付晓莉3,
李学章4,
贾小旭3,
邵明安1, 2,
魏孝荣1, 2,,
1.西北农林科技大学资源环境学院 杨凌 712100
2.西北农林科技大学黄土高原土壤侵蚀与旱地农业国家重点实验室 杨凌 712100
3.中国科学院地理科学与资源研究所 北京 100101
4.中国科学院亚热带农业生态研究所 长沙 410125
基金项目: 国家自然科学基金项目41571130082
国家自然科学基金项目41571296
国家自然科学基金项目41622105
中国科学院前沿科学重点研究计划项目QYZDB-SSW-DQC039
详细信息
作者简介:刘娇, 主要从事土壤物质循环研究。E-mail:walj0522@163.com
通讯作者:魏孝荣, 主要从事土壤和生态系统物质循环研究。E-mail:xrwei78@163.com
中图分类号:S153.6计量
文章访问数:834
HTML全文浏览量:0
PDF下载量:746
被引次数:0
出版历程
收稿日期:2017-07-09
录用日期:2017-10-09
刊出日期:2018-02-01
Responses of soil nitrogen mineralization during growing season to vegetation and slope position on the northern Loess Plateau of China
LIU Jiao1, 2,,FU Xiaoli3,
LI Xuezhang4,
JIA Xiaoxu3,
SHAO Ming'an1, 2,
WEI Xiaorong1, 2,,
1. College of Resources and Environment, Northwest A & F University, Yangling 712100, China
2. State Key Laboratory of Soil Erosion and Dry Land Farming on the Loess Plateau, Northwest A & F University, Yangling 712100, China
3. Institute of Geographical Sciences and Natural Resources Research, Chinese Academy of Sciences, Beijing 100101, China
4. Institute of Subtropical Agriculture, Chinese Academy of Sciences, Changsha 410125, China
Funds: the National Natural Science Foundation of China41571130082
the National Natural Science Foundation of China41571296
the National Natural Science Foundation of China41622105
the Key Research Project of Frontier Science of the Chinese Academy of SciencesQYZDB-SSW-DQC039
More Information
Corresponding author:WEI Xiaorong, E-mail: xrwei78@163.com
摘要
HTML全文
图
参考文献
相关文章
施引文献
资源附件
访问统计
摘要
摘要:氮素矿化是陆地生态系统氮循环的重要过程,对氮素有效性有着重要影响。本文在黄土高原北部六道沟小流域选取退耕年限相近的油松和柠条坡地,用原位培养法测定生长季节(4-10月)不同坡位冠层下和冠层外0~10 cm和10~20 cm土层土壤氮素矿化速率,以确定该区氮素矿化的季节动态特征和主要影响因素。结果表明,研究区生长季土壤矿质氮以铵态氮为主,其含量在0~10 cm和10~20 cm土层分别占矿质氮总量的61%和70%,并随生长季的推移而升高。油松林上坡位和中坡位土壤铵态氮显著高于下坡位土壤,柠条林不同坡位铵态氮差异不显著。土壤硝态氮和矿质氮不受坡位的影响,但与林型和采样位置有关,冠层下硝态氮在油松林与冠层外相近,在柠条林则高于冠层外。生长季土壤氮素矿化在0~10 cm土层由硝化作用引起,在10~20 cm土层则由硝化和铵化作用共同引起。铵化速率在生长季初期较高,中期较低,并受坡位、林型和采样位置的影响。土壤硝化和矿化速率在油松林不受采样位置影响,但是在柠条林则以冠层下较高。硝化和矿化速率在冠层下以下坡位土壤最高,在冠层外则以下坡位土壤最低。柠条林促进了冠层下土壤氮素的硝化和矿化过程,有利于矿质氮的积累;油松林对矿质氮和氮素矿化的影响不受采样位置影响。
关键词:植被/
坡位/
矿化作用/
矿质氮/
采样位置
Abstract:Nitrogen (N) mineralization is critical for nitrogen cycle in terrestrial ecosystems and significantly influences the availability of soil N. In this paper, we studied the changes in soil mineral N and N mineralization rates in slope lands in the northern Loess Plateau region in relation to vegetation types, sampling sites and slope positions during vegetation growing season. The objectives of the study were to determine the dynamics of N mineralization during growing season and the influencing factors. Slope lands with Chinese pine (Pinus tabulaeformis) and korshinsk peashrub (Caragana korshinskii) were selected in the Liudaogou catchment and an in situ mineralization method was