董文旭1,,,
庞桂斌2,
胡春胜1
1.中国科学院遗传与发育生物学研究所农业资源研究中心/中国科学院农业水资源重点实验室/河北省土壤生态学重点实验室 石家庄 050022
2.济南大学水利与环境学院 济南 250000
基金项目:国家重点研发计划项目(2018YFC0213300)资助
详细信息
作者简介:邢寒冰, 主要研究方向为农田节水灌溉。E-mail: 17862903330@139.com
通讯作者:董文旭, 主要研究方向为农田碳氮循环及环境效应的研究。E-mail: dongwx@sjziam.ac.cn
中图分类号:S143.1计量
文章访问数:104
HTML全文浏览量:19
PDF下载量:37
被引次数:0
出版历程
收稿日期:2021-03-09
录用日期:2021-05-28
网络出版日期:2021-06-22
刊出日期:2021-12-09
Effects of different water and nitrogen management on ammonia volatilization in pear orchard soil
XING Hanbing1, 2,,DONG Wenxu1,,,
PANG Guibin2,
HU Chunsheng1
1. Center for Agricultural Resources Research, Institute of Genetics and Developmental Biology, Chinese Academy of Sciences / Key Laboratory of Agricultural Water Resources, Chinese Academy of Sciences / Hebei Key Laboratory of Soil Ecology, Shijiazhuang 050022, China
2. School of Water Conservancy and Environment, University of Jinan, Jinan 250000, China
Funds:This study was supported by the National Key R&D Program of China (2018YFC0213300)
More Information
Corresponding author:E-mail: dongwx@sjziam.ac.cn
摘要
HTML全文
图
参考文献
相关文章
施引文献
资源附件
访问统计
摘要
摘要:根际注射施肥在果树种植上应用广泛, 但目前注射施肥及配套灌溉管理对果园氨挥发的影响尚不明确。本文于2019年3—9月在河北省晋州市果园示范基地进行, 利用动态箱法分析了梨树追肥时期不同水氮管理下土壤氨挥发速率和损失量的变化规律。试验设置5个处理: 不施肥(CK)、氮肥表面撒施+常规灌溉(BW1)、注射施肥+常规灌溉(IW1)、氮肥表面撒施+节水灌溉(BW2)、注射施肥+节水灌溉(IW2)。结果表明, 各处理各时期氨挥发基本在施肥后1 d达到峰值, 在5~10 d后结束。BW1、IW1、BW2、IW2氨挥发损失量差异均达显著水平(P<0.05), 分别为24.05 kg·hm?2、8.43 kg·hm?2、31.94 kg·hm?2和14.06 kg·hm?2 ; 与传统管理(BW1)相比注射施肥处理(IW1和IW2)减排率分别达64.95%与41.54%。撒施处理氨挥发受灌溉量影响较大, 根际注射施肥可以显著降低氨挥发的排放, 且受灌溉量影响较小。相关分析表明, 氨挥发与土壤铵态氮含量和pH呈正相关, 与硝态氮含量呈负相关, 且与铵态氮和硝态氮的相关性均达到极显著水平(P<0.01); 土壤水分与铵态氮呈正相关且达极显著水平(P<0.01)。与传统管理方式相比, 根际注射施肥与节水灌溉结合是减少果园氨挥发的有效途径之一。
关键词:果园;水氮管理/
根际注射施肥/
氨挥发/
氨减排
Abstract:Conventional pear tree fertilization and management results in fertilizer waste, environmental contamination and other problems. The long-term goal of farmland managers is to use soil water and fertilizers efficiently to improve crop yield. In this study, the dynamic box method was used to analyze changes in the soil ammonia volatilization rate, loss, and the physical and chemical properties under different water and nitrogen management regimes in the pear topdressing period in the orchard demonstration base of Jinzhou City, Hebei Province, from March to September 2019. The experiment had five treatments: blank (CK, no fertilization with conventional irrigation), compound fertilizer broadcasting and conventional irrigation (BW1), rhizosphere injection (20 cm deep) of liquid