观察受阻(Kurihara et al., 2015; 王培新等, 2016).整体透明技术的原理是利用某些具有高折射率的试剂处理待测样品, 使透射光通过样品时的散射减少, 光通量增加, 并降低球面色差, 以获得较高分辨率的图像(Haseloff, 2003); 此外, 高折射率的介质能够增加视野深度, 使更多层面上的图像进入聚焦平面, 从而达到组织样品透明的效果(Villani et al., 2013).虽然提高透明剂的浓度可以改善透明效果, 但由于透明剂(如水合三氯乙醛)能够改变透明液的渗透势和pH值, 从而对样品细胞形态的保持产生不利影响.因此, 根据材料性质选择适宜的透明液和透明方法是整体透明技术的关键.虽然目前已有多种透明液应用于植物组织透明研究, 但大多适用于叶片或胚珠等细胞壁较厚或液泡较少的组织材料(Lersten, 1986; 杨弘远, 1986, 1988; Liberato et al., 2005; 郝建华和强胜, 2007; 王文婧等, 2011; 赵林姝等, 2014; 任媛媛和朱炎, 2017).根尖作为一种不断保持分裂生长的组织, 细胞壁较薄, 使用现有的透明方法较难维持细胞形态, 造成透明效果的稳定性差(Richmond et al., 1980; Derbyshire et al., 2007; Li et al., 2010, 2013; Villani et al., 2013; 程蔚玲等, 2017; 李芳芳等, 2018), 不仅影响观察对象的清晰度, 还会造成根尖形态不正常和细胞发生质壁分离.虽然整体透明技术已广泛应用于模式植物根尖发育研究(Bougourd et al., 2000; Li et al., 2010, 2013; 程蔚玲等, 2017; 李芳芳等, 2018), 但如何在不影响根尖形态和细胞渗透势的前提下达到对根尖组织最优的透明观察效果, 仍需深入探索实践.本研究以拟南芥(Arabidopsis thaliana)为实验材料, 建立了根尖透明观察体系的评价标准, 即根尖形态是否正常、伸长区细胞是否发生质壁分离及静止中心细胞(QC细胞)的清晰度; 并利用这3个指标, 对透明时间、透明液成分配比和pH值3个要素进行改良, 优化出最适合拟南芥根尖的整体透明观察方法. ...

... ; Villani et al., 2013; 程蔚玲等, 2017; 李芳芳等, 2018), 不仅影响观察对象的清晰度, 还会造成根尖形态不正常和细胞发生质壁分离.虽然整体透明技术已广泛应用于模式植物根尖发育研究(Bougourd et al., 2000; Li et al., 2010, 2013; 程蔚玲等, 2017; 李芳芳等, 2018), 但如何在不影响根尖形态和细胞渗透势的前提下达到对根尖组织最优的透明观察效果, 仍需深入探索实践.本研究以拟南芥(Arabidopsis thaliana)为实验材料, 建立了根尖透明观察体系的评价标准, 即根尖形态是否正常、伸长区细胞是否发生质壁分离及静止中心细胞(QC细胞)的清晰度; 并利用这3个指标, 对透明时间、透明液成分配比和pH值3个要素进行改良, 优化出最适合拟南芥根尖的整体透明观察方法. ...