used to measure soil N mineralization for the period from April through October. The measurements were conducted in upper, middle and lower positions of the slope with under-and non-under-canopy at the 0-10 cm and 10-20 cm soil depths. Soil mineral N in the growing season was dominated by ammonium, which accounted for 61% and 70% of total mineral N at the 0-10 cm and 10-20 cm soil depths, respectively. The proportion of ammonium to total mineral N increased during the growing season. Soil ammonium in the upper and middle slope positions was significantly higher than that in the lower slope position for Chinese pine, but not affected by slope positions for korshinsk peashrub. Furthermore, soil ammonium was not affected by sampling site in both Chinese pine and korshinsk peashrub plantations. Soil nitrate and total mineral N were affected by vegetation type and sampling site, rather than by slope position. Under-canopy soil nitrate was similar to that of non-under-canopy in Chinese pine vegetation, but it was greater than that for non-under-canopy in porshinsk peashrub vegetation. Soil N mineralization during growing season resulted mainly from nitrification at the 0-10 cm soil depth, but also influenced by both nitrification and ammonification at the 10-20 cm soil depth. Ammonification rate was significantly high during the early growing season and low during the mid growing season. Moreover, ammonification rate was affected by slope position, vegetation type and sampling site. Nitrification and net N mineralization rates in under-canopy soils were similar to those in non-under-canopy soils in Chinese pine vegetation, but it was greater than that in non-under-canopy soils in korshinsk peashrub vegetation. Additionally, when compared with other slope positions, lower slope position had highest nitrification and net mineralization rates of soil N in under-canopy conditions, but it was the lowest in lower slope position in both Chinese pine and korshinsk peashrub plantations. The results suggested that korshinsk peashrub enhanced nitrification and mineralization of N in soils in under-canopy conditions, while the effects of Chinese pine on soil mineral N and N mineralization were not related to sampling site.
Key words:Vegetation type/
Slope position/
Nitrogen mineralization/
Mineral nitrogen/
Sampling position
HTML全文

图1生长季不同时期(a)和不同坡位(b)油松及柠条坡地冠层内、外土壤水分含量特征
T1: 4月25日—5月25日; T2: 5月25日—6月21日; T3: 6月21日—7月22日; T4: 7月22日—8月23日; T5: 8月23日—10月15日。US:上坡位; MS:中坡位; LS:下坡位。图中*表示冠层内外含水量差异显著(P < 0.05)。
Figure1.Soil moistures during growing season at different sampling periods (a) and slope positions (b) in soils under canopy and outer canopy of Chinese pine and korshinsk peashrub slopes