fertilizer and conventional irrigation (IW1), compound fertilzer broadcasting and 70% conventional irrigation (BW2), rhizosphere (20 cm deep) injection of liquid fertilizer and 70% conventional irrigation (IW2). The volatilization of ammonia in each treatment was the most severe in the first four days after fertilization. Two treatments of compound fertilizer broadcasting (BW1 and BW2) were especially severe, the peak variation range was 1.5?7.5 kg·hm?2·d?1. Two treatments of rhizosphere injection of liquid fertilizer (IW1 and IW2) steadily changed with time, the peak range was 0.1?5.0 kg·hm?2·d?1. The volatile loss of ammonia in the BW1, IW1, BW2, and IW2 treatments was 24.05 kg·hm?2, 8.43 kg·hm?2, 31.94 kg·hm?2, and 14.06 kg·hm?2, respectively; compared with BW1 (traditional management), the emission reduction rates of rhizosphere injection of liquid fertilizer (IW1 and IW2) was 64.95% and 41.54%, respectively. Ammonia volatilization was significantly affected by the irrigation amount, and rhizosphere injection fertilization significantly reduced ammonia volatilization emission and was less affected by the irrigation amount. Correlation analysis showed that ammonia volatilization was positively correlated with the soil ammonium nitrogen content and pH, but negatively correlated with the soil nitrate nitrogen content. The correlation between ammonium nitrogen and nitrate nitrogen was highly significant (P<0.01). Soil moisture was positively correlated with ammonium nitrogen content (P<0.01). Compared with traditional management methods, the combination of rhizosphere injection fertilization and water-saving irrigation is an effective way to reduce nitrogen loss in orchards.
Key words:Orchard; Water and nitrogen management/
Rhizosphere injection fertilization/
Ammonia volatilization/
Ammonia abatement
HTML全文

图1不同施肥处理下梨园土壤不同施肥时期氨挥发通量变化(6、8、9月分别为开花期、前膨果期、后膨果期氨挥发通量变化情况; CK、BW1、IW1、BW2、IW2含义见表2)
Figure1.Variations of ammonia volatilization fluxes in pear orchard soil under different fertilization treatments (June, August and September show the changes of ammonia volatilization fluxes in flowering period, pre- and post-expansion period. The meanings of CK, BW1, IW1, BW2 and IW2 are shown in the table 2)


图2不同施肥处理下梨园土壤不同施肥时期氨挥发累积量变化(6、8、9月分别为开花期、前膨果期、后膨果期; CK、BW1、IW1、BW2、IW2含义见表2)
Figure2.Variations of volatile accumulation of ammonia in pear orchard soil under different fertilization treatments (June, August and September show the changes of ammonia volatilization fluxes in flowering period, pre- and post-expansion period. The meanings of CK, BW1, IW1, BW2 and IW2 are shown in the table 2)


