删除或更新信息,请邮件至freekaoyan#163.com(#换成@)

四季桂抗氧化防御系统对干旱、高温及协同胁迫的响应

本站小编 Free考研考试/2022-01-01

许馨露, 李丹丹, 马元丹*,, 翟建云, 孙建飞, 高岩, 张汝民
浙江农林大学林业与生物技术学院, 临安 311300
Xu Xinlu, Li Dandan, Ma Yuandan*, Zhai Jianyun, Sun Jianfei, Gao Yan, Zhang Rumin
School of Forestry and Biotechnology, Zhejiang A&F University, Lin’an 311300, China
引用本文
许馨露, 李丹丹, 马元丹, 翟建云, 孙建飞, 高岩, 张汝民. 四季桂抗氧化防御系统对干旱、高温及协同胁迫的响应. 植物学报, 2018, 53(1): 72-

贡献者
* 通讯作者。E-mail: mayuandan@gmail.com
基金资助
国家自然科学基金(No.31470704)和浙江省与中国林业科学研究院省院合作林业科技项目(No.2016SY06);
接受日期:2017-01-6接受日期:2017-05-4网络出版日期:2018-01-20
-->Copyright
2018 《植物学报》编辑部

Contributors
* Author for correspondence. E-mail: mayuandan@gmail.com

History
Received:Accepted:Online:





摘要:以天香台阁四季桂(Osmanthus fragrans cv. ‘Tian Xiang TaiGe’)为材料, 研究干旱(轻度、中度和重度)、高温(40°C)及干旱高温协同胁迫对四季桂叶片抗氧化防御系统的影响。结果显示, 干旱胁迫下, 四季桂活性氧(ROS)逐渐积累, 膜脂过氧化程度加深; 轻度和中度干旱胁迫下, 抗氧化酶活性显著升高; 重度干旱胁迫下, 抗坏血酸(AsA)及其还原力(AsA/DHA)显著降低, 谷胱甘肽(GSH)及其还原力(GSH/GSSG)以及抗坏血酸-谷胱甘肽(AsA-GSH)循环相关酶活性呈先上升后下降的趋势, 在中度干旱胁迫时达到峰值。高温胁迫显著增强ROS积累、抗氧化酶活性、抗氧化剂含量及AsA-GSH循环效率。干旱高温协同胁迫下, 四季桂所受伤害大于单一胁迫, ROS在抗氧化酶的作用下增幅减缓; 随着胁迫强度的加剧, AsA-GSH循环效率呈先增加后下降的趋势, 重度协同胁迫时显著降低, 无法维持氧化还原平衡。四季桂在干旱高温胁迫下能快速启动体内抗氧化防御系统, 清除体内过量的ROS, 增加机体还原力, 以减缓胁迫带来的伤害。
关键词: 四季桂 ; 干旱 ; 高温 ; 活性氧 ; 抗氧化酶 ; 抗坏血酸-谷胱甘肽循环

Abstract: In this study, we explored the solo effect of drought stress (control, light, moderate and heavy), heat stress (control 28°C, heat 40°C) and their dual stresses on the antioxidant defense system of Osmanthus fragrans cv. ‘Tian Xiang TaiGe’. The experiment data showed that after drought treatment, reactive oxygen species (ROS) accumulated gradually and membrane lipid peroxidation increased; the activity of antioxidant enzymes increased significantly under light and moderate drought stress. Ascorbic acid (AsA) and its reducing power (AsA/DHA) decreased significantly under heavy drought stress, whereas glutathione (GSH) and its reducing power (GSH/GSSG) as well as the activity of enzymes related to ascorbate glutathione cycle (AsA-GSH cycle) showed a trend of first increasing and then decreasing, with the peak reached after moderate drought stress. Unlike drought stress, ROS accumulation, antioxidant enzyme activity, antioxidant content and AsA-GSH cycle efficiency all improved significantly with heat stress. Furthermore, we found that the dual stresses injured the cultivar more severely than either stress alone. ROS level increased slowly via antioxidant enzyme activity, and the AsA-GSH cycle efficiency was enhanced at first and then decreased significantly with increasing dual stresses, especially after severe stress, and was unable to maintain oxidation reduction equilibrium. Under drought and heat stress, the cultivar quickly activated the antioxidant defense system to eliminate ROS, which improved the reducing power of the organism to reduce the environmental damage.

Key words:Osmanthus fragrans var. semperflorens ; drought ; heat ; reactive oxygen species ; antioxidant enzyme ; ascorbate glutathione cycle


植物细胞器新陈代谢途径对环境变化十分敏感, 环境胁迫会导致细胞代谢失衡, 进而引起氧化胁迫和活性氧(reactive oxygen species, ROS)积累(Suzuki et al., 2012)。ROS过多积累一方面会导致生物膜脂过氧化, 形成有毒产物, 如丙二醛(malondialdehyde, MDA) (Imahori et al., 2008); 另一方面严重破坏叶绿体结构, 削弱植物光合作用的能力, 对植物造成伤害(Lei et al., 2015)。植物体内存在抗氧化防御系统, 可在一定程度上减缓这种伤害(吴永波和叶波, 2016)。植物通过调节超氧化物歧化酶(superoxide dismutase, SOD)、过氧化物酶(peroxidase, POD)和过氧化氢酶(catalase, CAT)等抗氧化酶活性来清除过多的ROS, 维持体内氧化还原平衡(Lei et al., 2015)。诸多研究表明, 植物抗氧化酶对非生物胁迫具有一定的调节作用。低温胁迫下, 油菜(Brassica napus)幼苗SOD和POD活性呈先升后降的趋势, CAT活性逐渐增强(Lei et al., 2015); 盐胁迫下SOD、CAT和POD活性先增后降(Lei et al., 2016)。高温胁迫使小麦(Tri- ticum aestivum) SOD和CAT活性显著增强, POD活性显著降低(Li et al., 2017)。抗坏血酸-谷胱甘肽循环(ascorbate glutathione cycle, AsA-GSH cycle)是维持植物细胞平衡的中心, 可有效抵抗植物氧化胁迫(Sharma et al., 2012)。抗坏血酸(ascorbic acid, AsA)作为抗坏血酸过氧化物酶(ascorbate peroxidase, APX)的电子供体用以清除H2O2。氧化生成的单脱氢抗坏血酸(monodehydroascobate, MDHA)一方面可经单脱氢抗坏血酸还原酶(monodehydroascobate reductase, MDHAR)还原, 另一方面可歧化生成AsA和脱氢抗坏血酸(dehydroascorbate, DHA), 脱氢抗坏血酸还原酶(dehydroascorbate reductase, DHAR)利用还原型谷胱甘肽(glutathione, GSH)作为电子供体可将DHA还原为AsA, 产生的氧化型谷胱甘肽(oxi- dized glutathione, GSSG)又可被谷胱甘肽还原酶(glutathione reductase, GR)再还原为GSH, 从而完成清除H2O2等活性氧并再生AsA和GSH的过程(Sharma et al., 2012)。植物通过增加抗氧化剂含量和循环相关酶活性提高AsA-GSH循环效率以适应环境胁迫。茄子(Solanum melongena)在锌胁迫下及绿豆(Vigna radiata)在高温胁迫下AsA和GSH含量均显著上升, AsA/DHA和GSH/GSSG显著降低, APX、DHAR、MDHAR和GR活性显著增强(Wu et al., 2015; Nahar et al., 2015)。干旱高温协同胁迫下, 植物叶片中的AsA和GSH被大量消耗, 其含量减少, 降幅显著高于单一胁迫(Arab et al., 2016; 谢华英等, 2016)。抗氧化防御系统可有效增强植物的抗逆性, 使其更好地适应逆境。

桂花(Osmanthus fragrans)是木樨科(Oleaceae)木樨属常绿乔木或灌木, 栽培历史悠久, 兼具生态效应和经济效应。近年来, 全球气温升高, 夏季降水量减少以及极端天气的增加影响了陆地生态系统(Hijioka et al., 2014)。我国南方亚热带地区夏季受副热带高压影响, 易出现晴热干燥天气, 造成干旱高温环境(陈晓峰等, 2016), 严重影响植物的正常生长。本研究基于以上环境状况, 以天香台阁四季桂(O. fragrans cv. ‘Tian Xiang TaiGe’)为材料, 研究干旱高温胁迫下四季桂ROS的产生状况, 阐明干旱高温胁迫对抗氧化酶活性和AsA-GSH循环的影响, 并进一步探讨抗氧化防御系统对不同程度干旱、高温和干旱高温协同胁迫响应的差异, 以期阐明四季桂对干旱高温胁迫的生理生化响应机制, 并为揭示干旱高温胁迫下四季桂的耐胁迫能力, 进而为四季桂的抗逆栽培研究提供理论依据。

1 材料与方法1.1 植物材料供试材料为3年生天香台阁四季桂(Osmanthus fragrans cv. ‘Tian Xiang TaiGe’)实生苗, 由浙江杭州画境种业有限公司提供, 苗高约1 m。2015年5月中旬, 将材料换土倒盆(花盆高40 cm, 内径30 cm), 用当地黄壤土作为栽培土壤, 经测定pH值为6.55, 每盆1株。于浙江农林大学温室内培育1个月, 常规栽培管理。

1.2 实验处理2015年6月20日, 选取生长良好、无病虫害且大小相近的四季桂30盆, 随机分成4组, 对照组12盆, 其余每组6盆。干旱处理时, 设置温室温度为白天28°C, 夜晚20°C, 12小时光照/12小时黑暗, 相对湿度为(40±3)%; 设置正常浇水(CK, 75%田间持水量(field capacity, FC))、轻度干旱(LD, 60%FC)、中度干旱(MD, 40%FC)和重度干旱(HD, 20%FC) 4个梯度。采用称重法控制土壤含水量, 每天傍晚称重并补充各处理消耗的水分, 共处理10天。处理结束后取样, 选取四季桂枝条从上到下第3对完整的功能叶片。样品用液氮迅速冷冻, 置于-80°C冰箱内保存, 用于测定相关指标。
高温处理: 将上述干旱处理组中的其中6盆对照苗和其余3种干旱苗再进行40°C/30°C (昼/夜)处理, 分别作为高温处理组和干旱高温协同处理组, 在人工气候箱中培养, 光周期为12小时光照/12小时黑暗, 光照强度为400 μmol·m-2·s-1。高温胁迫处理2天后, 采用相同方法再次取样保存, 用于测定相关指标。

1.3 各项生理指标的测定1.3.1 活性氧和丙二醛含量测定
O2-·含量测定参照李忠光和龚明(2005)的方法。H2O2含量测定参照Rai等(2012)的方法并略作改进。丙二醛(MDA)含量测定参照Hodges等(1999)的方法。
1.3.2 抗氧化酶活性测定
取0.2 g样品加液氮研磨细碎均匀, 加入5 mL磷酸缓冲溶液(50 mmol·L-1, pH7.8), 混匀后10 000 ×g离心10分钟(4°C), 取上清液用于SOD、POD和CAT活性的测定。
SOD (EC1.15.1.1)活性测定参照Giannopolitis 和Ries (1977)的方法。POD (EC1.11.1.7)和CAT (EC1.11.1.6)活性测定参照Kumari等(2006)的方法。
1.3.3 抗坏血酸和谷胱甘肽含量测定
取0.2 g样品加液氮研磨细碎均匀, 加入5 mL 5% (w/v)的偏磷酸, 混匀后15 000 ×g离心15分钟(4°C), 取上清液参照Rai等(2012)的方法测定抗坏血酸(AsA)和谷胱甘肽(GSH)含量。
1.3.4 AsA-GSH循环相关酶活性测定
取0.2 g样品加液氮研磨细碎均匀, 加入5 mL含0.1% (v/v) Triton和1 mmol·L-1 EDTA的磷酸缓冲溶液(pH7.4), 混匀后16 000 ×g离心20分钟(4°C)。为降低叶绿素对比色值的影响, 以1:1的比例将上清液和乙醚混匀, 同等条件下离心, 取下层淡黄色液体进行AsA-GSH循环相关酶活性的测定。
APX (EC1.11.1.11)活性测定参照Nakano和Asada (1981)的方法。DHAR (EC1.8.5.1)活性测定参照Doulis等(1997)的方法。MDHAR (EC1.6.5.4)活性测定参照Hossain等(1984)的方法。GR (EC1.8.1.7)活性测定参照Schaedle和Bassham (1977)的方法。

1.4 数据处理所有数据均为6次重复的平均值±标准误。将数据分为2组, 一组为干旱胁迫, 另一组为高温胁迫和干旱高温协同胁迫。使用Origin 9软件(OriginLab公司, 美国)进行统计分析并作图。采用One-way ANOVA对干旱胁迫和干旱高温协同胁迫分别进行检验, 评估干旱胁迫×高温胁迫交互作用的影响, 并进行Tukey多重比较(P<0.05)。

2 结果与讨论2.1 干旱高温胁迫对四季桂ROS和MDA含量的 影响随着干旱胁迫强度的加剧, 四季桂叶片ROS和MDA含量逐渐增高, 在重度干旱胁迫下, O2产生速率、H2O2和MDA含量分别比对照提高了149.2% (P< 0.05)、144.8% (P<0.05)和276.2 % (P<0.05) (表1)。高温胁迫下, O2产生速率、H2O2和MDA含量分别比对照增加了44.4% (P<0.05)、31.9% (P<0.05)和123.4% (P<0.05)。干旱高温协同胁迫下, O2产生速率与干旱胁迫相比有所下降, 重度协同胁迫较重度干旱胁迫低40.1% (P<0.05); 干旱高温协同胁迫下, H2O2和MDA含量呈先升高后下降的趋势, 在中度协同胁迫时达到峰值, 分别比中度干旱胁迫高12.3% (P<0.05)和14.5% (P<0.05)。由此可见, 干旱和高温胁迫可以诱导四季桂ROS含量和膜脂过氧化程度显著升高。干旱高温协同胁迫使四季桂损伤严重, ROS含量和膜脂过氧化程度的增幅显著低于干旱胁迫。
表1
Table 1
表1
表1 干旱高温胁迫对天香台阁四季桂活性氧和丙二醛含量的影响 Table 1 Effect of drought and heat stress on reactive oxygen species and malondialdehyde (MDA) content in Osmanthus fragrans cv. ‘Tian Xiang TaiGe’
TemperatureTreatment intensityO2 (nmol·g-1 FW)H2O2 (μmol·g-1 FW)MDA (μmol·g-1 FW)
28°CCK7.56±0.77 C20.11±1.01 D4.09±0.64 C
Light drought14.04±0.44 B33.08±2.33 C7.42±1.32 B
Moderate drought15.49±0.45 B40.60±2.30 B14.29±2.55 A
Heavy drought18.84±2.05 A49.24±1.74 A15.39±1.69 A
Sum of squaresBetween groups (d.f.1=3)402.692743.44532.18
Within groups (d.f.2=20)25.9473.8957.58
40°CCK10.92±0.81 b26.52±0.51 c9.14±0.67 b
Light drought12.79±0.78 a37.52±3.73 b14.11±1.51 a
Moderate drought11.92±0.64 ab45.60±0.92 a16.36±2.29 a
Heavy drought11.30±1.69 ab34.64±4.18 b8.48±1.74 b
Sum of squaresBetween groups (d.f.1=3)11.981117.58264.48
Within groups (d.f.2=20)22.59162.3855.13
P: Ft**ns**
P: Fd*****
P: FFd******
Ft: Effect of different temperature; Fd: Effect of different drought treatment intensity; FFd: Different responses of plant tissues to drought and heat stress. Each value is the mean±SE (n=6). Different capital letters in the same raw indicate statistically significant differences of drought stress, different lowercase letters in the same column indicate statistically significant differences of heat stress. According to Tukey test, * P<0.05; ** P<0.01; ns: Non-significant
Ft: 不同温度的影响; Fd: 不同干旱处理强度的影响; FFd: 植物组织应对干旱高温胁迫的不同响应。数据为平均值±标准误(n=6)。同列不同大写字母表示不同干旱处理间差异显著, 同列不同小写字母表示不同高温处理间差异显著。根据Tukey多重比较, * P<0.05; ** P<0.01; ns: 不显著