T1, T2, T3, T4 and T5 represent 25th April to 25th May, 25th May to 21st June, 21st June to 22nd July, 22nd July to 23rd August, 23rd August to 15th October, respectively. The US, MS and LS represent upper slope, middle slope and lower slope, respectively. The * in the figures represent significant difference at P < 0.05 between under canopy and outer canopy.


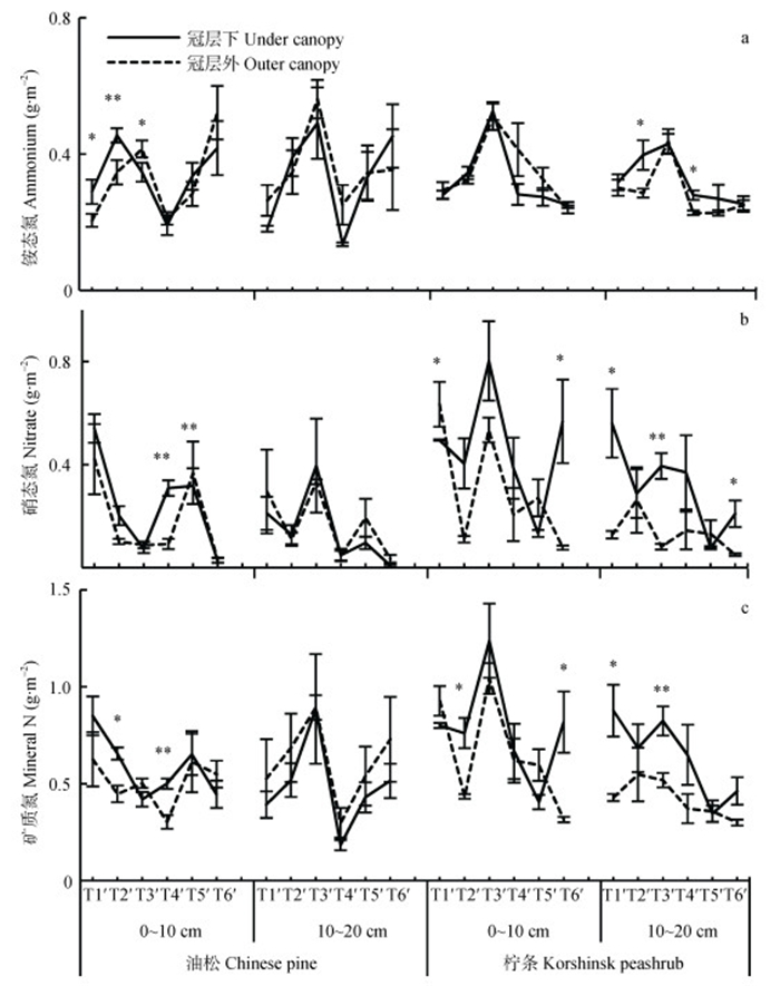
图2生长季不同时期油松和柠条坡地冠层内和冠层外土壤铵态氮(a)、硝态氮(b)和总矿质氮(c)动态特征
*和**分别表示冠层内外矿质氮储量的差异显著(P < 0.05)和极显著(P < 0.01)。T1': 4月25日; T2': 5月25日; T3': 6月21日; T4': 7月22日; T5': 8月23日; T6': 10月15日。
Figure2.Temporal patterns of soil ammonium N (a), nitrate N (b) and total mineral N (c) during growing season at different sampling periods in soils under canopy and outer canopy of Chinese pine and korshinsk peashrub slopes
* and ** in the figures represent significant differences at P < 0.05 and P < 0.01 of soil mineral N between under canopy and outer canopy. T1', T2', T3', T4', T5'and T6'represent 25th April, 25th May, 21st June, 22nd July, 23rd August and 15th October, respectively.


图3生长季不同坡位油松和柠条坡地冠层内和冠层外土壤铵态氮(a)、硝态氮(b)和总矿质氮(c)动态特征
US:上坡位; MS:中坡位; LS:下坡位。图中*和**分别表示冠层内外矿质氮储量的差异显著(P < 0.05)和极显著(P < 0.01)。
Figure3.Effects of slope position on contents of soil ammonium (a), nitrate (b) and total mineral N (c) across growing season in soils under canopy and outer canopy of the Chinese pine and korshinsk peashrub slopes
The US, MS and LS represent upper slope, middle slope and lower slope, respectively. The * and ** in the figures represent significant at P < 0.05 and P < 0.01 between under canopy and outer canopy.


图4生长季不同时期油松和柠条坡地冠层内和冠层外土壤铵化速率(a)、硝化速率(b)和矿化速率(c)动态特征
图中*和**分别表示冠层内外铵化速率、硝化速率、矿化速率的差异显著(P < 0.05)和极显著(P < 0.01)。T1: 4月25日—5月25日; T2: 5月25日—6月21日; T3: 6月21日—7月22日; T4: 7月22日—8月23日; T5: 8月23日—10月15日。
Figure4.Temporal patterns of rates of ammonification (a), nitrification (b) and net mineralization of N (c) during growing season at different sampling periods in soils under canopy and outer canopy of Chinese pine and korshinsk peashrub slopes
* and ** in the figures represent significant at P < 0.05 and P < 0.01 between under canopy and outer canopy. T1, T2, T3, T4 and T5 represent 25th April to 25th May, 25th May to 21st June, 21st June to 22nd July, 22nd July to 23rd August, 23rd August to 15th October, respectively.


图5生长季不同坡位油松和柠条坡地冠层内和冠层外土壤铵化速率(a)、硝化速率(b)和矿化速率(c)特征
US:上坡位, MS:中坡位, LS:下坡位; 图中*表示冠层内外铵化速率、硝化速率、矿化速率的差异显著(P < 0.05)。
Figure5.Effects of slope position on rates of ammonification (a), nitrification (b) and net mineralization (c) of N averaged across growing season in soils under canopy and outer canopy of the Chinese pine and korshinsk peashrub slopes
US, MS and LS represent upper slope, middle slope and lower slope, respectively. * in the figures represent significant at P < 0.05 between under canopy and outer canopy.