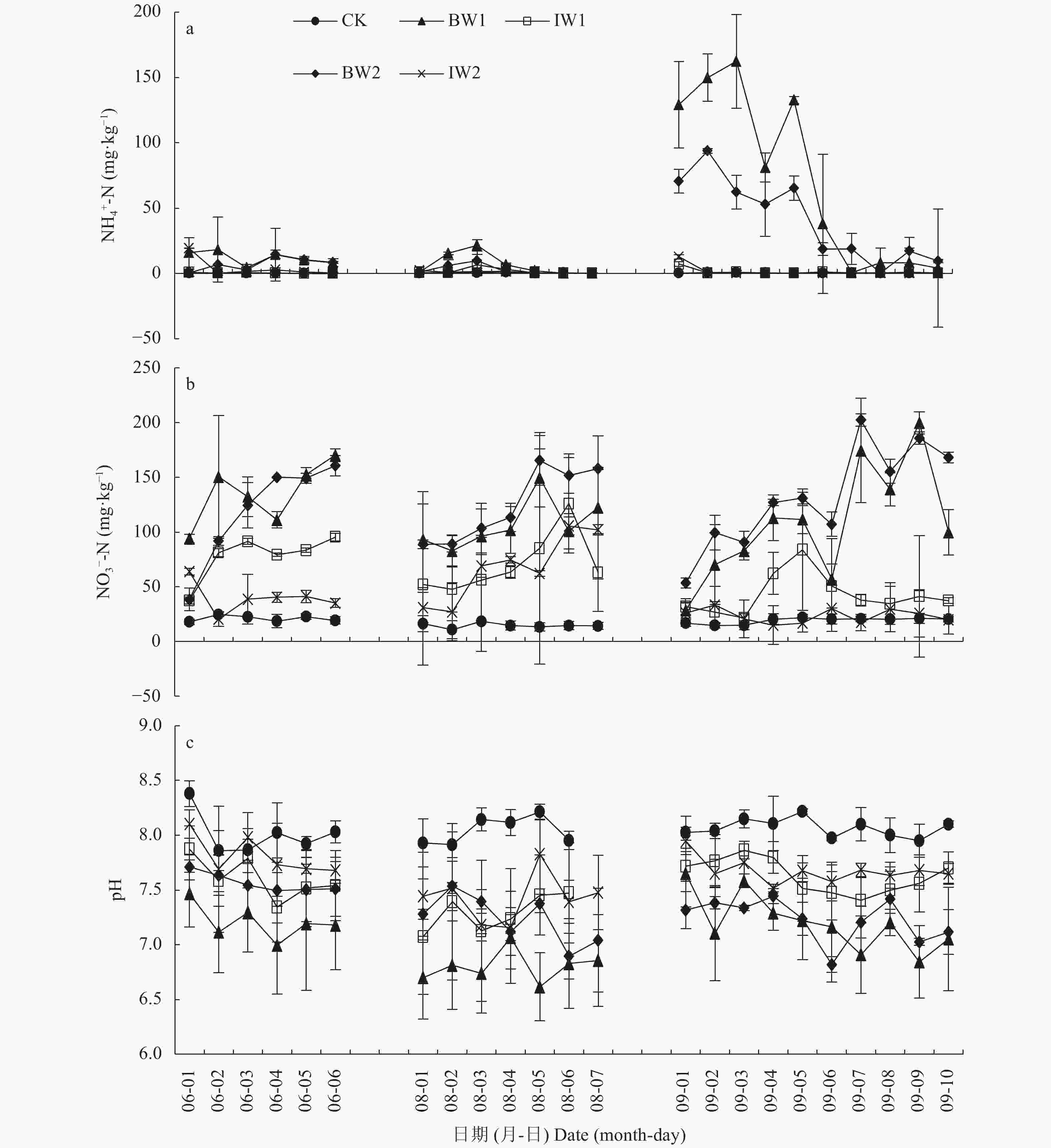
图3不同施肥处理下梨园表层土壤不同施肥时期施肥后 NH4+-N和NO3?-N含量及pH的变化(6、8、9月分别为开花期、前膨果期、后膨果期; CK、BW1、IW1、BW2和IW2含义见表2)
Figure3.Changes in NH4+-N and NO3?-N contents and pH of surface soil under different fertilization treatments at different periods (June, August and September show flowering period, pre- and post-expansion periods. The meanings of CK, BW1, IW1, BW2 and IW2 are shown in the table 2)


图4氨挥发期间土壤温度、土壤水分及空气湿度变化(图a、b、c分别为土壤温度、土壤水分及空气湿度;6、8、9月分别为开花期、前膨果期、后膨果期; W1为常规灌溉, W2灌水量为常规灌溉的70%。)
Figure4.Changes of soil temperature, soil moisture and air humidity during ammonia volatilization (figure a, b, c show soil temperature, soil moisture and air humidity; June, August and September show flowering period, pre- and post-expansion period. W1 means conventional irrigation; W2 means 70% conventional irrigation. )

表1试验区土壤基本理化性质
Table1.Basic physical and chemical properties of soil in test area
深度 Depth (cm) | pH | 容重 Bulk density (g?cm?3) | 有机质含量 Organic matter content (g?kg?1) | NO3?-N (mg?kg?1) | NH4+-N (mg?kg?1) |
0~40 | 8.5 | 1.47 | 16.7 | 34.4 | 2.6 |
40~90 | 7.8 | 1.45 | 7.8 | 21.6 | 0.7 |
90~180 | 7.7 | 1.43 | 5.4 | 29.1 | 0.9 |

表2不同处理追肥时期的施肥和灌水方案
Table2.Schemes of irrigation and fertilization during topdressing periods of different treatments
处理 Treatment | 水肥管理方式 Irrigation and fertilization methods | 施氮量 Nitrogen application (kg?hm?2) | 灌溉总量 Total irrigation (m3?hm?2) | |||
开花期 Flowering period | 前膨果期 Pre-expansion period | 后膨果 Post-expansion period | 总量 Total | |||
CK | 不施肥+常规灌溉 No fertilization+conventional irrigation | 0 | 0 | 0 | 0 | 3200 |
BW1 | 复合肥撒施+常规灌溉 Compound fertilizer broadcasting+conventional irrigation | 168 | 96 | 270 | 792 | 3200 |
IW1 | 液体肥注射深施+常规灌溉 Deep injection of liquid fertilizer+conventional irrigation | 168 | 96 | 270 | 792 | 3200 |
BW2 | 复合肥撒施+70%灌溉 Compound fertilizer broadcasting+70% conventional irrigation | 168 | 96 | 270 | 792 | 2240 |
IW2 | 液体肥注射深施+70%灌溉 Deep injection of liquid fertilizer+70% conventional irrigation | 168 | 96 | 270 | 792 | 2240 |

表3不同时期不同施肥处理下梨园土壤氨挥发总累积量及损失率
Table3.Total ammonia volatile accumulations and loss rates of pear orchard soil under different fertilization treatments at different periods
施肥时期 Fertilization period | 指标 Index | CK | BW1 | IW1 | BW2 | IW2 |
开花期 Flowering period | 累积氨挥发量 Accumulation ammonia volatilization (kg·hm?2) | 0.50±0.09c | 2.42±0.06b | 0.10±0.09a | 3.81±1.51b | 0.22±0.05c |