表1
干旱高温胁迫对天香台阁四季桂活性氧和丙二醛含量的影响
Table 1
Effect of drought and heat stress on reactive oxygen species and malondialdehyde (MDA) content in Osmanthus fragrans cv. ‘Tian Xiang TaiGe’



2.2 干旱高温胁迫对四季桂抗氧化酶活性的影响干旱胁迫下, SOD和CAT活性随着处理强度的加剧逐渐增高, 重度干旱胁迫下二者分别比对照增加了389.1% (P<0.05) (图1A)和394.6% (P<0.05) (图1C); 随着胁迫程度的加剧, POD活性呈先增后降的趋势(图1B), 中度胁迫时达到峰值, 与对照相比增加了177.9% (P< 0.05)。单一高温处理下, SOD、POD和CAT活性分别比对照增加了131.7% (P<0.05)、153.5% (P<0.05)和55.2% (P<0.05)。干旱高温协同胁迫下, SOD、POD和CAT活性均表现为先升高后降低, SOD和CAT活性在中度协同胁迫时达到峰值, 分别比中度干旱胁迫高出22.2% (P<0.05)和6.3%, POD活性则于轻度协同胁迫时达到峰值, 较轻度干旱胁迫增加了92.3% (P<0.05)。上述结果表明, 干旱胁迫下, 四季桂叶片SOD和CAT均可有效清除ROS; POD在轻度和中度胁迫时清除作用显著增强; 轻度干旱和高温协同胁迫下, SOD、POD和CAT的清除能力较单一干旱胁迫显著提升, 重度协同胁迫时则又显著下降; 干旱胁迫和高温胁迫的交互作用对四季桂具有极显著影响。

2.3 干旱高温胁迫对四季桂抗坏血酸水平的影响重度干旱胁迫下, 四季桂叶片AsA含量较对照减少了45.2% (P<0.05) (图2A); 高温处理下, AsA含量与对照相比下降了26.0% (P<0.05); 干旱高温协同胁迫下, AsA含量随着处理强度的增加逐渐下降, 显著低于干旱胁迫。中度干旱胁迫时DHA含量与对照相比增加了100.6% (P<0.05) (图2B); 高温处理时DHA含量比对照增加了48.4% (P<0.05); 干旱高温协同胁迫处理下, DHA含量在中度协同胁迫时达到峰值, 重度胁迫下有所下降。干旱胁迫下, AsA/DHA逐渐下降(图2C), 重度干旱胁迫下该值比对照减少了66.3% (P< 0.05); 单一高温处理下, AsA/DHA较对照降低了55.2% (P<0.05); 干旱和高温协同胁迫时AsA/DHA均低于干旱胁迫, 轻度协同胁迫比轻度干旱胁迫下该值减少了52.0% (P<0.05)。由此可见, 四季桂在受到干旱高温胁迫时会产生氧化应激反应, 叶片通过降低AsA含量、增加DHA含量进行防御, 但从AsA/DHA的不断降低可以看出, 随着胁迫程度的增强, 四季桂叶片抗氧化剂还原力逐渐减弱, 防御能力下降, 伤害逐渐加重, 单一干旱胁迫较高温干旱协同胁迫防御效果更显著。
图2https://www.chinbullbotany.com/article/2018/1674-3466/1674-3466-53-1-72/img_2.png<b>图2</b> 干旱高温胁迫对天香台阁四季桂抗坏血酸含量的影响<br/>(A) 抗坏血酸(AsA)含量; (B) 脱氢抗坏血酸(DHA)含量; (C) AsA/DHA。<i>F</i>t: 不同温度的影响; <i>F</i>d: 不同处理强度的影响; <i>F</i>t×<i>F</i>d: 植物组织对干旱高温胁迫的不同响应。每个数值为平均值±标准误(<i>n</i>=6)。不同大写字母表示不同干旱处理间差异显著, 不同小写字母表示不同高温处理间差异显著。根据Tukey多重比较, * <i>P</i><0.05; ** <i>P</i><0.01; ns: 不显著<br/><b>Figure 2</b> The effect of drought and heat stress on the AsA content in<i> Osmanthus fragrans</i> cv. ‘Tian Xiang TaiGe’ <br/>(A) Ascorbic acid (AsA) content; (B) Dehydroascorbate (DHA) content; (C) AsA/DHA. <i>F</i>t: Effect of different temperature; <i>F</i>d: Effect of different drought treatment intensity; <i>F</i>t×<i>F</i>d: Different responses of plant tissues to drought and heat stress. Each value is the mean±SE (<i>n</i>=6). Different capital letters indicate statistically significant differences of drought stress, different lowercase letters indicate statistically significant differences of heat stress. According to Tukey test, * <i>P</i><0.05; ** <i>P</i><0.01; ns: Non-significant
Figure 2https://www.chinbullbotany.com/article/2018/1674-3466/1674-3466-53-1-72/img_2.png<b>图2</b> 干旱高温胁迫对天香台阁四季桂抗坏血酸含量的影响<br/>(A) 抗坏血酸(AsA)含量; (B) 脱氢抗坏血酸(DHA)含量; (C) AsA/DHA。<i>F</i>t: 不同温度的影响; <i>F</i>d: 不同处理强度的影响; <i>F</i>t×<i>F</i>d: 植物组织对干旱高温胁迫的不同响应。每个数值为平均值±标准误(<i>n</i>=6)。不同大写字母表示不同干旱处理间差异显著, 不同小写字母表示不同高温处理间差异显著。根据Tukey多重比较, * <i>P</i><0.05; ** <i>P</i><0.01; ns: 不显著<br/><b>Figure 2</b> The effect of drought and heat stress on the AsA content in<i> Osmanthus fragrans</i> cv. ‘Tian Xiang TaiGe’ <br/>(A) Ascorbic acid (AsA) content; (B) Dehydroascorbate (DHA) content; (C) AsA/DHA. <i>F</i>t: Effect of different temperature; <i>F</i>d: Effect of different drought treatment intensity; <i>F</i>t×<i>F</i>d: Different responses of plant tissues to drought and heat stress. Each value is the mean±SE (<i>n</i>=6). Different capital letters indicate statistically significant differences of drought stress, different lowercase letters indicate statistically significant differences of heat stress. According to Tukey test, * <i>P</i><0.05; ** <i>P</i><0.01; ns: Non-significant


下载原图ZIP
生成PPT


图2
干旱高温胁迫对天香台阁四季桂抗坏血酸含量的影响
(A) 抗坏血酸(AsA)含量; (B) 脱氢抗坏血酸(DHA)含量; (C) AsA/DHA。Ft: 不同温度的影响; Fd: 不同处理强度的影响; FFd: 植物组织对干旱高温胁迫的不同响应。每个数值为平均值±标准误(n=6)。不同大写字母表示不同干旱处理间差异显著, 不同小写字母表示不同高温处理间差异显著。根据Tukey多重比较, * P<0.05; ** P<0.01; ns: 不显著
Figure 2
The effect of drought and heat stress on the AsA content in Osmanthus fragrans cv. ‘Tian Xiang TaiGe’
(A) Ascorbic acid (AsA) content; (B) Dehydroascorbate (DHA) content; (C) AsA/DHA. Ft: Effect of different temperature; Fd: Effect of different drought treatment intensity; FFd: Different responses of plant tissues to drought and heat stress. Each value is the mean±SE (n=6). Different capital letters indicate statistically significant differences of drought stress, different lowercase letters indicate statistically significant differences of heat stress. According to Tukey test, * P<0.05; ** P<0.01; ns: Non-significant



2.4 干旱高温胁迫对四季桂谷胱甘肽水平的影响随着干旱胁迫程度逐渐加强, 四季桂叶片GSH含量也逐渐升高, 中度胁迫时达到峰值(图3A), 与对照相比增加了38.0% (P<0.05); 高温胁迫下, GSH含量比对照提高了36.9% (P<0.05); 高温干旱协同作用时, GSH含量在轻度协同胁迫下达到峰值, 之后逐渐下降, 该值在轻度协同胁迫下较轻度干旱胁迫高出12.3% (P<0.05), 重度协同胁迫下则较重度干旱胁迫低20.0% (P<0.05)。单一干旱胁迫或高温胁迫对GSSG含量无显著影响(图3B); 与单一干旱胁迫相比, 干旱高温协同胁迫下GSSG含量显著增加, 中度协同胁迫比中度干旱胁迫该值提高了79.5% (P<0.05)。干旱胁迫下, GSH/GSSG表现为先升高后下降, 在中度干旱胁迫 时达到峰值, 与对照相比增加了79.6% (P<0.05) (图3C); 单一高温胁迫下, GSH/GSSG较对照高出62.6% (P<0.05); GSH/GSSG在轻度干旱高温协同作用时达到峰值后逐渐降低, 低于干旱胁迫, 且中度协同胁迫较中度干旱胁迫低49.2% (P<0.05)。从上述变化可以看出, 干旱高温胁迫使四季桂受到氧化胁迫, 通过调节GSH和GSSG的含量来维持氧化还原平衡, 以增强抗旱性。
图3https://www.chinbullbotany.com/article/2018/1674-3466/1674-3466-53-1-72/img_3.png<b>图3</b> 干旱高温胁迫对天香台阁四季桂谷胱甘肽含量的影响<br/>(A) 谷胱甘肽(GSH)含量; (B) 氧化型谷胱甘肽(GSSG)含量; (C) GSH/GSSG。<i>F</i>t: 不同温度的影响; <i>F</i>d: 不同处理强度的影响; <i>F</i>t×<i>F</i>d: 植物组织对干旱高温胁迫的不同响应。每个数值为平均值±标准误(<i>n</i>=6)。不同大写字母表示不同干旱处理间差异显著, 不同小写字母表示不同高温处理间差异显著。根据Tukey多重比较, * <i>P</i><0.05; ** <i>P</i><0.01; ns: 不显著<br/><b>Figure 3</b> The effect of drought and heat stress on the GSH content in <i>Osmanthus fragrans</i> cv. ‘Tian Xiang TaiGe’ <br/>(A) Glutathione (GSH) content; (B) Oxidized glutathione (GSSG) content; (C) GSH/GSSG.<i> F</i>t: Effect of different temperature; <i>F</i>d: Effect of different drought treatment intensity; <i>F</i>t×<i>F</i>d: Different responses of plant tissues to drought and heat stress. Each value is the mean±SE (<i>n</i>=6). Different capi- tal letters indicate statistically significant differences of drought stress, different lowercase letters indicate statistically significant differences of heat stress. According to Tukey test, * <i>P</i><0.05; ** <i>P</i><0.01; ns: Non-significant
Figure 3https://www.chinbullbotany.com/article/2018/1674-3466/1674-3466-53-1-72/img_3.png<b>图3</b> 干旱高温胁迫对天香台阁四季桂谷胱甘肽含量的影响<br/>(A) 谷胱甘肽(GSH)含量; (B) 氧化型谷胱甘肽(GSSG)含量; (C) GSH/GSSG。<i>F</i>t: 不同温度的影响; <i>F</i>d: 不同处理强度的影响; <i>F</i>t×<i>F</i>d: 植物组织对干旱高温胁迫的不同响应。每个数值为平均值±标准误(<i>n</i>=6)。不同大写字母表示不同干旱处理间差异显著, 不同小写字母表示不同高温处理间差异显著。根据Tukey多重比较, * <i>P</i><0.05; ** <i>P</i><0.01; ns: 不显著<br/><b>Figure 3</b> The effect of drought and heat stress on the GSH content in <i>Osmanthus fragrans</i> cv. ‘Tian Xiang TaiGe’ <br/>(A) Glutathione (GSH) content; (B) Oxidized glutathione (GSSG) content; (C) GSH/GSSG.<i> F</i>t: Effect of different temperature; <i>F</i>d: Effect of different drought treatment intensity; <i>F</i>t×<i>F</i>d: Different responses of plant tissues to drought and heat stress. Each value is the mean±SE (<i>n</i>=6). Different capi- tal letters indicate statistically significant differences of drought stress, different lowercase letters indicate statistically significant differences of heat stress. According to Tukey test, * <i>P</i><0.05; ** <i>P</i><0.01; ns: Non-significant


下载原图ZIP
生成PPT


图3
干旱高温胁迫对天香台阁四季桂谷胱甘肽含量的影响
(A) 谷胱甘肽(GSH)含量; (B) 氧化型谷胱甘肽(GSSG)含量; (C) GSH/GSSG。Ft: 不同温度的影响; Fd: 不同处理强度的影响; FFd: 植物组织对干旱高温胁迫的不同响应。每个数值为平均值±标准误(n=6)。不同大写字母表示不同干旱处理间差异显著, 不同小写字母表示不同高温处理间差异显著。根据Tukey多重比较, * P<0.05; ** P<0.01; ns: 不显著
Figure 3
The effect of drought and heat stress on the GSH content in Osmanthus fragrans cv. ‘Tian Xiang TaiGe’
(A) Glutathione (GSH) content; (B) Oxidized glutathione (GSSG) content; (C) GSH/GSSG. Ft: Effect of different temperature; Fd: Effect of different drought treatment intensity; FFd: Different responses of plant tissues to drought and heat stress. Each value is the mean±SE (n=6). Different capi- tal letters indicate statistically significant differences of drought stress, different lowercase letters indicate statistically significant differences of heat stress. According to Tukey test, * P<0.05; ** P<0.01; ns: Non-significant