表1坡位、植被类型和采样位置对生长季土壤含水量、硝态氮、铵态氮、矿质氮以及硝化、铵化、矿化速率影响的方差分析结果(P值)
Table1.ANOVA results (P value) of the effects of slope position, vegetation types and sampling location on soil moisture, contents of nitrate N, ammonium N and mineral N, and rates of nitrification, ammonification and net mineralization during growing season
SM | NO3--N | NH4+-N | Mineral N | NR | AR | MR | |
坡位Slope position (S) | 0.012* | 0.062 | 0.004** | 0.003** | 0.048* | 0.572 | 0.025* |
植被类型Vegetation type (V) | 0.027* | 0.001** | 0.949 | 0.006** | 0.055 | 0.485 | 0.030* |
采样位置Sampling location (C) | 0.126 | 0.029* | 0.793 | 0.108 | 0.002** | 0.012* | 0.028* |
S×V | 0.000*** | 0.002** | 0.038* | 0.004** | 0.818 | 0.889 | 0.803 |
S×C | 0.017* | 0.000*** | 0.973 | 0.005** | 0.000*** | 0.546 | 0.000*** |
V×C | 0.627 | 0.089 | 0.767 | 0.136 | 0.002*** | 0.884 | 0.002** |
S×V×C | 0.955 | 0.128 | 0.562 | 0.138 | 0.197 | 0.511 | 0.088 |
????*代表P < 0.05, **代表P < 0.01, ***代表P < 0.001。SM:土壤含水量; NR:硝化速率; AR:铵化速率; MR:矿化速率。*, ** and *** represent P < 0.05, P < 0.01 and P < 0.001, respectively. SM: soil moisture; NR: nitrification rate; AR: ammonification rate; MR: mineralization rate. |

表2采样时期、植被类型和采样位置对生长季土壤含水量、硝态氮、铵态氮、矿质氮以及硝化速率、铵化速率和矿化速率影响的方差分析结果(P值)
Table2.ANOVA results (P value) of the effects of sampling time, vegetation types and sampling location on soil moisture, the contents of nitrate, ammonium and mineral N, and the rates of nitrification, ammonification and net mineralization during growing season
SM | NO3--N | NH4+-N | Mineral N | NR | AR | MR | |
采样时期Sampling time (T) | 0.000*** | 0.659 | 0.000*** | 0.000*** | 0.000*** | 0.000*** | 0.001** |
植被类型Vegetation type (V) | 0.076 | 0.000*** | 0.045* | 0.000*** | 0.014* | 0.914 | 0.020* |
采样位置Sampling location (C) | 0.007** | 0.000*** | 0.933 | 0.076 | 0.000*** | 0.000*** | 0.019* |
T×V | 0.185 | 0.518 | 0.000*** | 0.000*** | 0.012* | 0.000*** | 0.000*** |
T×C | 0.017* | 0.569 | 0.015* | 0.187 | 0.091 | 0.381 | 0.224 |
V×C | 0.981 | 0.000*** | 0.322 | 0.055 | 0.000*** | 0.246 | 0.001** |
T×V×C | 0.648 | 0.563 | 0.880 | 0.776 | 0.107 | 0.833 | 0.104 |
????*代表P < 0.05, **代表P < 0.01, ***代表P < 0.001。SM:土壤含水量; NR:硝化速率; AR:铵化速率; MR:矿化速率。*, ** and *** represent P < 0.05, P < 0.01 and P < 0.001, respectively. SM: soil moisture; NR: nitrification rate; AR: ammonification rate; MR: mineralization rate. |

参考文献
[1] | GEISSELER D, HORWATH W R, JOERGENSEN R G, et al. Pathways of nitrogen utilization by soil microorganisms — A review[J]. Soil Biology and Biochemistry, 2010, 42(12): 2058–2067 doi: 10.1016/j.soilbio.2010.08.021 |
[2] | WARING B G, ADAMS R, BRANCO S, et al. Scale-dependent variation in nitrogen cycling and soil fungal communities along gradients of forest composition and age in regenerating tropical dry forests[J]. New Phytologist, 2016, 209(2): 845–854 doi: 10.1111/nph.13654 |
[3] | 罗亲普, 龚吉蕊, 徐沙, 等.氮磷添加对内蒙古温带典型草原净氮矿化的影响[J].植物生态学报, 2016, 40(5): 480–492 doi: 10.17521/cjpe.2015.0374 LUO Q P, GONG J R, XU S, et al. Effects of N and P additions on net nitrogen mineralization in temperate typical grasslands in Nei Mongol, China[J]. Chinese Journal of Plant Ecology, 2016, 40(5): 480–492 doi: 10.17521/cjpe.2015.0374 |