损失率 Loss rate (%) | — | 1.44±0.05b | 0.06±0.01c | 2.77±1.03a | 0.13±0.01c | |
前膨果期 Pre-expansion period | 累积挥发量 Accumulation ammonia volatilization (kg·hm?2) | 0.40±0.01c | 4.86±0.19b | 1.69±0.17a | 6.03±2.35c | 1.23±0.13b |
损失率 Loss rate (%) | — | 5.06±0.27b | 1.76±0.12b | 6.28±1.89b | 1.28±0.11b | |
后膨果期 Post-expansion period | 累积氨挥发量 Accumulation ammonia volatilization (kg·hm?2) | 2.44±0.06b | 16.77±2.64a | 6.64±0.45b | 29.30±5.06b | 12.61±3.04b |
损失率 Loss rate (%) | — | 6.21±0.41b | 2.46±0.27b | 10.85±3.81b | 4.67±2.14b | |
总挥发损失量 Total volatilization (kg·hm?2) | 3.34±0.08c | 24.05±3.17a | 8.43±1.02b | 39.14±5.09b | 14.06±3.12b | |
总减排率 Total emission reduction rate (%) | — | — | 64.95 | ?62.77 | 41.54 | |
不同小写字母表示处理间在P<0.05水平差异显著。CK、BW1、IW1、BW2和IW2含义见表2。Different lowercase letters indicate significant differences among treatments at P<0.05 level. The meanings of CK, BW1, IW1, BW2 and IW2 are shown in the table 2. |

表4不同施肥处理下梨园土壤氨挥发与各个因素的相关性分析
Table4.Correlation analysis of ammonia volatility under different fertilization treatments and factors
处理 Treatment | NH4+ | NO3? | pH | 土壤温度 Soil temperature | 空气湿度 Air humidity | 土壤水分 Soil moisture |
BW1 | 0.531** | ?0.668** | 0.379 | 0.144 | ?0.250 | 0 |
IW1 | 0.639** | ?0.447** | 0.250 | 0.224 | ?0.208 | 0.226 |
BW2 | 0.871** | ?0.474** | 0.019 | 0.278 | ?0.193 | 0.469* |
IW2 | 0.409 | ?0.251 | 0.242 | 0.213 | ?0.181 | 0.276 |
*、**分别表示线性相关系数达显著(P<0.05)和极显著(P<0.01)水平。*, ** represent significant correlation of the linear coefficient at P<0.05 and P<0.01 level, respectively. |

参考文献
[1] | 康金花, 黄子蔚. 滴灌随水施肥对土壤有效氮动态的影响[J]. 干旱区研究, 2005, 22(2): 270?273 KANG J H, HUANG Z W. Effect of fertilization through drip irrigation systems on available nitrogen dynamics in the different soillayers[J]. Arid Zone Research, 2005, 22(2): 270?273 |
[2] | 胡春胜, 张玉铭, 秦树平, 等. 华北平原农田生态系统氮素过程及其环境效应研究[J]. 中国生态农业学报, 2018, 26(10): 1501?1514 HU C S, ZHANG Y M, QIN S P, et al. Nitrogen processes and related environmental effects onagro-ecosystem in the North China Plain[J]. Chinese Journal of Eco-Agriculture, 2018, 26(10): 1501?1514 |
[3] | BOUWMAN A F, BOUMANS L J M, BATJES N H. Estimation of global NH3 volatilization loss from synthetic fertilizers and animal manure applied to arable lands and grasslands[J]. Global Biogeochemical Cycles, 2002, 16(2): 1?14 |