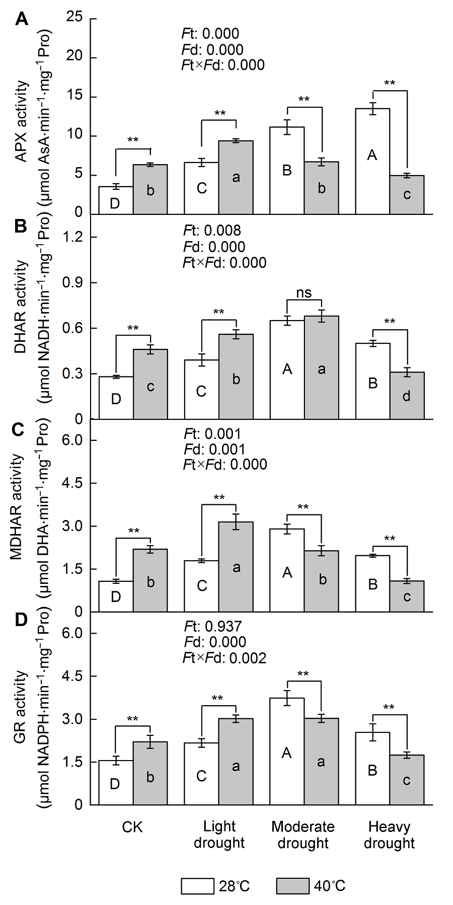
2.5 干旱高温胁迫对四季桂抗坏血酸-谷胱甘肽循环相关酶活性的影响四季桂叶片APX活性随着干旱胁迫程度的加剧逐渐升高, 重度干旱胁迫下, APX活性与对照相比提高了279.7% (P<0.05) (图4A); 单一高温处理下, APX活性较对照增加了78.2% (P<0.05); 轻度干旱高温协同胁迫下APX活性较轻度干旱胁迫增加了42.0% (P< 0.05), 达到峰值, 中度和重度协同胁迫下APX活性逐渐下降, 低于干旱胁迫。干旱胁迫下, DHAR活性逐渐上升并于中度胁迫时达到峰值, 与对照相比增加了42.2% (P<0.05) (图4B); 高温胁迫下, DHAR活性增加了65.9% (P<0.05); 高温干旱协同胁迫, DHAR活性呈先升高后下降的变化趋势, 中度协同胁迫时达到峰值, 重度协同胁迫下降低了37.7% (P<0.05)。MD- HAR活性在干旱胁迫下逐渐上升, 中度干旱胁迫时达到峰值, 与对照相比增加了171.7% (P<0.05) (图4C), 重度胁迫下有所下降; 单一高温胁迫下, MD- HAR活性较对照增加了105.3% (P<0.05); 轻度干旱高温协同胁迫下, MDHAR活性较轻度干旱胁迫提高了75.7% (P<0.05), 达到峰值, 在中度和重度协同胁迫下则逐渐降低。干旱胁迫下, GR活性呈先增加后降低的变化趋势, 中度干旱胁迫时达到峰值, 较对照增加了140.6% (P<0.05), 在重度干旱胁迫时显著下降(图4D)。高温胁迫下, GR活性与对照相比增加了42.1% (P<0.05)。轻度干旱高温协同胁迫下, GR活性比轻度干旱胁迫提高了39.2% (P<0.05), 达到峰值, 在中度和重度协同胁迫时逐渐下降, 显著低于干旱胁迫。由此可见, 单一干旱和高温胁迫下, APX具有较高的清除能力; 随着协同胁迫程度的加深, APX活性显著降低, 清除能力减弱。干旱高温胁迫下四季桂叶片DHAR、MDHAR和GR活性均呈先增加后降低的趋势, 说明其通过增强AsA-GSH循环代谢效率来抵御氧化胁迫, 胁迫程度较轻时防御效果较为明显, 不同酶相互协调, 维持循环的正常运行。
图4https://www.chinbullbotany.com/article/2018/1674-3466/1674-3466-53-1-72/img_4.png<b>图4</b> 干旱高温胁迫对天香台阁四季桂AsA-GSH循环相关酶活性的影响<br/>(A) 抗坏血酸过氧化物酶(APX)活性; (B) 脱氢抗坏血酸还原酶(DHAR)活性; (C) 单脱氢抗坏血酸还原酶(MDHAR)活性; (D) 谷胱甘肽还原酶(GR)活性。<i>F</i>t: 不同温度的影响; <i>F</i>d: 不同处理强度的影响; <i>F</i>t×<i>F</i>d: 植物组织对干旱高温胁迫的不同响应。每个数值为平均值±标准误(<i>n</i>=6)。不同大写字母表示不同干旱处理间差异显著, 不同小写字母表示不同高温处理间差异显著。根据Tukey多重比较, * <i>P</i><0.05; ** <i>P</i><0.01; ns: 不显著<br/><b>Figure 4</b> The effect of drought and heat stress on the enzymes activity of AsA-GSH cycle in <i>Osmanthus fragrans</i> cv. ‘Tian Xiang TaiGe’(A) Ascorbate peroxidase (APX) activity; (B) Dehydroascorbate reductase (DHAR) activity; (C) Monodehydroascobate reductase (MDHAR) activity; (D) Glutathione reductase (GR) activity. <i>F</i>t: Effect of different temperature; <i>F</i>d: Effect of different drought treatment intensity; <i>F</i>t×<i>F</i>d: Different responses of plant tissues to drought and heat stress. Each value is the mean±SE (<i>n</i>=6). Different capital letters indicate statistically significant differences of drought stress, different lowercase letters indicate statistically significant differences of heat stress. According to Tukey test, * <i>P</i><0.05; ** <i>P</i><0.01; ns: Non- significant
Figure 4https://www.chinbullbotany.com/article/2018/1674-3466/1674-3466-53-1-72/img_4.png<b>图4</b> 干旱高温胁迫对天香台阁四季桂AsA-GSH循环相关酶活性的影响<br/>(A) 抗坏血酸过氧化物酶(APX)活性; (B) 脱氢抗坏血酸还原酶(DHAR)活性; (C) 单脱氢抗坏血酸还原酶(MDHAR)活性; (D) 谷胱甘肽还原酶(GR)活性。<i>F</i>t: 不同温度的影响; <i>F</i>d: 不同处理强度的影响; <i>F</i>t×<i>F</i>d: 植物组织对干旱高温胁迫的不同响应。每个数值为平均值±标准误(<i>n</i>=6)。不同大写字母表示不同干旱处理间差异显著, 不同小写字母表示不同高温处理间差异显著。根据Tukey多重比较, * <i>P</i><0.05; ** <i>P</i><0.01; ns: 不显著<br/><b>Figure 4</b> The effect of drought and heat stress on the enzymes activity of AsA-GSH cycle in <i>Osmanthus fragrans</i> cv. ‘Tian Xiang TaiGe’(A) Ascorbate peroxidase (APX) activity; (B) Dehydroascorbate reductase (DHAR) activity; (C) Monodehydroascobate reductase (MDHAR) activity; (D) Glutathione reductase (GR) activity. <i>F</i>t: Effect of different temperature; <i>F</i>d: Effect of different drought treatment intensity; <i>F</i>t×<i>F</i>d: Different responses of plant tissues to drought and heat stress. Each value is the mean±SE (<i>n</i>=6). Different capital letters indicate statistically significant differences of drought stress, different lowercase letters indicate statistically significant differences of heat stress. According to Tukey test, * <i>P</i><0.05; ** <i>P</i><0.01; ns: Non- significant


下载原图ZIP
生成PPT


图4
干旱高温胁迫对天香台阁四季桂AsA-GSH循环相关酶活性的影响
(A) 抗坏血酸过氧化物酶(APX)活性; (B) 脱氢抗坏血酸还原酶(DHAR)活性; (C) 单脱氢抗坏血酸还原酶(MDHAR)活性; (D) 谷胱甘肽还原酶(GR)活性。Ft: 不同温度的影响; Fd: 不同处理强度的影响; FFd: 植物组织对干旱高温胁迫的不同响应。每个数值为平均值±标准误(n=6)。不同大写字母表示不同干旱处理间差异显著, 不同小写字母表示不同高温处理间差异显著。根据Tukey多重比较, * P<0.05; ** P<0.01; ns: 不显著
Figure 4
The effect of drought and heat stress on the enzymes activity of AsA-GSH cycle in Osmanthus fragrans cv. ‘Tian Xiang TaiGe’(A) Ascorbate peroxidase (APX) activity; (B) Dehydroascorbate reductase (DHAR) activity; (C) Monodehydroascobate reductase (MDHAR) activity; (D) Glutathione reductase (GR) activity. Ft: Effect of different temperature; Fd: Effect of different drought treatment intensity; FFd: Different responses of plant tissues to drought and heat stress. Each value is the mean±SE (n=6). Different capital letters indicate statistically significant differences of drought stress, different lowercase letters indicate statistically significant differences of heat stress. According to Tukey test, * P<0.05; ** P<0.01; ns: Non- significant



2.6 讨论干旱和高温胁迫大多是同时存在的, 高温促进蒸腾, 使土壤水分迅速丧失, 加剧干旱胁迫, 多重胁迫对植物伤害远远大于单一胁迫(Root et al., 2003)。本研究中, 单一胁迫下, 四季桂叶片ROS和MDA含量显著增加, 干旱胁迫下的增幅高于高温胁迫, 损伤更严重, 说明四季桂对干旱胁迫的敏感性更高; 干旱高温协同胁迫下ROS含量低于单一胁迫, 中度协同胁迫下膜脂过氧化程度最大, 重度协同胁迫下, ROS和MDA含量显著降低, 协同胁迫对四季桂叶片造成复合伤害, 当伤害突破临界点时, 可能导致叶片死亡, 细胞膜系统瘫痪。Liu等(2011)对6种木本植物干旱胁迫的研究表明, SOD、POD和CAT活性之间呈正相关, SOD活性的增强伴随着CAT和POD活性的提高, 可以更好地清除过量H2O2。本研究表明, 单一胁迫下SOD活性逐渐提高, 与O2产生速率具有一致的变化趋势, 可能由于胁迫程度的加剧增加了O2的产生, O2积累的同时又刺激SOD活性增强; 单一胁迫下POD和CAT活性显著增强, 与H2O2含量呈正相关, H2O2的积累促进了CAT和POD应激反应, 使其活性增强, 重度干旱胁迫下CAT活性提高, POD活性降低, 这与Liu等(2011)的研究结果不一致, 可能是由于四季桂体内CAT较POD清除H2O2效果更好, 持续时间更长, 更稳定。Silva等(2010)研究表明, 高温刺激麻疯树(Jatropha curcas) CAT和SOD活性增强, 但在干旱高温协同胁迫时受到强烈抑制, 膜脂过氧化和H2O2的高水平表明, ROS清除系统不足以保护叶片免受氧化损伤, 特别是协同胁迫。本研究中轻度和中度干旱高温协同胁迫时, 四季桂叶片SOD和POD活性高于干旱胁迫, 表现出更高的清除效率和抗氧化防御能力(Silva et al., 2010); 重度协同胁迫下抗氧化酶活性显著降低, 低于干旱胁迫, 可能是由于细胞结构、透性、功能的改变、破坏和死亡, 使生理功能紊乱, 进而引起SOD、POD和CAT活性下降, 酶系统无法正常运行(Silva et al., 2010)。
AsA和GSH是重要的抗氧化剂, 有利于维持细胞内氧化还原平衡, AsA/DHA和GSH/GSSG体现了AsA和GSH的氧化还原状态, 可以作为抗氧化剂调控信号, 较高的AsA/DHA和GSH/GSSG有利于维持植物体内的氧化还原环境, 减少胁迫所造成的伤害(Liu et al., 2011)。干旱胁迫下苹果(Malus pumila)叶片AsA和GSH含量先增后降, AsA/DHA和GSH/GSSG均不断下降; 高温胁迫过程中, 苹果叶片AsA含量先轻微上升而后下降, AsA/DHA显著下降(Ma et al., 2011)。干旱高温协同胁迫下, 海枣(Phoenix dactylifera)叶片AsA和GSH含量下降(Arab et al., 2016)。本研究结果表明, 轻度和中度干旱胁迫时, 四季桂叶片AsA含量无显著变化, 可能是由于叶片在消耗AsA清除H2O2的同时, 不断合成更多的AsA, 使其含量维持稳定; 重度干旱胁迫下, AsA含量显著降低, 可能是由于H2O2的过量积累消耗了大量AsA, 且无法及时得到补充。干旱胁迫下DHA含量呈先增后降的趋势, 中度干旱胁迫时达到峰值, 这是由于四季桂通过调整DHA的合成维持较高的AsA及其还原力(AsA/DHA); 随着干旱胁迫程度的增强, 四季桂受到的损伤加重, AsA/DHA逐渐下降, 由于胁迫造成的伤害, 导致AsA和DHA合成量减少, 进而造成还原力降低。高温胁迫下, DHA含量显著升高, 与干旱胁迫结果相似。干旱高温协同胁迫下, AsA及其还原力(AsA/DHA)逐渐降低, 低于单一胁迫, 这与Ma等(2011)的研究结果相似; DHA含量先上升后下降, 协同胁迫对四季桂造成进一步伤害, AsA和DHA合成效率降低。GSH含量及其还原力(GSH/GSSG)在单一干旱胁迫和干旱高温协同胁迫时均呈先升高后下降的趋势, 轻度和中度干旱时, GSH还原力增强, 重度干旱胁迫及协同胁迫时降低。此外, AsA/DHA和GSH/GSSG变化的差异表明, 胁迫造成AsA还原力更强, 使植物能更好地适应环境的变化。
AsA-GSH循环是植物抗氧化代谢的重要组成部分, 可以直接保护叶绿体免于氧化损伤(Foyer and Noctor, 2011), 维持细胞内氧化还原平衡。干旱和高温胁迫下麻疯树APX含量显著上升, 且协同胁迫显著高于单一胁迫(Silva et al., 2010)。随着干旱胁迫时间的延长, 楸子(Malus prunifolia) APX、GR、DHAR和MDHAR均呈现先升后降的变化趋势(Wang et al., 2012)。四季桂APX活性变化与H2O2含量呈负相关, 干旱和高温胁迫下APX活性显著增强, 与Zou等(2016)的研究结果一致。单一胁迫和轻度协同胁迫时, APX能够有效清除过量的H2O2; 中度和重度协同胁迫时, APX活性降低且显著低于干旱胁迫。一方面可能是由于协同胁迫导致的严重损伤, H2O2大量积累; 另一方面则是POD和CAT清除能力的降低使四季桂整体抗氧化能力下降。DHAR活性呈先增加后下降的趋势, DHA亦可通过DHAR被还原为AsA。本研究结果显示, 随着DHAR活性增强与AsA含量降低, DHA含量增加, 这与理论不相符。究其原因可能是由于逆境中, AsA-GSH循环以APX清除作用优先, DHAR则主要维持循环的平衡; 轻度和中度协同胁迫下, DHAR活性显著升高且高于干旱胁迫, 表现出较高的还原能力; 重度协同胁迫下, DHAR活性降低, 植物体无法利用GSH提供的电子供体将DHA还原成AsA。干旱和协同胁迫下, MDHAR先上升后下降, 与AsA含量呈负相关, 与APX活性呈正相关; 轻度和中度协同胁迫下MDHAR有效维持了AsA含量, 缓解四季桂受到的伤害; 重度协同胁迫下受APX活性的影响, MDHAR活性降低。GR能将GSSG还原为GSH, 干旱和协同胁迫下, GR活性均呈先增加后下降的变化趋势, 与GSH呈正相关, 与GSSG呈负相关(Wang et al., 2012)。四季桂通过调节GR活性来调节GSH合成, 保持其水平以抵御氧化胁迫。但这一作用是有限度的, 重度胁迫尤其是协同胁迫时, GR活性显著降低, AsA-GSH循环无法提供充足的GSH, DHA增加, 使得AsA水平降低。
综上所述, 单一干旱或高温胁迫下, 四季桂体内的抗氧化防御系统可高效快速地进行响应, 能够维持正常生长发育和代谢。轻度和中度协同胁迫时, 四季桂体内抗氧化酶和AsA-GSH循环能有效协调, 保持运转, 维持四季桂体内ROS含量的相对平衡, 降低ROS积累造成的伤害; 重度协同胁迫下, 四季桂叶片受到不可逆损伤, 细胞死亡, 无法正常发挥保护机能。综上, 四季桂能很好地适应轻度和中度逆境, 在园林规划中可扩大其栽培与应用, 广泛种植在干旱高温地区。

The authors have declared that no competing interests exist.