... 三氯乙醛和甘油是透明液中的常用成分.三氯乙醛可以提高溶液的折射率, 其在甘油溶液中的折射率达1.428, 接近于玻璃的折射率1.550 (Haseloff, 2003; Villani et al., 2013).这种较高的折射率一方面有助于增大观察体系的数值孔径, 提高分辨率; 另一方面使样品内不同组分的折光率趋于统一, 降低了光线的散射, 提高了光通量.在透明液中加入甘油能够减缓临时装片中水分的蒸发, 防止透明液结晶化(Villani et al., 2013).虽然各种透明液的主要成分相似, 但是不同植物组织样品的整体透明方法不尽相同.目前, 针对胚珠和叶片的整体透明方法较为成熟, 已有Herr 41/2透明、Hoyer氏溶液透明和水杨酸甲酯透明等多种透明体系(Hoyer, 1882; Herr, 1971, 1993; Crane, 1978; Bruzzese and Hasan, 1983; 杨弘远, 1986, 1988; 于明明等, 2009; 王文婧等, 2011; 赵林姝等, 2014; 任媛媛和朱炎, 2017), 但在这些透明体系中并未提出标准化的透明效果评价方案.之前对于胚珠和叶片透明体系的研究是以能够清晰地观察到细胞轮廓作为唯一的评价标准(李彦坤等, 2011; 赵林姝等, 2014; Ursache et al., 2018).相比于叶片, 根尖细胞在胞外渗透压升高时, 胞内膨压降低幅度较大, 使细胞更容易发生质壁分离, 甚至引起根尖整体形态异常(Itoh et al., 1987; Shabala et al., 2000; Shabala and Lew, 2002; Lang et al., 2014; Kim et al., 2018).透明液恰恰形成了一个高渗的胞外环境, 这在以往的研究中经常被忽视(李彦坤等, 2011; Villani et al., 2013; 赵林姝等, 2014).因此, 本文针对透明后的根尖形态、细胞质壁分离情况和透明清晰度, 首次提出了评价拟南芥根尖透明体系的3个量化指标: 形态正常的根尖所占比例、伸长区表皮细胞质壁分离比例及QC细胞清晰的根尖所占比例.综合这三方面评价结果可以更加严谨、完善地对根尖整体透明方法进行分析和改良, 为脆弱组织材料的整体透明研究提供改进依据. ...

... ).这种较高的折射率一方面有助于增大观察体系的数值孔径, 提高分辨率; 另一方面使样品内不同组分的折光率趋于统一, 降低了光线的散射, 提高了光通量.在透明液中加入甘油能够减缓临时装片中水分的蒸发, 防止透明液结晶化(Villani et al., 2013).虽然各种透明液的主要成分相似, 但是不同植物组织样品的整体透明方法不尽相同.目前, 针对胚珠和叶片的整体透明方法较为成熟, 已有Herr 41/2透明、Hoyer氏溶液透明和水杨酸甲酯透明等多种透明体系(Hoyer, 1882; Herr, 1971, 1993; Crane, 1978; Bruzzese and Hasan, 1983; 杨弘远, 1986, 1988; 于明明等, 2009; 王文婧等, 2011; 赵林姝等, 2014; 任媛媛和朱炎, 2017), 但在这些透明体系中并未提出标准化的透明效果评价方案.之前对于胚珠和叶片透明体系的研究是以能够清晰地观察到细胞轮廓作为唯一的评价标准(李彦坤等, 2011; 赵林姝等, 2014; Ursache et al., 2018).相比于叶片, 根尖细胞在胞外渗透压升高时, 胞内膨压降低幅度较大, 使细胞更容易发生质壁分离, 甚至引起根尖整体形态异常(Itoh et al., 1987; Shabala et al., 2000; Shabala and Lew, 2002; Lang et al., 2014; Kim et al., 2018).透明液恰恰形成了一个高渗的胞外环境, 这在以往的研究中经常被忽视(李彦坤等, 2011; Villani et al., 2013; 赵林姝等, 2014).因此, 本文针对透明后的根尖形态、细胞质壁分离情况和透明清晰度, 首次提出了评价拟南芥根尖透明体系的3个量化指标: 形态正常的根尖所占比例、伸长区表皮细胞质壁分离比例及QC细胞清晰的根尖所占比例.综合这三方面评价结果可以更加严谨、完善地对根尖整体透明方法进行分析和改良, 为脆弱组织材料的整体透明研究提供改进依据. ...

... ; Villani et al., 2013; 赵林姝等, 2014).因此, 本文针对透明后的根尖形态、细胞质壁分离情况和透明清晰度, 首次提出了评价拟南芥根尖透明体系的3个量化指标: 形态正常的根尖所占比例、伸长区表皮细胞质壁分离比例及QC细胞清晰的根尖所占比例.综合这三方面评价结果可以更加严谨、完善地对根尖整体透明方法进行分析和改良, 为脆弱组织材料的整体透明研究提供改进依据. ...




相关话题/细胞 组织 植物 技术 材料