[4] | 钱晓雍, 郭小品, 林立, 等. 国内外农业源NH3排放影响PM2.5形成的研究方法探讨[J]. 农业环境科学学报, 2013, 32(10): 1908?1914 doi: 10.11654/jaes.2013.10.002 QIAN X Y, GUO X P, LIN L, et al. Research methods for agriculturally emitte dammonia effects on formation of fine particulate matter (PM2.5): a review[J]. Journal of Agro-Environment Science, 2013, 32(10): 1908?1914 doi: 10.11654/jaes.2013.10.002 |
[5] | ERISMAN J W, SCHAAP M. The need for ammonia abatement with respect to secondary PM reductions in Europe[J]. Environmental Pollution, 2004, 129(1): 159?163 doi: 10.1016/j.envpol.2003.08.042 |
[6] | GALLOWAY J N, DENTENER F J, CAPONE D G, et al. Nitrogen cycles: past, present, and future[J]. Biogeochemistry, 2004, 70(2): 153?226 doi: 10.1007/s10533-004-0370-0 |
[7] | 许艳玲, 薛文博, 雷宇, 等. 中国氨减排对控制PM2.5污染的敏感性研究[J]. 中国环境科学, 2017, 37(7): 2482?2491 doi: 10.3969/j.issn.1000-6923.2017.07.009 XU Y L, XUE W B, LEI Y, et al. Sensitivity analysis of PM2.5 pollution to ammonia emission control in China[J]. China Environmental Science, 2017, 37(7): 2482?2491 doi: 10.3969/j.issn.1000-6923.2017.07.009 |
[8] | 肖强, 李丽霞, 李鸿雁, 等. 改性尿素追施对冬小麦和夏玉米季氮素挥发和淋溶的影响[J]. 水土保持学报, 2020, 34(4): 270?279 XIAO Q, LI L X, LI H Y, et al. Effects of modified urea topdressing on nitrogen volatilization and leaching in winter wheat and summer maize[J]. Journal of Soil and Water Conservation, 2020, 34(4): 270?279 |
[9] | RATTANAMANEE A, NIAMSUP H, SRISOMBAT L O, et al. Role of chitosan on some physical properties and the urea controlled release of the silk fibroin/gelatin hydrogel[J]. Journal of Polymers and the Environment, 2015, 23(3): 334?340 doi: 10.1007/s10924-014-0703-6 |
[10] | 李彩霞, 周新国, 强小嫚, 等. 不同水分处理下液体地膜覆盖玉米田土壤环境与产量效应[J]. 玉米科学, 2010, 18(3): 108?112 LI C X, ZHOU X G, QIANG X M, et al. Effects of liquid film mulching on soil moisture, temperature and yield of summer maize field under different water conditions[J]. Journal of Maize Sciences, 2010, 18(3): 108?112 |
[11] | 李哲, 屈忠义, 任中生, 等. 河套灌区滴灌施肥对土壤氨挥发及玉米氮肥利用率的影响[J]. 灌溉排水学报, 2018, 37(11): 37?42 LI Z, QU Z Y, REN Z S, et al. Nitrogen use efficiency and ammonia oxidation of corn field with drip irrigation in Hetao Irrigation District[J]. Journal of Irrigation and Drainage, 2018, 37(11): 37?42 |
[12] | 张翀, 李雪倩, 苏芳, 等. 施氮方式及测定方法对紫色土夏玉米氨挥发的影响[J]. 农业环境科学学报, 2016, 35(6): 1194?1201 doi: 10.11654/jaes.2016.06.024 ZHANG C, LI X Q, SU F, et al. Effects of different fertilization and measurement methods on ammonia volatilization of summer maize in purple soil[J]. Journal of Agro-Environment Science, 2016, 35(6): 1194?1201 doi: 10.11654/jaes.2016.06.024 |