参考文献
文献选项
原文顺序
文献年度倒序
文中引用次数倒序
被引期刊影响因子




[1] 陈晓峰, 江洪, 牛晓栋, 张金梦, 刘玉莉, 方成圆 (2016). 季节性高温和干旱对亚热带毛竹林碳通量的影响. 应用生态学报 27, 335-344.

[本文引用: 1]
[2] 李忠光, 龚明 (2005). 植物中超氧阴离子自由基测定方法的改进. 云南植物研究 27, 211-216.

[3] 吴永波, 叶波 (2016). 高温干旱复合胁迫对构树幼苗抗氧化酶活性和活性氧代谢的影响. 生态学报 36, 403-410.

[本文引用: 1]
[4] 谢华英, 马均, 代邹, 李玥, 孙加威, 赵建红, 徐徽, 孙永健 (2016). 抽穗期高温干旱胁迫对杂交水稻产量及生理特性的影响. 杂交水稻 31, 62-69.

[本文引用: 1]
[5]
Arab L, Kreuzwieser J, Kruse J, Zimmer I, Ache P, Alfarraj S, Al-rasheid KAS, Schnitzler JP, Hedrich R, Rennenberg H (2016). Acclimation to heat and drought- lessons to learn from the date palm ( Phoenix dactylifera). Environ Exp Bot 125, 20-30.
[本文引用: 2]
[6]
Doulis AG, Debian N, Kingston-Smith AH, Foyer CH (1997). Differential localization of antioxidants in maize leaves.Plant Physiol 114, 1031-1037.
[7]
Foyer CH, Noctor G (2011). Ascorbate and glutathione: the heart of the redox hub.Plant Physiol 155, 2-18.
[本文引用: 1]
[8]
Giannopolitis CN, Ries SK (1977). Superoxide dismutases: I. Occurrence in higher plants.Plant Physiol 59, 309-314.
[本文引用: 1]
[9]
Hijioka Y, Lin E, Pereira J, Corlett R, Cui X, Insarov G, Lasco R, Lindgren E, Surjan A (2014).Climate Change 2014: Impacts, Adaptation, and Vulnerability, Part B: Regional Aspects, Contribution of Working Group II, Fifth Assessment Report of the Intergovernmental Panel on Climate Change. Cambridge: Cambridge University Press. pp.1327-1370.
[本文引用: 1]
[10]
Hodges DM, Delong JM, Forney CF, Prange RK (1999). Improving the thiobarbituric acid-reactive-substances assay for estimating lipid peroxidation in plant tissues containing anthocyanin and other interfering compounds.Pl- anta 207, 604-611.
[11]
Hossain MA, Nakano Y, Asada K (1984). Monodehydroascorbate reductase in spinach chloroplasts and its participation in regeneration of ascorbate for scavenging hydrogen peroxide.Plant Cell Physiol 25, 385-395.
[12]
Imahori Y, Takemura M, Bai JH (2008). Chilling-induced oxidative stress and antioxidant responses in mume ( Pru- nus mume) fruit during low temperature storage. Postharvest Biol Technol 49, 54-60.
[本文引用: 1]
[13]
Kumari GJ, Reddy AM, Naik ST, Kumar SG, Prasanthi J, Sriranganayakulu G, Reddy PC, Sudhakar C (2006). Jasmonic acid induced changes in protein pattern, antioxidative enzyme activities and peroxidase isozymes in peanut seedlings.Biol Plant 50, 219-226.
[14]
Lei P, Xu ZQ, Ding Y, Tang B, Zhang YX, Li HS, Feng XH, Xu H (2015). Effect of poly (γ-glutamic acid) on the physiological responses and calcium signaling of rape seedlings ( Brassica napus L.) under cold stress. J Agric Food Chem 63, 10399-10406.
[本文引用: 3]
[15]
Lei P, Xu ZQ, Liang JF, Luo XH, Zhang YX, Feng XH, Xu H (2016). Poly (γ-glutamic acid) enhanced tolerance to salt stress by promoting proline accumulation in Brassica napus L. Plant Growth Regul 78, 233-241.
[本文引用: 1]
[16]
Li H, Xu HL, Zhang PJ, Gao MQ, Wang D, Zhao HJ (2017). High temperature effects on D1 protein turnover in three wheat varieties with different heat susceptibility.Plant Grow- th Regul 78, 1-9.
[本文引用: 1]
[17]
Liu CC, Liu YG, Guo K, Fan DY, Li GQ, Zheng YR, Yu LF, Yang R (2011). Effect of drought on pigments, osmotic adjustment and antioxidant enzymes in six woody plant species in karst habitats of southwestern China.Environ Exp Bot 71, 174-183.
[本文引用: 1]
[18]
Ma YH, Ma FW, Wang YH, Zhang JK (2011). The responses of the enzymes related with ascorbate-gluta- thione cycle during drought stress in apple leaves.Acta Physiol Plant 33, 173-180.
[本文引用: 1]
[19]
Nahar K, Hasanuzzaman M, Alam MM, Fujita M (2015). Exogenous glutathione confers high temperature stress tolerance in mung bean ( Vigna radiata L.) by modulating antioxidant defense and methylglyoxal detoxification system. Environ Exp Bot 112, 44-54.
[本文引用: 1]
[20]
Nakano Y, Asada K (1981). Hydrogen peroxide is scaven- ged by ascorbate-specific peroxidase in spinach chloroplasts.Plant Cell Physiol 22, 867-880.
[21]
Rai AC, Singh M, Shah K (2012). Effect of water withdrawal on formation of free radical, proline accumulation and activities of antioxidant enzymes in ZAT12-transformed transgenic tomato plants. Plant Physiol Biochem 61, 108-114.
[本文引用: 1]
[22]
Root TL, Price JT, Hall KR, Schneider SH, Rosenzweig C, Pounds JA (2003). Fingerprints of global warming on wild animals and plants.Nature 421, 57-60.
[本文引用: 1]
[23]
Schaedle M, Bassham JA (1977). Chloroplast glutathione reductase.Plant Physiol 59, 1011-1012.
[24]
Sharma P, Jha AB, Dubey RS, Pessarakli M (2012). Reactive oxygen species, oxidative damage, and antioxidative defense mechanism in plants under stressful conditions.J Bot 2012, 217037.
[本文引用: 2]
[25]
Silva EN, Ferreira-Silva SL, Fontenele ADV, Ribeiro RV, Viégasc RA, Silveira JAG (2010). Photosynthetic chan- ges and protective mechanisms against oxidative damage subjected to isolated and combined drought and heat stresses in Jatropha curcas plants. J Plant Physiol 167, 1157-1164.
[本文引用: 3]
[26]
Suzuki N, Koussevitzky S, Mittler R, Miller G (2012). ROS and redox signaling in the response of plants to abiotic stress.Plant Cell Environ 35, 259-270.
[本文引用: 1]
[27]
Wang SC, Liang D, Li C, Hao Yl, Ma FW, Shu HR (2012). Influence of drought stress on the cellular ultrastructure and antioxidant systemin leaves of drought-tolerant and drought-sensitive apple rootstocks.Plant Physiol Biochem 51, 81-89.
[本文引用: 2]
[28]
Wu XX, He J, Ding HD, Zhu ZW, Chen JL, Xu S, Zha DS (2015). Modulation of zinc-induced oxidative damage in Solanum melongena by 6-benzylaminopurine involves ascorbate-glutathione cyclemetabolism. Environ Exp Bot 116, 1-11.
[本文引用: 1]
[29]
Zou MQ, Yuan LY, Zhu SD, Liu S, Ge JT, Wang CG (2016). Response of osmotic adjustment and ascorbate-glutathione cycle to heat stress in a heat-sensitive and a heat-tolerant genotype of wucai ( Brassica campestris L.). Sci Hortic 211, 87-94.

季节性高温和干旱对亚热带毛竹林碳通量的影响
1
2016

... 桂花(Osmanthus fragrans)是木樨科(Oleaceae)木樨属常绿乔木或灌木, 栽培历史悠久, 兼具生态效应和经济效应.近年来, 全球气温升高, 夏季降水量减少以及极端天气的增加影响了陆地生态系统(Hijioka et al., 2014).我国南方亚热带地区夏季受副热带高压影响, 易出现晴热干燥天气, 造成干旱高温环境(陈晓峰等, 2016), 严重影响植物的正常生长.本研究基于以上环境状况, 以天香台阁四季桂(O. fragrans cv. ‘Tian Xiang TaiGe’)为材料, 研究干旱高温胁迫下四季桂ROS的产生状况, 阐明干旱高温胁迫对抗氧化酶活性和AsA-GSH循环的影响, 并进一步探讨抗氧化防御系统对不同程度干旱、高温和干旱高温协同胁迫响应的差异, 以期阐明四季桂对干旱高温胁迫的生理生化响应机制, 并为揭示干旱高温胁迫下四季桂的耐胁迫能力, 进而为四季桂的抗逆栽培研究提供理论依据. ...

植物中超氧阴离子自由基测定方法的改进
0
2005

高温干旱复合胁迫对构树幼苗抗氧化酶活性和活性氧代谢的影响
1
2016

... 植物细胞器新陈代谢途径对环境变化十分敏感, 环境胁迫会导致细胞代谢失衡, 进而引起氧化胁迫和活性氧(reactive oxygen species, ROS)积累(Suzuki et al., 2012).ROS过多积累一方面会导致生物膜脂过氧化, 形成有毒产物, 如丙二醛(malondialdehyde, MDA) (Imahori et al., 2008); 另一方面严重破坏叶绿体结构, 削弱植物光合作用的能力, 对植物造成伤害(Lei et al., 2015).植物体内存在抗氧化防御系统, 可在一定程度上减缓这种伤害(吴永波和叶波, 2016).植物通过调节超氧化物歧化酶(superoxide dismutase, SOD)、过氧化物酶(peroxidase, POD)和过氧化氢酶(catalase, CAT)等抗氧化酶活性来清除过多的ROS, 维持体内氧化还原平衡(Lei et al., 2015).诸多研究表明, 植物抗氧化酶对非生物胁迫具有一定的调节作用.低温胁迫下, 油菜(Brassica napus)幼苗SOD和POD活性呈先升后降的趋势, CAT活性逐渐增强(Lei et al., 2015); 盐胁迫下SOD、CAT和POD活性先增后降(Lei et al., 2016).高温胁迫使小麦(Tri- ticum aestivum) SOD和CAT活性显著增强, POD活性显著降低(Li et al., 2017).抗坏血酸-谷胱甘肽循环(ascorbate glutathione cycle, AsA-GSH cycle)是维持植物细胞平衡的中心, 可有效抵抗植物氧化胁迫(Sharma et al., 2012).抗坏血酸(ascorbic acid, AsA)作为抗坏血酸过氧化物酶(ascorbate peroxidase, APX)的电子供体用以清除H2O2.氧化生成的单脱氢抗坏血酸(monodehydroascobate, MDHA)一方面可经单脱氢抗坏血酸还原酶(monodehydroascobate reductase, MDHAR)还原, 另一方面可歧化生成AsA和脱氢抗坏血酸(dehydroascorbate, DHA), 脱氢抗坏血酸还原酶(dehydroascorbate reductase, DHAR)利用还原型谷胱甘肽(glutathione, GSH)作为电子供体可将DHA还原为AsA, 产生的氧化型谷胱甘肽(oxi- dized glutathione, GSSG)又可被谷胱甘肽还原酶(glutathione reductase, GR)再还原为GSH, 从而完成清除H2O2等活性氧并再生AsA和GSH的过程(Sharma et al., 2012).植物通过增加抗氧化剂含量和循环相关酶活性提高AsA-GSH循环效率以适应环境胁迫.茄子(Solanum melongena)在锌胁迫下及绿豆(Vigna radiata)在高温胁迫下AsA和GSH含量均显著上升, AsA/DHA和GSH/GSSG显著降低, APX、DHAR、MDHAR和GR活性显著增强(Wu et al., 2015; Nahar et al., 2015).干旱高温协同胁迫下, 植物叶片中的AsA和GSH被大量消耗, 其含量减少, 降幅显著高于单一胁迫(Arab et al., 2016; 谢华英等, 2016).抗氧化防御系统可有效增强植物的抗逆性, 使其更好地适应逆境. ...