[4] | FIERER N, SCHIMEL J P. Effects of drying–rewetting frequency on soil carbon and nitrogen transformations[J]. Soil Biology and Biochemistry, 2002, 34(6): 777–787 doi: 10.1016/S0038-0717(02)00007-X |
[5] | SCHIMEL J, BALSER T C, WALLENSTEIN M. Microbial stress-response physiology and its implications for ecosystem function[J]. Ecology, 2007, 88(6): 1386–1394 doi: 10.1890/06-0219 |
[6] | 巨晓棠, 李生秀.土壤氮素矿化的温度水分效应[J].植物营养与肥料学报, 1998, 4(1): 37–42 doi: 10.11674/zwyf.1998.0106 JU X T, LI S X. The effect of temperature and moisture on nitrogen mineralization in soils[J]. Journal of Plant Nutrition and Fertilizer, 1998, 4(1): 37–42 doi: 10.11674/zwyf.1998.0106 |
[7] | 刘杏认, 董云社, 齐玉春, 等.温带典型草地土壤净氮矿化作用研究[J].环境科学, 2007, 28(3): 633–639 http://www.docin.com/p-21855687.html LIU X R, DONG Y S, QI Y C, et al. Soil net nitrogen mineralization in the typical temperate grassland[J]. Environmental Science, 2007, 28(3): 633–639 http://www.docin.com/p-21855687.html |
[8] | 王常慧, 邢雪荣, 韩兴国.温度和湿度对我国内蒙古羊草草原土壤净氮矿化的影响[J].生态学报, 2004, 24(11): 2472–2476 doi: 10.3321/j.issn:1000-0933.2004.11.018 WANG C H, XING X R, HAN X G. The effects of temperature and moisture on the soil net nitrogen mineralization in an Aneulolepidium chinensis grassland, Inner Mongolia, China[J]. Acta Ecologica Sinica, 2004, 24(11): 2472–2476 doi: 10.3321/j.issn:1000-0933.2004.11.018 |
[9] | PAUL K, BLACK S, CONYERS M. Development of nitrogen mineralisation gradients through surface soil depth and their influence on surface soil pH[J]. Plant and Soil, 2001, 234(2): 239–246 doi: 10.1023/A:1017904613797 |
[10] | 傅声雷, 蚁伟民, 丁明懋.鼎湖山不同植被类型下土壤微生物养分的矿化[J].植物生态学报, 1995, 19(3): 217–224 http://www.cje.net.cn/CN/abstract/abstract8660.shtml FU S L, YI W M, DING M M. Mineralization of soil microbial C, N, P and K in different vegetation types at Dinghushan biosphere reserve[J]. Acta Phytoecologica Sinica, 1995, 19(3): 217–224 http://www.cje.net.cn/CN/abstract/abstract8660.shtml |
[11] | MUELLER K E, HOBBIE S E, TILMAN D, et al. Effects of plant diversity, N fertilization, and elevated carbon dioxide on grassland soil N cycling in a long-term experiment[J]. Global Change Biology, 2013, 19(4): 1249–1261 doi: 10.1111/gcb.12096 |
[12] | 唐克丽.中国水土保持[M].北京:科学出版社, 2004 TANG K L. Soil and Water Conservation in China[M]. Beijing: Science Press, 2004 |
[13] | 唐克丽.中国土壤侵蚀与水土保持学的特点及展望[J].水土保持研究, 1999, 6(2): 2–7 http://d.wanfangdata.com.cn/Periodical/stbcyj199902002 TANG K L. Characteristics and perspectives on scientific discipline of soil erosion and soil and water conservation in China[J]. Research of Soil and Water Conservation, 1999, 6(2): 2–7 http://d.wanfangdata.com.cn/Periodical/stbcyj199902002 |
[14] | 田均良.黄土高原生态建设环境效应研究[M].北京:气象出版社, 2010 TIAN J L. Study on Environmental Effects of Ecological Construction in Loess Plateau[M]. Beijing: China Meteorological Press, 2010 |
[15] | LYU Y H, FU B J, FENG X M, et al. A policy-driven large scale ecological restoration: quantifying ecosystem services changes in the Loess Plateau of China[J]. PLoS One, 2012, 7(2): e31782 doi: 10.1371/journal.pone.0031782 |