[13] | 李霞. 浅谈果树种植结构的调整与优化[J]. 种子科技, 2020, 38(24): 85?86 doi: 10.3969/j.issn.1005-2690.2020.24.041 LI X. Adjustment and optimization of fruit tree planting structure[J]. Seed Science & Technology, 2020, 38(24): 85?86 doi: 10.3969/j.issn.1005-2690.2020.24.041 |
[14] | 丁阔. 库尔勒香梨树体-土壤体系氮素循环特征研究[D]. 乌鲁木齐: 新疆农业大学, 2016 DING K. Research on the characteristics of nitrogen cycling in Korla fragrant pear tree-soil system[D]. Urumqi: Xinjiang Agricultural University, 2016 |
[15] | 章伟. 渭北旱塬苹果及葡萄水肥一体化技术研究[D]. 杨凌: 西北农林科技大学, 2016 ZHANG W. Application of fertigation in apple and grape orchard in Weibei arid plateau[D]. Yangling: Northwest A & F University, 2016 |
[16] | 吴小宾, 彭福田, 崔秀敏, 等. 施肥枪施肥对桃树氮素吸收分配及产量品质的影响[J]. 植物营养与肥料学报, 2011, 17(3): 680?687 doi: 10.11674/zwyf.2011.0361 WU X B, PENG F T, CUI X M, et al. Effects of fertilization with a fertilizer applicator on nitrogen absorption and distribution, and fruit yield and quality of peach[J]. Plant Nutrition and Fertilizer Science, 2011, 17(3): 680?687 doi: 10.11674/zwyf.2011.0361 |
[17] | 吕丽霞, 张立新, 高梅, 等. 根际注射施肥对渭北苹果园土壤理化特性、土壤酶、果实产量及品质的影响[J]. 果树学报, 2012, 29(5): 782?788 LYU L X, ZHANG L X, GAO M , et al. Effect of fertilization with injection to the rhizosphere on soil physical and chemical properties, soil enzyme activities and yield and quality of apple in Weibei highland[J]. Journal of Fruit Science, 2012, 29(5): 782?788 |
[18] | 张林森, 李雪薇, 王晓琳, 等. 根际注射施肥对黄土高原苹果氮素吸收利用及产量和品质的影响[J]. 植物营养与肥料学报, 2015, 21(2): 421?430 doi: 10.11674/zwyf.2015.0217 ZHANG L S, LI X W, WANG X L, et al. Effects of fertilization with injection to the rhizosphere on nitrogen absorption and utilization, fruit yield and quality of apple in the Loess Plateau[J]. Journal of Plant Nutrition and Fertilizer, 2015, 21(2): 421?430 doi: 10.11674/zwyf.2015.0217 |
[19] | 王朝辉, 刘学军, 巨晓棠, 等. 田间土壤氨挥发的原位测定?通气法[J]. 植物营养与肥料学报, 2002, 8(2): 205?209 doi: 10.3321/j.issn:1008-505X.2002.02.014 WANG Z H, LIU X J, JU X T, et al. Field in situ determination of ammonia volatilization from soil: Venting method[J]. Plant Nutrition and Fertilizer Science, 2002, 8(2): 205?209 doi: 10.3321/j.issn:1008-505X.2002.02.014 |
[20] | 王文岩, 董文旭, 陈素英, 等. 连续施用控释肥对小麦/玉米农田氮素平衡与利用率的影响[J]. 农业工程学报, 2016, 32(S2): 135?141 WANG W Y, DONG W X, CHEN S Y, et al. Effect of continuously appling controlled-release fertilizers on nitrogen balance and utilization in winter wheat-summer maize cropping system[J]. Transactions of the Chinese Society of Agricultural Engineering, 2016, 32(S2): 135?141 |