抽穗期高温干旱胁迫对杂交水稻产量及生理特性的影响
1
2016

... 植物细胞器新陈代谢途径对环境变化十分敏感, 环境胁迫会导致细胞代谢失衡, 进而引起氧化胁迫和活性氧(reactive oxygen species, ROS)积累(Suzuki et al., 2012).ROS过多积累一方面会导致生物膜脂过氧化, 形成有毒产物, 如丙二醛(malondialdehyde, MDA) (Imahori et al., 2008); 另一方面严重破坏叶绿体结构, 削弱植物光合作用的能力, 对植物造成伤害(Lei et al., 2015).植物体内存在抗氧化防御系统, 可在一定程度上减缓这种伤害(吴永波和叶波, 2016).植物通过调节超氧化物歧化酶(superoxide dismutase, SOD)、过氧化物酶(peroxidase, POD)和过氧化氢酶(catalase, CAT)等抗氧化酶活性来清除过多的ROS, 维持体内氧化还原平衡(Lei et al., 2015).诸多研究表明, 植物抗氧化酶对非生物胁迫具有一定的调节作用.低温胁迫下, 油菜(Brassica napus)幼苗SOD和POD活性呈先升后降的趋势, CAT活性逐渐增强(Lei et al., 2015); 盐胁迫下SOD、CAT和POD活性先增后降(Lei et al., 2016).高温胁迫使小麦(Tri- ticum aestivum) SOD和CAT活性显著增强, POD活性显著降低(Li et al., 2017).抗坏血酸-谷胱甘肽循环(ascorbate glutathione cycle, AsA-GSH cycle)是维持植物细胞平衡的中心, 可有效抵抗植物氧化胁迫(Sharma et al., 2012).抗坏血酸(ascorbic acid, AsA)作为抗坏血酸过氧化物酶(ascorbate peroxidase, APX)的电子供体用以清除H2O2.氧化生成的单脱氢抗坏血酸(monodehydroascobate, MDHA)一方面可经单脱氢抗坏血酸还原酶(monodehydroascobate reductase, MDHAR)还原, 另一方面可歧化生成AsA和脱氢抗坏血酸(dehydroascorbate, DHA), 脱氢抗坏血酸还原酶(dehydroascorbate reductase, DHAR)利用还原型谷胱甘肽(glutathione, GSH)作为电子供体可将DHA还原为AsA, 产生的氧化型谷胱甘肽(oxi- dized glutathione, GSSG)又可被谷胱甘肽还原酶(glutathione reductase, GR)再还原为GSH, 从而完成清除H2O2等活性氧并再生AsA和GSH的过程(Sharma et al., 2012).植物通过增加抗氧化剂含量和循环相关酶活性提高AsA-GSH循环效率以适应环境胁迫.茄子(Solanum melongena)在锌胁迫下及绿豆(Vigna radiata)在高温胁迫下AsA和GSH含量均显著上升, AsA/DHA和GSH/GSSG显著降低, APX、DHAR、MDHAR和GR活性显著增强(Wu et al., 2015; Nahar et al., 2015).干旱高温协同胁迫下, 植物叶片中的AsA和GSH被大量消耗, 其含量减少, 降幅显著高于单一胁迫(Arab et al., 2016; 谢华英等, 2016).抗氧化防御系统可有效增强植物的抗逆性, 使其更好地适应逆境. ...

2
2016

... 植物细胞器新陈代谢途径对环境变化十分敏感, 环境胁迫会导致细胞代谢失衡, 进而引起氧化胁迫和活性氧(reactive oxygen species, ROS)积累(Suzuki et al., 2012).ROS过多积累一方面会导致生物膜脂过氧化, 形成有毒产物, 如丙二醛(malondialdehyde, MDA) (Imahori et al., 2008); 另一方面严重破坏叶绿体结构, 削弱植物光合作用的能力, 对植物造成伤害(Lei et al., 2015).植物体内存在抗氧化防御系统, 可在一定程度上减缓这种伤害(吴永波和叶波, 2016).植物通过调节超氧化物歧化酶(superoxide dismutase, SOD)、过氧化物酶(peroxidase, POD)和过氧化氢酶(catalase, CAT)等抗氧化酶活性来清除过多的ROS, 维持体内氧化还原平衡(Lei et al., 2015).诸多研究表明, 植物抗氧化酶对非生物胁迫具有一定的调节作用.低温胁迫下, 油菜(Brassica napus)幼苗SOD和POD活性呈先升后降的趋势, CAT活性逐渐增强(Lei et al., 2015); 盐胁迫下SOD、CAT和POD活性先增后降(Lei et al., 2016).高温胁迫使小麦(Tri- ticum aestivum) SOD和CAT活性显著增强, POD活性显著降低(Li et al., 2017).抗坏血酸-谷胱甘肽循环(ascorbate glutathione cycle, AsA-GSH cycle)是维持植物细胞平衡的中心, 可有效抵抗植物氧化胁迫(Sharma et al., 2012).抗坏血酸(ascorbic acid, AsA)作为抗坏血酸过氧化物酶(ascorbate peroxidase, APX)的电子供体用以清除H2O2.氧化生成的单脱氢抗坏血酸(monodehydroascobate, MDHA)一方面可经单脱氢抗坏血酸还原酶(monodehydroascobate reductase, MDHAR)还原, 另一方面可歧化生成AsA和脱氢抗坏血酸(dehydroascorbate, DHA), 脱氢抗坏血酸还原酶(dehydroascorbate reductase, DHAR)利用还原型谷胱甘肽(glutathione, GSH)作为电子供体可将DHA还原为AsA, 产生的氧化型谷胱甘肽(oxi- dized glutathione, GSSG)又可被谷胱甘肽还原酶(glutathione reductase, GR)再还原为GSH, 从而完成清除H2O2等活性氧并再生AsA和GSH的过程(Sharma et al., 2012).植物通过增加抗氧化剂含量和循环相关酶活性提高AsA-GSH循环效率以适应环境胁迫.茄子(Solanum melongena)在锌胁迫下及绿豆(Vigna radiata)在高温胁迫下AsA和GSH含量均显著上升, AsA/DHA和GSH/GSSG显著降低, APX、DHAR、MDHAR和GR活性显著增强(Wu et al., 2015; Nahar et al., 2015).干旱高温协同胁迫下, 植物叶片中的AsA和GSH被大量消耗, 其含量减少, 降幅显著高于单一胁迫(Arab et al., 2016; 谢华英等, 2016).抗氧化防御系统可有效增强植物的抗逆性, 使其更好地适应逆境. ...
... AsA和GSH是重要的抗氧化剂, 有利于维持细胞内氧化还原平衡, AsA/DHA和GSH/GSSG体现了AsA和GSH的氧化还原状态, 可以作为抗氧化剂调控信号, 较高的AsA/DHA和GSH/GSSG有利于维持植物体内的氧化还原环境, 减少胁迫所造成的伤害(Liu et al., 2011).干旱胁迫下苹果(Malus pumila)叶片AsA和GSH含量先增后降, AsA/DHA和GSH/GSSG均不断下降; 高温胁迫过程中, 苹果叶片AsA含量先轻微上升而后下降, AsA/DHA显著下降(Ma et al., 2011).干旱高温协同胁迫下, 海枣(Phoenix dactylifera)叶片AsA和GSH含量下降(Arab et al., 2016).本研究结果表明, 轻度和中度干旱胁迫时, 四季桂叶片AsA含量无显著变化, 可能是由于叶片在消耗AsA清除H2O2的同时, 不断合成更多的AsA, 使其含量维持稳定; 重度干旱胁迫下, AsA含量显著降低, 可能是由于H2O2的过量积累消耗了大量AsA, 且无法及时得到补充.干旱胁迫下DHA含量呈先增后降的趋势, 中度干旱胁迫时达到峰值, 这是由于四季桂通过调整DHA的合成维持较高的AsA及其还原力(AsA/DHA); 随着干旱胁迫程度的增强, 四季桂受到的损伤加重, AsA/DHA逐渐下降, 由于胁迫造成的伤害, 导致AsA和DHA合成量减少, 进而造成还原力降低.高温胁迫下, DHA含量显著升高, 与干旱胁迫结果相似.干旱高温协同胁迫下, AsA及其还原力(AsA/DHA)逐渐降低, 低于单一胁迫, 这与Ma等(2011)的研究结果相似; DHA含量先上升后下降, 协同胁迫对四季桂造成进一步伤害, AsA和DHA合成效率降低.GSH含量及其还原力(GSH/GSSG)在单一干旱胁迫和干旱高温协同胁迫时均呈先升高后下降的趋势, 轻度和中度干旱时, GSH还原力增强, 重度干旱胁迫及协同胁迫时降低.此外, AsA/DHA和GSH/GSSG变化的差异表明, 胁迫造成AsA还原力更强, 使植物能更好地适应环境的变化. ...

0
1997


1
2011

... AsA-GSH循环是植物抗氧化代谢的重要组成部分, 可以直接保护叶绿体免于氧化损伤(Foyer and Noctor, 2011), 维持细胞内氧化还原平衡.干旱和高温胁迫下麻疯树APX含量显著上升, 且协同胁迫显著高于单一胁迫(Silva et al., 2010).随着干旱胁迫时间的延长, 楸子(Malus prunifolia) APX、GR、DHAR和MDHAR均呈现先升后降的变化趋势(Wang et al., 2012).四季桂APX活性变化与H2O2含量呈负相关, 干旱和高温胁迫下APX活性显著增强, 与Zou等(2016)的研究结果一致.单一胁迫和轻度协同胁迫时, APX能够有效清除过量的H2O2; 中度和重度协同胁迫时, APX活性降低且显著低于干旱胁迫.一方面可能是由于协同胁迫导致的严重损伤, H2O2大量积累; 另一方面则是POD和CAT清除能力的降低使四季桂整体抗氧化能力下降.DHAR活性呈先增加后下降的趋势, DHA亦可通过DHAR被还原为AsA.本研究结果显示, 随着DHAR活性增强与AsA含量降低, DHA含量增加, 这与理论不相符.究其原因可能是由于逆境中, AsA-GSH循环以APX清除作用优先, DHAR则主要维持循环的平衡; 轻度和中度协同胁迫下, DHAR活性显著升高且高于干旱胁迫, 表现出较高的还原能力; 重度协同胁迫下, DHAR活性降低, 植物体无法利用GSH提供的电子供体将DHA还原成AsA.干旱和协同胁迫下, MDHAR先上升后下降, 与AsA含量呈负相关, 与APX活性呈正相关; 轻度和中度协同胁迫下MDHAR有效维持了AsA含量, 缓解四季桂受到的伤害; 重度协同胁迫下受APX活性的影响, MDHAR活性降低.GR能将GSSG还原为GSH, 干旱和协同胁迫下, GR活性均呈先增加后下降的变化趋势, 与GSH呈正相关, 与GSSG呈负相关(Wang et al., 2012).四季桂通过调节GR活性来调节GSH合成, 保持其水平以抵御氧化胁迫.但这一作用是有限度的, 重度胁迫尤其是协同胁迫时, GR活性显著降低, AsA-GSH循环无法提供充足的GSH, DHA增加, 使得AsA水平降低. ...

1
1977

... SOD (EC1.15.1.1)活性测定参照Giannopolitis 和Ries (1977)的方法.POD (EC1.11.1.7)和CAT (EC1.11.1.6)活性测定参照Kumari等(2006)的方法. ...

1

... 桂花(Osmanthus fragrans)是木樨科(Oleaceae)木樨属常绿乔木或灌木, 栽培历史悠久, 兼具生态效应和经济效应.近年来, 全球气温升高, 夏季降水量减少以及极端天气的增加影响了陆地生态系统(Hijioka et al., 2014).我国南方亚热带地区夏季受副热带高压影响, 易出现晴热干燥天气, 造成干旱高温环境(陈晓峰等, 2016), 严重影响植物的正常生长.本研究基于以上环境状况, 以天香台阁四季桂(O. fragrans cv. ‘Tian Xiang TaiGe’)为材料, 研究干旱高温胁迫下四季桂ROS的产生状况, 阐明干旱高温胁迫对抗氧化酶活性和AsA-GSH循环的影响, 并进一步探讨抗氧化防御系统对不同程度干旱、高温和干旱高温协同胁迫响应的差异, 以期阐明四季桂对干旱高温胁迫的生理生化响应机制, 并为揭示干旱高温胁迫下四季桂的耐胁迫能力, 进而为四季桂的抗逆栽培研究提供理论依据. ...

0
1999


0
1984


1
2008

... 植物细胞器新陈代谢途径对环境变化十分敏感, 环境胁迫会导致细胞代谢失衡, 进而引起氧化胁迫和活性氧(reactive oxygen species, ROS)积累(Suzuki et al., 2012).ROS过多积累一方面会导致生物膜脂过氧化, 形成有毒产物, 如丙二醛(malondialdehyde, MDA) (Imahori et al., 2008); 另一方面严重破坏叶绿体结构, 削弱植物光合作用的能力, 对植物造成伤害(Lei et al., 2015).植物体内存在抗氧化防御系统, 可在一定程度上减缓这种伤害(吴永波和叶波, 2016).植物通过调节超氧化物歧化酶(superoxide dismutase, SOD)、过氧化物酶(peroxidase, POD)和过氧化氢酶(catalase, CAT)等抗氧化酶活性来清除过多的ROS, 维持体内氧化还原平衡(Lei et al., 2015).诸多研究表明, 植物抗氧化酶对非生物胁迫具有一定的调节作用.低温胁迫下, 油菜(Brassica napus)幼苗SOD和POD活性呈先升后降的趋势, CAT活性逐渐增强(Lei et al., 2015); 盐胁迫下SOD、CAT和POD活性先增后降(Lei et al., 2016).高温胁迫使小麦(Tri- ticum aestivum) SOD和CAT活性显著增强, POD活性显著降低(Li et al., 2017).抗坏血酸-谷胱甘肽循环(ascorbate glutathione cycle, AsA-GSH cycle)是维持植物细胞平衡的中心, 可有效抵抗植物氧化胁迫(Sharma et al., 2012).抗坏血酸(ascorbic acid, AsA)作为抗坏血酸过氧化物酶(ascorbate peroxidase, APX)的电子供体用以清除H2O2.氧化生成的单脱氢抗坏血酸(monodehydroascobate, MDHA)一方面可经单脱氢抗坏血酸还原酶(monodehydroascobate reductase, MDHAR)还原, 另一方面可歧化生成AsA和脱氢抗坏血酸(dehydroascorbate, DHA), 脱氢抗坏血酸还原酶(dehydroascorbate reductase, DHAR)利用还原型谷胱甘肽(glutathione, GSH)作为电子供体可将DHA还原为AsA, 产生的氧化型谷胱甘肽(oxi- dized glutathione, GSSG)又可被谷胱甘肽还原酶(glutathione reductase, GR)再还原为GSH, 从而完成清除H2O2等活性氧并再生AsA和GSH的过程(Sharma et al., 2012).植物通过增加抗氧化剂含量和循环相关酶活性提高AsA-GSH循环效率以适应环境胁迫.茄子(Solanum melongena)在锌胁迫下及绿豆(Vigna radiata)在高温胁迫下AsA和GSH含量均显著上升, AsA/DHA和GSH/GSSG显著降低, APX、DHAR、MDHAR和GR活性显著增强(Wu et al., 2015; Nahar et al., 2015).干旱高温协同胁迫下, 植物叶片中的AsA和GSH被大量消耗, 其含量减少, 降幅显著高于单一胁迫(Arab et al., 2016; 谢华英等, 2016).抗氧化防御系统可有效增强植物的抗逆性, 使其更好地适应逆境. ...

0
2006


3
2015

... 植物细胞器新陈代谢途径对环境变化十分敏感, 环境胁迫会导致细胞代谢失衡, 进而引起氧化胁迫和活性氧(reactive oxygen species, ROS)积累(Suzuki et al., 2012).ROS过多积累一方面会导致生物膜脂过氧化, 形成有毒产物, 如丙二醛(malondialdehyde, MDA) (Imahori et al., 2008); 另一方面严重破坏叶绿体结构, 削弱植物光合作用的能力, 对植物造成伤害(Lei et al., 2015).植物体内存在抗氧化防御系统, 可在一定程度上减缓这种伤害(吴永波和叶波, 2016).植物通过调节超氧化物歧化酶(superoxide dismutase, SOD)、过氧化物酶(peroxidase, POD)和过氧化氢酶(catalase, CAT)等抗氧化酶活性来清除过多的ROS, 维持体内氧化还原平衡(Lei et al., 2015).诸多研究表明, 植物抗氧化酶对非生物胁迫具有一定的调节作用.低温胁迫下, 油菜(Brassica napus)幼苗SOD和POD活性呈先升后降的趋势, CAT活性逐渐增强(Lei et al., 2015); 盐胁迫下SOD、CAT和POD活性先增后降(Lei et al., 2016).高温胁迫使小麦(Tri- ticum aestivum) SOD和CAT活性显著增强, POD活性显著降低(Li et al., 2017).抗坏血酸-谷胱甘肽循环(ascorbate glutathione cycle, AsA-GSH cycle)是维持植物细胞平衡的中心, 可有效抵抗植物氧化胁迫(Sharma et al., 2012).抗坏血酸(ascorbic acid, AsA)作为抗坏血酸过氧化物酶(ascorbate peroxidase, APX)的电子供体用以清除H2O2.氧化生成的单脱氢抗坏血酸(monodehydroascobate, MDHA)一方面可经单脱氢抗坏血酸还原酶(monodehydroascobate reductase, MDHAR)还原, 另一方面可歧化生成AsA和脱氢抗坏血酸(dehydroascorbate, DHA), 脱氢抗坏血酸还原酶(dehydroascorbate reductase, DHAR)利用还原型谷胱甘肽(glutathione, GSH)作为电子供体可将DHA还原为AsA, 产生的氧化型谷胱甘肽(oxi- dized glutathione, GSSG)又可被谷胱甘肽还原酶(glutathione reductase, GR)再还原为GSH, 从而完成清除H2O2等活性氧并再生AsA和GSH的过程(Sharma et al., 2012).植物通过增加抗氧化剂含量和循环相关酶活性提高AsA-GSH循环效率以适应环境胁迫.茄子(Solanum melongena)在锌胁迫下及绿豆(Vigna radiata)在高温胁迫下AsA和GSH含量均显著上升, AsA/DHA和GSH/GSSG显著降低, APX、DHAR、MDHAR和GR活性显著增强(Wu et al., 2015; Nahar et al., 2015).干旱高温协同胁迫下, 植物叶片中的AsA和GSH被大量消耗, 其含量减少, 降幅显著高于单一胁迫(Arab et al., 2016; 谢华英等, 2016).抗氧化防御系统可有效增强植物的抗逆性, 使其更好地适应逆境. ...
... ).植物通过调节超氧化物歧化酶(superoxide dismutase, SOD)、过氧化物酶(peroxidase, POD)和过氧化氢酶(catalase, CAT)等抗氧化酶活性来清除过多的ROS, 维持体内氧化还原平衡(Lei et al., 2015).诸多研究表明, 植物抗氧化酶对非生物胁迫具有一定的调节作用.低温胁迫下, 油菜(Brassica napus)幼苗SOD和POD活性呈先升后降的趋势, CAT活性逐渐增强(Lei et al., 2015); 盐胁迫下SOD、CAT和POD活性先增后降(Lei et al., 2016).高温胁迫使小麦(Tri- ticum aestivum) SOD和CAT活性显著增强, POD活性显著降低(Li et al., 2017).抗坏血酸-谷胱甘肽循环(ascorbate glutathione cycle, AsA-GSH cycle)是维持植物细胞平衡的中心, 可有效抵抗植物氧化胁迫(Sharma et al., 2012).抗坏血酸(ascorbic acid, AsA)作为抗坏血酸过氧化物酶(ascorbate peroxidase, APX)的电子供体用以清除H2O2.氧化生成的单脱氢抗坏血酸(monodehydroascobate, MDHA)一方面可经单脱氢抗坏血酸还原酶(monodehydroascobate reductase, MDHAR)还原, 另一方面可歧化生成AsA和脱氢抗坏血酸(dehydroascorbate, DHA), 脱氢抗坏血酸还原酶(dehydroascorbate reductase, DHAR)利用还原型谷胱甘肽(glutathione, GSH)作为电子供体可将DHA还原为AsA, 产生的氧化型谷胱甘肽(oxi- dized glutathione, GSSG)又可被谷胱甘肽还原酶(glutathione reductase, GR)再还原为GSH, 从而完成清除H2O2等活性氧并再生AsA和GSH的过程(Sharma et al., 2012).植物通过增加抗氧化剂含量和循环相关酶活性提高AsA-GSH循环效率以适应环境胁迫.茄子(Solanum melongena)在锌胁迫下及绿豆(Vigna radiata)在高温胁迫下AsA和GSH含量均显著上升, AsA/DHA和GSH/GSSG显著降低, APX、DHAR、MDHAR和GR活性显著增强(Wu et al., 2015; Nahar et al., 2015).干旱高温协同胁迫下, 植物叶片中的AsA和GSH被大量消耗, 其含量减少, 降幅显著高于单一胁迫(Arab et al., 2016; 谢华英等, 2016).抗氧化防御系统可有效增强植物的抗逆性, 使其更好地适应逆境. ...
... )幼苗SOD和POD活性呈先升后降的趋势, CAT活性逐渐增强(Lei et al., 2015); 盐胁迫下SOD、CAT和POD活性先增后降(Lei et al., 2016).高温胁迫使小麦(Tri- ticum aestivum) SOD和CAT活性显著增强, POD活性显著降低(Li et al., 2017).抗坏血酸-谷胱甘肽循环(ascorbate glutathione cycle, AsA-GSH cycle)是维持植物细胞平衡的中心, 可有效抵抗植物氧化胁迫(Sharma et al., 2012).抗坏血酸(ascorbic acid, AsA)作为抗坏血酸过氧化物酶(ascorbate peroxidase, APX)的电子供体用以清除H2O2.氧化生成的单脱氢抗坏血酸(monodehydroascobate, MDHA)一方面可经单脱氢抗坏血酸还原酶(monodehydroascobate reductase, MDHAR)还原, 另一方面可歧化生成AsA和脱氢抗坏血酸(dehydroascorbate, DHA), 脱氢抗坏血酸还原酶(dehydroascorbate reductase, DHAR)利用还原型谷胱甘肽(glutathione, GSH)作为电子供体可将DHA还原为AsA, 产生的氧化型谷胱甘肽(oxi- dized glutathione, GSSG)又可被谷胱甘肽还原酶(glutathione reductase, GR)再还原为GSH, 从而完成清除H2O2等活性氧并再生AsA和GSH的过程(Sharma et al., 2012).植物通过增加抗氧化剂含量和循环相关酶活性提高AsA-GSH循环效率以适应环境胁迫.茄子(Solanum melongena)在锌胁迫下及绿豆(Vigna radiata)在高温胁迫下AsA和GSH含量均显著上升, AsA/DHA和GSH/GSSG显著降低, APX、DHAR、MDHAR和GR活性显著增强(Wu et al., 2015; Nahar et al., 2015).干旱高温协同胁迫下, 植物叶片中的AsA和GSH被大量消耗, 其含量减少, 降幅显著高于单一胁迫(Arab et al., 2016; 谢华英等, 2016).抗氧化防御系统可有效增强植物的抗逆性, 使其更好地适应逆境. ...

1
2016

... 植物细胞器新陈代谢途径对环境变化十分敏感, 环境胁迫会导致细胞代谢失衡, 进而引起氧化胁迫和活性氧(reactive oxygen species, ROS)积累(Suzuki et al., 2012).ROS过多积累一方面会导致生物膜脂过氧化, 形成有毒产物, 如丙二醛(malondialdehyde, MDA) (Imahori et al., 2008); 另一方面严重破坏叶绿体结构, 削弱植物光合作用的能力, 对植物造成伤害(Lei et al., 2015).植物体内存在抗氧化防御系统, 可在一定程度上减缓这种伤害(吴永波和叶波, 2016).植物通过调节超氧化物歧化酶(superoxide dismutase, SOD)、过氧化物酶(peroxidase, POD)和过氧化氢酶(catalase, CAT)等抗氧化酶活性来清除过多的ROS, 维持体内氧化还原平衡(Lei et al., 2015).诸多研究表明, 植物抗氧化酶对非生物胁迫具有一定的调节作用.低温胁迫下, 油菜(Brassica napus)幼苗SOD和POD活性呈先升后降的趋势, CAT活性逐渐增强(Lei et al., 2015); 盐胁迫下SOD、CAT和POD活性先增后降(Lei et al., 2016).高温胁迫使小麦(Tri- ticum aestivum) SOD和CAT活性显著增强, POD活性显著降低(Li et al., 2017).抗坏血酸-谷胱甘肽循环(ascorbate glutathione cycle, AsA-GSH cycle)是维持植物细胞平衡的中心, 可有效抵抗植物氧化胁迫(Sharma et al., 2012).抗坏血酸(ascorbic acid, AsA)作为抗坏血酸过氧化物酶(ascorbate peroxidase, APX)的电子供体用以清除H2O2.氧化生成的单脱氢抗坏血酸(monodehydroascobate, MDHA)一方面可经单脱氢抗坏血酸还原酶(monodehydroascobate reductase, MDHAR)还原, 另一方面可歧化生成AsA和脱氢抗坏血酸(dehydroascorbate, DHA), 脱氢抗坏血酸还原酶(dehydroascorbate reductase, DHAR)利用还原型谷胱甘肽(glutathione, GSH)作为电子供体可将DHA还原为AsA, 产生的氧化型谷胱甘肽(oxi- dized glutathione, GSSG)又可被谷胱甘肽还原酶(glutathione reductase, GR)再还原为GSH, 从而完成清除H2O2等活性氧并再生AsA和GSH的过程(Sharma et al., 2012).植物通过增加抗氧化剂含量和循环相关酶活性提高AsA-GSH循环效率以适应环境胁迫.茄子(Solanum melongena)在锌胁迫下及绿豆(Vigna radiata)在高温胁迫下AsA和GSH含量均显著上升, AsA/DHA和GSH/GSSG显著降低, APX、DHAR、MDHAR和GR活性显著增强(Wu et al., 2015; Nahar et al., 2015).干旱高温协同胁迫下, 植物叶片中的AsA和GSH被大量消耗, 其含量减少, 降幅显著高于单一胁迫(Arab et al., 2016; 谢华英等, 2016).抗氧化防御系统可有效增强植物的抗逆性, 使其更好地适应逆境. ...

1
2017

... 植物细胞器新陈代谢途径对环境变化十分敏感, 环境胁迫会导致细胞代谢失衡, 进而引起氧化胁迫和活性氧(reactive oxygen species, ROS)积累(Suzuki et al., 2012).ROS过多积累一方面会导致生物膜脂过氧化, 形成有毒产物, 如丙二醛(malondialdehyde, MDA) (Imahori et al., 2008); 另一方面严重破坏叶绿体结构, 削弱植物光合作用的能力, 对植物造成伤害(Lei et al., 2015).植物体内存在抗氧化防御系统, 可在一定程度上减缓这种伤害(吴永波和叶波, 2016).植物通过调节超氧化物歧化酶(superoxide dismutase, SOD)、过氧化物酶(peroxidase, POD)和过氧化氢酶(catalase, CAT)等抗氧化酶活性来清除过多的ROS, 维持体内氧化还原平衡(Lei et al., 2015).诸多研究表明, 植物抗氧化酶对非生物胁迫具有一定的调节作用.低温胁迫下, 油菜(Brassica napus)幼苗SOD和POD活性呈先升后降的趋势, CAT活性逐渐增强(Lei et al., 2015); 盐胁迫下SOD、CAT和POD活性先增后降(Lei et al., 2016).高温胁迫使小麦(Tri- ticum aestivum) SOD和CAT活性显著增强, POD活性显著降低(Li et al., 2017).抗坏血酸-谷胱甘肽循环(ascorbate glutathione cycle, AsA-GSH cycle)是维持植物细胞平衡的中心, 可有效抵抗植物氧化胁迫(Sharma et al., 2012).抗坏血酸(ascorbic acid, AsA)作为抗坏血酸过氧化物酶(ascorbate peroxidase, APX)的电子供体用以清除H2O2.氧化生成的单脱氢抗坏血酸(monodehydroascobate, MDHA)一方面可经单脱氢抗坏血酸还原酶(monodehydroascobate reductase, MDHAR)还原, 另一方面可歧化生成AsA和脱氢抗坏血酸(dehydroascorbate, DHA), 脱氢抗坏血酸还原酶(dehydroascorbate reductase, DHAR)利用还原型谷胱甘肽(glutathione, GSH)作为电子供体可将DHA还原为AsA, 产生的氧化型谷胱甘肽(oxi- dized glutathione, GSSG)又可被谷胱甘肽还原酶(glutathione reductase, GR)再还原为GSH, 从而完成清除H2O2等活性氧并再生AsA和GSH的过程(Sharma et al., 2012).植物通过增加抗氧化剂含量和循环相关酶活性提高AsA-GSH循环效率以适应环境胁迫.茄子(Solanum melongena)在锌胁迫下及绿豆(Vigna radiata)在高温胁迫下AsA和GSH含量均显著上升, AsA/DHA和GSH/GSSG显著降低, APX、DHAR、MDHAR和GR活性显著增强(Wu et al., 2015; Nahar et al., 2015).干旱高温协同胁迫下, 植物叶片中的AsA和GSH被大量消耗, 其含量减少, 降幅显著高于单一胁迫(Arab et al., 2016; 谢华英等, 2016).抗氧化防御系统可有效增强植物的抗逆性, 使其更好地适应逆境. ...