[21] | ENGEL R, LIANG D L, WALLANDER R, et al. Influence of urea fertilizer placement on nitrous oxide production from a silt loam soil[J]. Journal of Environmental Quality, 2010, 39(1): 115?125 doi: 10.2134/jeq2009.0130 |
[22] | 孙瑞峰, 马娟娟, 郭向红, 等. 蓄水坑灌下追肥时期对果园土壤氨挥发的影响[J]. 节水灌溉, 2019, (10): 1?5 doi: 10.3969/j.issn.1007-4929.2019.10.001 SUN R F, MA J J, GUO X H, et al. Effects of topdressing period on ammonia volatilization in orchard soil under water storage pit irrigation[J]. Water Saving Irrigation, 2019, (10): 1?5 doi: 10.3969/j.issn.1007-4929.2019.10.001 |
[23] | 董文旭, 吴电明, 胡春胜, 等. 华北山前平原农田氨挥发速率与调控研究[J]. 中国生态农业学报, 2011, 19(5): 1115?1121 DONG W X, WU D M, HU C S, et al. Ammonia volatilization and control mechanisms in the piedmont of North China Plain[J]. Chinese Journal of Eco-Agriculture, 2011, 19(5): 1115?1121 |
[24] | 朱志军. 渭北苹果园施肥制度对氨挥发和温室气体排放的影响[D]. 杨凌: 西北农林科技大学, 2019 ZHU Z J. Effects of fertilization system on ammonia volatilization and greenhouse gas emission in Weibei apple orchard[D]. Yangling: Northwest A & F University, 2019 |
[25] | YAO Y L, ZHANG M, TIAN Y H, et al. Urea deep placement for minimizing NH3 loss in an intensive rice cropping system[J]. Field Crops Research, 2018, 218: 254?266 doi: 10.1016/j.fcr.2017.03.013 |
[26] | 卢丽丽, 吴根义. 农田氨排放影响因素研究进展[J]. 中国农业大学学报, 2019, 24(1): 149?162 LU L L, WU G Y. Research progress on influencing factors of ammonia emission in farmland[J]. Journal of Agricultural University of China, 2019, 24(1): 149?162 |
[27] | ABASCAL S A . Nitrogen loss by ammonia volatilization in cultivation of olive orchards fertilized with compost[J]. Eurasian Soil Science, 2019, 52(10): 1207?1213 doi: 10.1134/S1064229319100028 |
[28] | SANZ-COBENA A, MISSELBROOK T H, HERNAIZ P, et al. Impact of rainfall to the effectiveness of pig slurry shallow injection method for NH3 mitigation in a Mediterranean soil[J]. Atmospheric Environment, 2019, 216(1): 116913 |
[29] | ZHOU J, LI B, XIA L, et al. Organic-substitute strategies reduced carbon and reactive nitrogen footprints and gained net ecosystem economic benefit for intensive vegetable production[J]. Journal of Cleaner Production, 2019, 225: 984?994 doi: 10.1016/j.jclepro.2019.03.191 |
[30] | 李硕, 王选, 张西群, 等. 猪场肥水施用对玉米-小麦农田氨排放、氮素利用与表观平衡的影响[J]. 中国生态农业学报(中英文), 2019, 27(10): 1502?1514 LI S, WANG X, ZHANG X Q, et al. Effects of swine slurry application on ammonia emission, nitrogen utilization and apparent balance of a winter wheat-summer maize rotation system[J]. Chinese Journal of Eco-Agriculture, 2019, 27(10): 1502?1514 |