1
2011

... AsA和GSH是重要的抗氧化剂, 有利于维持细胞内氧化还原平衡, AsA/DHA和GSH/GSSG体现了AsA和GSH的氧化还原状态, 可以作为抗氧化剂调控信号, 较高的AsA/DHA和GSH/GSSG有利于维持植物体内的氧化还原环境, 减少胁迫所造成的伤害(Liu et al., 2011).干旱胁迫下苹果(Malus pumila)叶片AsA和GSH含量先增后降, AsA/DHA和GSH/GSSG均不断下降; 高温胁迫过程中, 苹果叶片AsA含量先轻微上升而后下降, AsA/DHA显著下降(Ma et al., 2011).干旱高温协同胁迫下, 海枣(Phoenix dactylifera)叶片AsA和GSH含量下降(Arab et al., 2016).本研究结果表明, 轻度和中度干旱胁迫时, 四季桂叶片AsA含量无显著变化, 可能是由于叶片在消耗AsA清除H2O2的同时, 不断合成更多的AsA, 使其含量维持稳定; 重度干旱胁迫下, AsA含量显著降低, 可能是由于H2O2的过量积累消耗了大量AsA, 且无法及时得到补充.干旱胁迫下DHA含量呈先增后降的趋势, 中度干旱胁迫时达到峰值, 这是由于四季桂通过调整DHA的合成维持较高的AsA及其还原力(AsA/DHA); 随着干旱胁迫程度的增强, 四季桂受到的损伤加重, AsA/DHA逐渐下降, 由于胁迫造成的伤害, 导致AsA和DHA合成量减少, 进而造成还原力降低.高温胁迫下, DHA含量显著升高, 与干旱胁迫结果相似.干旱高温协同胁迫下, AsA及其还原力(AsA/DHA)逐渐降低, 低于单一胁迫, 这与Ma等(2011)的研究结果相似; DHA含量先上升后下降, 协同胁迫对四季桂造成进一步伤害, AsA和DHA合成效率降低.GSH含量及其还原力(GSH/GSSG)在单一干旱胁迫和干旱高温协同胁迫时均呈先升高后下降的趋势, 轻度和中度干旱时, GSH还原力增强, 重度干旱胁迫及协同胁迫时降低.此外, AsA/DHA和GSH/GSSG变化的差异表明, 胁迫造成AsA还原力更强, 使植物能更好地适应环境的变化. ...

1
2011

... AsA和GSH是重要的抗氧化剂, 有利于维持细胞内氧化还原平衡, AsA/DHA和GSH/GSSG体现了AsA和GSH的氧化还原状态, 可以作为抗氧化剂调控信号, 较高的AsA/DHA和GSH/GSSG有利于维持植物体内的氧化还原环境, 减少胁迫所造成的伤害(Liu et al., 2011).干旱胁迫下苹果(Malus pumila)叶片AsA和GSH含量先增后降, AsA/DHA和GSH/GSSG均不断下降; 高温胁迫过程中, 苹果叶片AsA含量先轻微上升而后下降, AsA/DHA显著下降(Ma et al., 2011).干旱高温协同胁迫下, 海枣(Phoenix dactylifera)叶片AsA和GSH含量下降(Arab et al., 2016).本研究结果表明, 轻度和中度干旱胁迫时, 四季桂叶片AsA含量无显著变化, 可能是由于叶片在消耗AsA清除H2O2的同时, 不断合成更多的AsA, 使其含量维持稳定; 重度干旱胁迫下, AsA含量显著降低, 可能是由于H2O2的过量积累消耗了大量AsA, 且无法及时得到补充.干旱胁迫下DHA含量呈先增后降的趋势, 中度干旱胁迫时达到峰值, 这是由于四季桂通过调整DHA的合成维持较高的AsA及其还原力(AsA/DHA); 随着干旱胁迫程度的增强, 四季桂受到的损伤加重, AsA/DHA逐渐下降, 由于胁迫造成的伤害, 导致AsA和DHA合成量减少, 进而造成还原力降低.高温胁迫下, DHA含量显著升高, 与干旱胁迫结果相似.干旱高温协同胁迫下, AsA及其还原力(AsA/DHA)逐渐降低, 低于单一胁迫, 这与Ma等(2011)的研究结果相似; DHA含量先上升后下降, 协同胁迫对四季桂造成进一步伤害, AsA和DHA合成效率降低.GSH含量及其还原力(GSH/GSSG)在单一干旱胁迫和干旱高温协同胁迫时均呈先升高后下降的趋势, 轻度和中度干旱时, GSH还原力增强, 重度干旱胁迫及协同胁迫时降低.此外, AsA/DHA和GSH/GSSG变化的差异表明, 胁迫造成AsA还原力更强, 使植物能更好地适应环境的变化. ...

1
2015

... 植物细胞器新陈代谢途径对环境变化十分敏感, 环境胁迫会导致细胞代谢失衡, 进而引起氧化胁迫和活性氧(reactive oxygen species, ROS)积累(Suzuki et al., 2012).ROS过多积累一方面会导致生物膜脂过氧化, 形成有毒产物, 如丙二醛(malondialdehyde, MDA) (Imahori et al., 2008); 另一方面严重破坏叶绿体结构, 削弱植物光合作用的能力, 对植物造成伤害(Lei et al., 2015).植物体内存在抗氧化防御系统, 可在一定程度上减缓这种伤害(吴永波和叶波, 2016).植物通过调节超氧化物歧化酶(superoxide dismutase, SOD)、过氧化物酶(peroxidase, POD)和过氧化氢酶(catalase, CAT)等抗氧化酶活性来清除过多的ROS, 维持体内氧化还原平衡(Lei et al., 2015).诸多研究表明, 植物抗氧化酶对非生物胁迫具有一定的调节作用.低温胁迫下, 油菜(Brassica napus)幼苗SOD和POD活性呈先升后降的趋势, CAT活性逐渐增强(Lei et al., 2015); 盐胁迫下SOD、CAT和POD活性先增后降(Lei et al., 2016).高温胁迫使小麦(Tri- ticum aestivum) SOD和CAT活性显著增强, POD活性显著降低(Li et al., 2017).抗坏血酸-谷胱甘肽循环(ascorbate glutathione cycle, AsA-GSH cycle)是维持植物细胞平衡的中心, 可有效抵抗植物氧化胁迫(Sharma et al., 2012).抗坏血酸(ascorbic acid, AsA)作为抗坏血酸过氧化物酶(ascorbate peroxidase, APX)的电子供体用以清除H2O2.氧化生成的单脱氢抗坏血酸(monodehydroascobate, MDHA)一方面可经单脱氢抗坏血酸还原酶(monodehydroascobate reductase, MDHAR)还原, 另一方面可歧化生成AsA和脱氢抗坏血酸(dehydroascorbate, DHA), 脱氢抗坏血酸还原酶(dehydroascorbate reductase, DHAR)利用还原型谷胱甘肽(glutathione, GSH)作为电子供体可将DHA还原为AsA, 产生的氧化型谷胱甘肽(oxi- dized glutathione, GSSG)又可被谷胱甘肽还原酶(glutathione reductase, GR)再还原为GSH, 从而完成清除H2O2等活性氧并再生AsA和GSH的过程(Sharma et al., 2012).植物通过增加抗氧化剂含量和循环相关酶活性提高AsA-GSH循环效率以适应环境胁迫.茄子(Solanum melongena)在锌胁迫下及绿豆(Vigna radiata)在高温胁迫下AsA和GSH含量均显著上升, AsA/DHA和GSH/GSSG显著降低, APX、DHAR、MDHAR和GR活性显著增强(Wu et al., 2015; Nahar et al., 2015).干旱高温协同胁迫下, 植物叶片中的AsA和GSH被大量消耗, 其含量减少, 降幅显著高于单一胁迫(Arab et al., 2016; 谢华英等, 2016).抗氧化防御系统可有效增强植物的抗逆性, 使其更好地适应逆境. ...

0
1981


1
2012

... 取0.2 g样品加液氮研磨细碎均匀, 加入5 mL 5% (w/v)的偏磷酸, 混匀后15 000 ×g离心15分钟(4°C), 取上清液参照Rai等(2012)的方法测定抗坏血酸(AsA)和谷胱甘肽(GSH)含量. ...

1
2003

... 干旱和高温胁迫大多是同时存在的, 高温促进蒸腾, 使土壤水分迅速丧失, 加剧干旱胁迫, 多重胁迫对植物伤害远远大于单一胁迫(Root et al., 2003).本研究中, 单一胁迫下, 四季桂叶片ROS和MDA含量显著增加, 干旱胁迫下的增幅高于高温胁迫, 损伤更严重, 说明四季桂对干旱胁迫的敏感性更高; 干旱高温协同胁迫下ROS含量低于单一胁迫, 中度协同胁迫下膜脂过氧化程度最大, 重度协同胁迫下, ROS和MDA含量显著降低, 协同胁迫对四季桂叶片造成复合伤害, 当伤害突破临界点时, 可能导致叶片死亡, 细胞膜系统瘫痪.Liu等(2011)对6种木本植物干旱胁迫的研究表明, SOD、POD和CAT活性之间呈正相关, SOD活性的增强伴随着CAT和POD活性的提高, 可以更好地清除过量H2O2.本研究表明, 单一胁迫下SOD活性逐渐提高, 与O2产生速率具有一致的变化趋势, 可能由于胁迫程度的加剧增加了O2的产生, O2积累的同时又刺激SOD活性增强; 单一胁迫下POD和CAT活性显著增强, 与H2O2含量呈正相关, H2O2的积累促进了CAT和POD应激反应, 使其活性增强, 重度干旱胁迫下CAT活性提高, POD活性降低, 这与Liu等(2011)的研究结果不一致, 可能是由于四季桂体内CAT较POD清除H2O2效果更好, 持续时间更长, 更稳定.Silva等(2010)研究表明, 高温刺激麻疯树(Jatropha curcas) CAT和SOD活性增强, 但在干旱高温协同胁迫时受到强烈抑制, 膜脂过氧化和H2O2的高水平表明, ROS清除系统不足以保护叶片免受氧化损伤, 特别是协同胁迫.本研究中轻度和中度干旱高温协同胁迫时, 四季桂叶片SOD和POD活性高于干旱胁迫, 表现出更高的清除效率和抗氧化防御能力(Silva et al., 2010); 重度协同胁迫下抗氧化酶活性显著降低, 低于干旱胁迫, 可能是由于细胞结构、透性、功能的改变、破坏和死亡, 使生理功能紊乱, 进而引起SOD、POD和CAT活性下降, 酶系统无法正常运行(Silva et al., 2010). ...

0
1977


2
2012

... 植物细胞器新陈代谢途径对环境变化十分敏感, 环境胁迫会导致细胞代谢失衡, 进而引起氧化胁迫和活性氧(reactive oxygen species, ROS)积累(Suzuki et al., 2012).ROS过多积累一方面会导致生物膜脂过氧化, 形成有毒产物, 如丙二醛(malondialdehyde, MDA) (Imahori et al., 2008); 另一方面严重破坏叶绿体结构, 削弱植物光合作用的能力, 对植物造成伤害(Lei et al., 2015).植物体内存在抗氧化防御系统, 可在一定程度上减缓这种伤害(吴永波和叶波, 2016).植物通过调节超氧化物歧化酶(superoxide dismutase, SOD)、过氧化物酶(peroxidase, POD)和过氧化氢酶(catalase, CAT)等抗氧化酶活性来清除过多的ROS, 维持体内氧化还原平衡(Lei et al., 2015).诸多研究表明, 植物抗氧化酶对非生物胁迫具有一定的调节作用.低温胁迫下, 油菜(Brassica napus)幼苗SOD和POD活性呈先升后降的趋势, CAT活性逐渐增强(Lei et al., 2015); 盐胁迫下SOD、CAT和POD活性先增后降(Lei et al., 2016).高温胁迫使小麦(Tri- ticum aestivum) SOD和CAT活性显著增强, POD活性显著降低(Li et al., 2017).抗坏血酸-谷胱甘肽循环(ascorbate glutathione cycle, AsA-GSH cycle)是维持植物细胞平衡的中心, 可有效抵抗植物氧化胁迫(Sharma et al., 2012).抗坏血酸(ascorbic acid, AsA)作为抗坏血酸过氧化物酶(ascorbate peroxidase, APX)的电子供体用以清除H2O2.氧化生成的单脱氢抗坏血酸(monodehydroascobate, MDHA)一方面可经单脱氢抗坏血酸还原酶(monodehydroascobate reductase, MDHAR)还原, 另一方面可歧化生成AsA和脱氢抗坏血酸(dehydroascorbate, DHA), 脱氢抗坏血酸还原酶(dehydroascorbate reductase, DHAR)利用还原型谷胱甘肽(glutathione, GSH)作为电子供体可将DHA还原为AsA, 产生的氧化型谷胱甘肽(oxi- dized glutathione, GSSG)又可被谷胱甘肽还原酶(glutathione reductase, GR)再还原为GSH, 从而完成清除H2O2等活性氧并再生AsA和GSH的过程(Sharma et al., 2012).植物通过增加抗氧化剂含量和循环相关酶活性提高AsA-GSH循环效率以适应环境胁迫.茄子(Solanum melongena)在锌胁迫下及绿豆(Vigna radiata)在高温胁迫下AsA和GSH含量均显著上升, AsA/DHA和GSH/GSSG显著降低, APX、DHAR、MDHAR和GR活性显著增强(Wu et al., 2015; Nahar et al., 2015).干旱高温协同胁迫下, 植物叶片中的AsA和GSH被大量消耗, 其含量减少, 降幅显著高于单一胁迫(Arab et al., 2016; 谢华英等, 2016).抗氧化防御系统可有效增强植物的抗逆性, 使其更好地适应逆境. ...
... 等活性氧并再生AsA和GSH的过程(Sharma et al., 2012).植物通过增加抗氧化剂含量和循环相关酶活性提高AsA-GSH循环效率以适应环境胁迫.茄子(Solanum melongena)在锌胁迫下及绿豆(Vigna radiata)在高温胁迫下AsA和GSH含量均显著上升, AsA/DHA和GSH/GSSG显著降低, APX、DHAR、MDHAR和GR活性显著增强(Wu et al., 2015; Nahar et al., 2015).干旱高温协同胁迫下, 植物叶片中的AsA和GSH被大量消耗, 其含量减少, 降幅显著高于单一胁迫(Arab et al., 2016; 谢华英等, 2016).抗氧化防御系统可有效增强植物的抗逆性, 使其更好地适应逆境. ...

3
2010

... 干旱和高温胁迫大多是同时存在的, 高温促进蒸腾, 使土壤水分迅速丧失, 加剧干旱胁迫, 多重胁迫对植物伤害远远大于单一胁迫(Root et al., 2003).本研究中, 单一胁迫下, 四季桂叶片ROS和MDA含量显著增加, 干旱胁迫下的增幅高于高温胁迫, 损伤更严重, 说明四季桂对干旱胁迫的敏感性更高; 干旱高温协同胁迫下ROS含量低于单一胁迫, 中度协同胁迫下膜脂过氧化程度最大, 重度协同胁迫下, ROS和MDA含量显著降低, 协同胁迫对四季桂叶片造成复合伤害, 当伤害突破临界点时, 可能导致叶片死亡, 细胞膜系统瘫痪.Liu等(2011)对6种木本植物干旱胁迫的研究表明, SOD、POD和CAT活性之间呈正相关, SOD活性的增强伴随着CAT和POD活性的提高, 可以更好地清除过量H2O2.本研究表明, 单一胁迫下SOD活性逐渐提高, 与O2产生速率具有一致的变化趋势, 可能由于胁迫程度的加剧增加了O2的产生, O2积累的同时又刺激SOD活性增强; 单一胁迫下POD和CAT活性显著增强, 与H2O2含量呈正相关, H2O2的积累促进了CAT和POD应激反应, 使其活性增强, 重度干旱胁迫下CAT活性提高, POD活性降低, 这与Liu等(2011)的研究结果不一致, 可能是由于四季桂体内CAT较POD清除H2O2效果更好, 持续时间更长, 更稳定.Silva等(2010)研究表明, 高温刺激麻疯树(Jatropha curcas) CAT和SOD活性增强, 但在干旱高温协同胁迫时受到强烈抑制, 膜脂过氧化和H2O2的高水平表明, ROS清除系统不足以保护叶片免受氧化损伤, 特别是协同胁迫.本研究中轻度和中度干旱高温协同胁迫时, 四季桂叶片SOD和POD活性高于干旱胁迫, 表现出更高的清除效率和抗氧化防御能力(Silva et al., 2010); 重度协同胁迫下抗氧化酶活性显著降低, 低于干旱胁迫, 可能是由于细胞结构、透性、功能的改变、破坏和死亡, 使生理功能紊乱, 进而引起SOD、POD和CAT活性下降, 酶系统无法正常运行(Silva et al., 2010). ...
... ); 重度协同胁迫下抗氧化酶活性显著降低, 低于干旱胁迫, 可能是由于细胞结构、透性、功能的改变、破坏和死亡, 使生理功能紊乱, 进而引起SOD、POD和CAT活性下降, 酶系统无法正常运行(Silva et al., 2010). ...
... AsA-GSH循环是植物抗氧化代谢的重要组成部分, 可以直接保护叶绿体免于氧化损伤(Foyer and Noctor, 2011), 维持细胞内氧化还原平衡.干旱和高温胁迫下麻疯树APX含量显著上升, 且协同胁迫显著高于单一胁迫(Silva et al., 2010).随着干旱胁迫时间的延长, 楸子(Malus prunifolia) APX、GR、DHAR和MDHAR均呈现先升后降的变化趋势(Wang et al., 2012).四季桂APX活性变化与H2O2含量呈负相关, 干旱和高温胁迫下APX活性显著增强, 与Zou等(2016)的研究结果一致.单一胁迫和轻度协同胁迫时, APX能够有效清除过量的H2O2; 中度和重度协同胁迫时, APX活性降低且显著低于干旱胁迫.一方面可能是由于协同胁迫导致的严重损伤, H2O2大量积累; 另一方面则是POD和CAT清除能力的降低使四季桂整体抗氧化能力下降.DHAR活性呈先增加后下降的趋势, DHA亦可通过DHAR被还原为AsA.本研究结果显示, 随着DHAR活性增强与AsA含量降低, DHA含量增加, 这与理论不相符.究其原因可能是由于逆境中, AsA-GSH循环以APX清除作用优先, DHAR则主要维持循环的平衡; 轻度和中度协同胁迫下, DHAR活性显著升高且高于干旱胁迫, 表现出较高的还原能力; 重度协同胁迫下, DHAR活性降低, 植物体无法利用GSH提供的电子供体将DHA还原成AsA.干旱和协同胁迫下, MDHAR先上升后下降, 与AsA含量呈负相关, 与APX活性呈正相关; 轻度和中度协同胁迫下MDHAR有效维持了AsA含量, 缓解四季桂受到的伤害; 重度协同胁迫下受APX活性的影响, MDHAR活性降低.GR能将GSSG还原为GSH, 干旱和协同胁迫下, GR活性均呈先增加后下降的变化趋势, 与GSH呈正相关, 与GSSG呈负相关(Wang et al., 2012).四季桂通过调节GR活性来调节GSH合成, 保持其水平以抵御氧化胁迫.但这一作用是有限度的, 重度胁迫尤其是协同胁迫时, GR活性显著降低, AsA-GSH循环无法提供充足的GSH, DHA增加, 使得AsA水平降低. ...

1
2012

... 植物细胞器新陈代谢途径对环境变化十分敏感, 环境胁迫会导致细胞代谢失衡, 进而引起氧化胁迫和活性氧(reactive oxygen species, ROS)积累(Suzuki et al., 2012).ROS过多积累一方面会导致生物膜脂过氧化, 形成有毒产物, 如丙二醛(malondialdehyde, MDA) (Imahori et al., 2008); 另一方面严重破坏叶绿体结构, 削弱植物光合作用的能力, 对植物造成伤害(Lei et al., 2015).植物体内存在抗氧化防御系统, 可在一定程度上减缓这种伤害(吴永波和叶波, 2016).植物通过调节超氧化物歧化酶(superoxide dismutase, SOD)、过氧化物酶(peroxidase, POD)和过氧化氢酶(catalase, CAT)等抗氧化酶活性来清除过多的ROS, 维持体内氧化还原平衡(Lei et al., 2015).诸多研究表明, 植物抗氧化酶对非生物胁迫具有一定的调节作用.低温胁迫下, 油菜(Brassica napus)幼苗SOD和POD活性呈先升后降的趋势, CAT活性逐渐增强(Lei et al., 2015); 盐胁迫下SOD、CAT和POD活性先增后降(Lei et al., 2016).高温胁迫使小麦(Tri- ticum aestivum) SOD和CAT活性显著增强, POD活性显著降低(Li et al., 2017).抗坏血酸-谷胱甘肽循环(ascorbate glutathione cycle, AsA-GSH cycle)是维持植物细胞平衡的中心, 可有效抵抗植物氧化胁迫(Sharma et al., 2012).抗坏血酸(ascorbic acid, AsA)作为抗坏血酸过氧化物酶(ascorbate peroxidase, APX)的电子供体用以清除H2O2.氧化生成的单脱氢抗坏血酸(monodehydroascobate, MDHA)一方面可经单脱氢抗坏血酸还原酶(monodehydroascobate reductase, MDHAR)还原, 另一方面可歧化生成AsA和脱氢抗坏血酸(dehydroascorbate, DHA), 脱氢抗坏血酸还原酶(dehydroascorbate reductase, DHAR)利用还原型谷胱甘肽(glutathione, GSH)作为电子供体可将DHA还原为AsA, 产生的氧化型谷胱甘肽(oxi- dized glutathione, GSSG)又可被谷胱甘肽还原酶(glutathione reductase, GR)再还原为GSH, 从而完成清除H2O2等活性氧并再生AsA和GSH的过程(Sharma et al., 2012).植物通过增加抗氧化剂含量和循环相关酶活性提高AsA-GSH循环效率以适应环境胁迫.茄子(Solanum melongena)在锌胁迫下及绿豆(Vigna radiata)在高温胁迫下AsA和GSH含量均显著上升, AsA/DHA和GSH/GSSG显著降低, APX、DHAR、MDHAR和GR活性显著增强(Wu et al., 2015; Nahar et al., 2015).干旱高温协同胁迫下, 植物叶片中的AsA和GSH被大量消耗, 其含量减少, 降幅显著高于单一胁迫(Arab et al., 2016; 谢华英等, 2016).抗氧化防御系统可有效增强植物的抗逆性, 使其更好地适应逆境. ...

2
2012

... AsA-GSH循环是植物抗氧化代谢的重要组成部分, 可以直接保护叶绿体免于氧化损伤(Foyer and Noctor, 2011), 维持细胞内氧化还原平衡.干旱和高温胁迫下麻疯树APX含量显著上升, 且协同胁迫显著高于单一胁迫(Silva et al., 2010).随着干旱胁迫时间的延长, 楸子(Malus prunifolia) APX、GR、DHAR和MDHAR均呈现先升后降的变化趋势(Wang et al., 2012).四季桂APX活性变化与H2O2含量呈负相关, 干旱和高温胁迫下APX活性显著增强, 与Zou等(2016)的研究结果一致.单一胁迫和轻度协同胁迫时, APX能够有效清除过量的H2O2; 中度和重度协同胁迫时, APX活性降低且显著低于干旱胁迫.一方面可能是由于协同胁迫导致的严重损伤, H2O2大量积累; 另一方面则是POD和CAT清除能力的降低使四季桂整体抗氧化能力下降.DHAR活性呈先增加后下降的趋势, DHA亦可通过DHAR被还原为AsA.本研究结果显示, 随着DHAR活性增强与AsA含量降低, DHA含量增加, 这与理论不相符.究其原因可能是由于逆境中, AsA-GSH循环以APX清除作用优先, DHAR则主要维持循环的平衡; 轻度和中度协同胁迫下, DHAR活性显著升高且高于干旱胁迫, 表现出较高的还原能力; 重度协同胁迫下, DHAR活性降低, 植物体无法利用GSH提供的电子供体将DHA还原成AsA.干旱和协同胁迫下, MDHAR先上升后下降, 与AsA含量呈负相关, 与APX活性呈正相关; 轻度和中度协同胁迫下MDHAR有效维持了AsA含量, 缓解四季桂受到的伤害; 重度协同胁迫下受APX活性的影响, MDHAR活性降低.GR能将GSSG还原为GSH, 干旱和协同胁迫下, GR活性均呈先增加后下降的变化趋势, 与GSH呈正相关, 与GSSG呈负相关(Wang et al., 2012).四季桂通过调节GR活性来调节GSH合成, 保持其水平以抵御氧化胁迫.但这一作用是有限度的, 重度胁迫尤其是协同胁迫时, GR活性显著降低, AsA-GSH循环无法提供充足的GSH, DHA增加, 使得AsA水平降低. ...
... 大量积累; 另一方面则是POD和CAT清除能力的降低使四季桂整体抗氧化能力下降.DHAR活性呈先增加后下降的趋势, DHA亦可通过DHAR被还原为AsA.本研究结果显示, 随着DHAR活性增强与AsA含量降低, DHA含量增加, 这与理论不相符.究其原因可能是由于逆境中, AsA-GSH循环以APX清除作用优先, DHAR则主要维持循环的平衡; 轻度和中度协同胁迫下, DHAR活性显著升高且高于干旱胁迫, 表现出较高的还原能力; 重度协同胁迫下, DHAR活性降低, 植物体无法利用GSH提供的电子供体将DHA还原成AsA.干旱和协同胁迫下, MDHAR先上升后下降, 与AsA含量呈负相关, 与APX活性呈正相关; 轻度和中度协同胁迫下MDHAR有效维持了AsA含量, 缓解四季桂受到的伤害; 重度协同胁迫下受APX活性的影响, MDHAR活性降低.GR能将GSSG还原为GSH, 干旱和协同胁迫下, GR活性均呈先增加后下降的变化趋势, 与GSH呈正相关, 与GSSG呈负相关(Wang et al., 2012).四季桂通过调节GR活性来调节GSH合成, 保持其水平以抵御氧化胁迫.但这一作用是有限度的, 重度胁迫尤其是协同胁迫时, GR活性显著降低, AsA-GSH循环无法提供充足的GSH, DHA增加, 使得AsA水平降低. ...

1
2015

... 植物细胞器新陈代谢途径对环境变化十分敏感, 环境胁迫会导致细胞代谢失衡, 进而引起氧化胁迫和活性氧(reactive oxygen species, ROS)积累(Suzuki et al., 2012).ROS过多积累一方面会导致生物膜脂过氧化, 形成有毒产物, 如丙二醛(malondialdehyde, MDA) (Imahori et al., 2008); 另一方面严重破坏叶绿体结构, 削弱植物光合作用的能力, 对植物造成伤害(Lei et al., 2015).植物体内存在抗氧化防御系统, 可在一定程度上减缓这种伤害(吴永波和叶波, 2016).植物通过调节超氧化物歧化酶(superoxide dismutase, SOD)、过氧化物酶(peroxidase, POD)和过氧化氢酶(catalase, CAT)等抗氧化酶活性来清除过多的ROS, 维持体内氧化还原平衡(Lei et al., 2015).诸多研究表明, 植物抗氧化酶对非生物胁迫具有一定的调节作用.低温胁迫下, 油菜(Brassica napus)幼苗SOD和POD活性呈先升后降的趋势, CAT活性逐渐增强(Lei et al., 2015); 盐胁迫下SOD、CAT和POD活性先增后降(Lei et al., 2016).高温胁迫使小麦(Tri- ticum aestivum) SOD和CAT活性显著增强, POD活性显著降低(Li et al., 2017).抗坏血酸-谷胱甘肽循环(ascorbate glutathione cycle, AsA-GSH cycle)是维持植物细胞平衡的中心, 可有效抵抗植物氧化胁迫(Sharma et al., 2012).抗坏血酸(ascorbic acid, AsA)作为抗坏血酸过氧化物酶(ascorbate peroxidase, APX)的电子供体用以清除H2O2.氧化生成的单脱氢抗坏血酸(monodehydroascobate, MDHA)一方面可经单脱氢抗坏血酸还原酶(monodehydroascobate reductase, MDHAR)还原, 另一方面可歧化生成AsA和脱氢抗坏血酸(dehydroascorbate, DHA), 脱氢抗坏血酸还原酶(dehydroascorbate reductase, DHAR)利用还原型谷胱甘肽(glutathione, GSH)作为电子供体可将DHA还原为AsA, 产生的氧化型谷胱甘肽(oxi- dized glutathione, GSSG)又可被谷胱甘肽还原酶(glutathione reductase, GR)再还原为GSH, 从而完成清除H2O2等活性氧并再生AsA和GSH的过程(Sharma et al., 2012).植物通过增加抗氧化剂含量和循环相关酶活性提高AsA-GSH循环效率以适应环境胁迫.茄子(Solanum melongena)在锌胁迫下及绿豆(Vigna radiata)在高温胁迫下AsA和GSH含量均显著上升, AsA/DHA和GSH/GSSG显著降低, APX、DHAR、MDHAR和GR活性显著增强(Wu et al., 2015; Nahar et al., 2015).干旱高温协同胁迫下, 植物叶片中的AsA和GSH被大量消耗, 其含量减少, 降幅显著高于单一胁迫(Arab et al., 2016; 谢华英等, 2016).抗氧化防御系统可有效增强植物的抗逆性, 使其更好地适应逆境. ...

0
2016



相关话题/植物 环境 系统 电子 细胞