[31] | RECIO J, VALLEJO A, LE-NO? J, et al. The effect of nitrification inhibitors on NH3 and N2O emissions in highly N fertilized irrigated Mediterranean cropping systems[J]. Science of the Total Environment, 2018, 636: 427?436 doi: 10.1016/j.scitotenv.2018.04.294 |
[32] | ROCHETTE P, ANGERS D A, CHANTIGNY M H, et al. Ammonia volatilization and nitrogen retention: how deep to incorporate urea?[J]. Journal of Environmental Quality, 2013, 42(6): 1635?1642 doi: 10.2134/jeq2013.05.0192 |
[33] | 吴萍萍, 刘金剑, 杨秀霞, 等. 不同施肥制度对红壤地区双季稻田氨挥发的影响[J]. 中国水稻科学, 2009, 23(1): 85?93 doi: 10.3969/j.issn.1001-7216.2009.01.013 WU P P, LIU J J, YANG X X, et al. Effects of different fertilization systems on ammonia volatilization from double-rice cropping field in red soil region[J]. Chinese Journal of Rice Science, 2009, 23(1): 85?93 doi: 10.3969/j.issn.1001-7216.2009.01.013 |
[34] | 黄思怡, 田昌, 谢桂先, 等. 控释尿素减少双季稻田氨挥发的主要机理和适宜用量[J]. 植物营养与肥料学报, 2019, 25(12): 2102?2112 doi: 10.11674/zwyf.19297 HUANG S Y, TIAN C, XIE G X, et al. Mechanism and suitable application dosage of controlled-release urea effectively reducing ammonia volatilization in double-cropping paddy fields[J]. Journal of Plant Nutrition and Fertilizers, 2019, 25(12): 2102?2112 doi: 10.11674/zwyf.19297 |
[35] | 徐婷婷, 宋鹏慧, 闫暮春, 等. 改性尿素施用对氨挥发量及无机氮变化的影响[J]. 中国土壤与肥料, 2013, (5): 29?33 doi: 10.11838/sfsc.20130506 XU T T, SONG P H, YAN M C, et al. Effect of modified urea on ammonia volatilization and soil in organic nitrogen[J]. Soil and Fertilizer Sciences in China, 2013, (5): 29?33 doi: 10.11838/sfsc.20130506 |
[36] | MOHAMMED-NOUR A, AL-SEWAILEM M, EL-NAGGAR A H. The influence of alkalization and temperature on ammonia recovery from cow manure and the chemical properties of the effluents[J]. Sustainability, 2019, 11(8): 2441 doi: 10.3390/su11082441 |
[37] | 山楠, 毕晓庆, 杜连凤, 等. 基施氮肥对麦田冬前氨挥发损失的影响[J]. 中国土壤与肥料, 2013, (6): 47?51 doi: 10.11838/sfsc.20130610 SHAN N, BI X Q, DU L F, et al. Effect of basal nitrogen fertilization on corn field ammonia volatilization loss ahead of winter in-site conditions[J]. Soil and Fertilizer Sciences in China, 2013, (6): 47?51 doi: 10.11838/sfsc.20130610 |
[38] | 周丽平, 杨俐苹, 白由路, 等. 不同氮肥缓释化处理对夏玉米田间氨挥发和氮素利用的影响[J]. 植物营养与肥料学报, 2016, 22(6): 1449?1457 doi: 10.11674/zwyf.16039 ZHOU L P, YANG L P, BAI Y L, et al. Comparison of several slow-released nitrogen fertilizers in ammonia volatilization and nitrogen utilization in summer maize field[J]. Journal of Plant Nutrition and Fertilizers, 2016, 22(6): 1449?1457 doi: 10.11674/zwyf.16039 |