[16] | 黄闰泉, 刘贵开, 袁传武, 等.三峡库区坡面农林复合结构对土壤养分分布的影响[J].水土保持学报, 2000, 14(3): 41–45 http://www.cnki.com.cn/Article/CJFDTOTAL-ZLYY200004025.htm HUANG R Q, LIU G K, YUAN C W, et al. Impact of agroforestry structure of slopeland on distribution of soil nutrient in Three Gorges Reservoir area[J]. Journal of Soil and Water Conservation, 2000, 14(3): 41–45 http://www.cnki.com.cn/Article/CJFDTOTAL-ZLYY200004025.htm |
[17] | 王巧利, 贾燕锋, 王宁, 等.黄土丘陵沟壑区自然恢复坡面植物根系的分布特征[J].水土保持研究, 2012, 19(5): 16–22 http://www.cqvip.com/QK/98303X/201205/43367189.html WANG Q L, JIA Y F, WANG N, et al. Distribution of root on vegetation recovery slope in the hilly and gully Loess Plateau[J]. Research of Soil and Water Conservation, 2012, 19(5): 16–22 http://www.cqvip.com/QK/98303X/201205/43367189.html |
[18] | 冯书珍, 苏以荣, 秦新民, 等.喀斯特峰丛洼地土壤剖面微生物特性对植被和坡位的响应[J].生态学报, 2013, 33(10): 3148–3157 http://d.wanfangdata.com.cn/Periodical/stxb201310023 FENG S Z, SU Y R, QIN X M, et al. Responses of soil microbial properties in soil profile to typical vegetation pattern and slope in karst-cluster depression area[J]. Acta Ecologica Sinica, 2013, 33(10): 3148–3157 http://d.wanfangdata.com.cn/Periodical/stxb201310023 |
[19] | WEI X R, SHAO M G, FU X L, et al. Changes in soil organic carbon and total nitrogen after 28 years grassland afforestation: effects of tree species, slope position, and soil order[J]. Plant and Soil, 2010, 331(1/2): 165–179 doi: 10.1007/s11104-009-0243-3.pdf |
[20] | 唐克丽, 侯庆春, 王斌科, 等.黄土高原水蚀风蚀交错带和神木试区的环境背景及整治方向[J].中国科学院水利部西北水土保持研究所集刊, 1993, (2): 2–11 http://www.cnki.com.cn/Article/CJFDTotal-GHQJ201306014.htm TANG K L, HOU Q C, WANG B K, et al. The environment background and administration way of wind-water erosion crisscross region Shenmu experimental area on the Loess Plateau[J]. Research of Soil and Water Conservation, 1993, (2): 2–11 http://www.cnki.com.cn/Article/CJFDTotal-GHQJ201306014.htm |
[21] | 郑纪勇, 邵明安, 张兴昌.黄土区坡面表层土壤容重和饱和导水率空间变异特征[J].水土保持学报, 2004, 18(3): 53–56 http://plantnutrifert.org/CN/abstract/abstract3740.shtml ZHENG J Y, SHAO M A, ZHANG X C. Spatial variation of surface soil's bulk density and saturated hydraulic conductivity on slope in loess region[J]. Journal of Soil and Water Conservation, 2004, 18(3): 53–56 http://plantnutrifert.org/CN/abstract/abstract3740.shtml |
[22] | PATRIARCA E J, TATè R, IACCARINO M. Key role of bacterial NH4+ metabolism in rhizobium-plant symbiosis[J]. Microbiology and Molecular Biology Reviews, 2002, 66(2): 203–222 doi: 10.1128/MMBR.66.2.203-222.2002 |
[23] | 肖好燕, 刘宝, 余再鹏, 等.亚热带不同林分土壤矿质氮库及氮矿化速率的季节动态[J].应用生态学报, 2017, 28(3): 730–738 http://www.cjae.net/CN/abstract/abstract20482.shtml XIAO H Y, LIU B, YU Z P, et al. Seasonal dynamics of soil mineral nitrogen pools and nitrogen mineralization rate in different forests in subtropical China[J]. Chinese Journal of Applied Ecology, 2017, 28(3): 730–738 http://www.cjae.net/CN/abstract/abstract20482.shtml |
[24] | 刘秀萍, 陈丽华, 陈吉虎.刺槐和油松根系密度分布特征研究[J].干旱区研究, 2007, 24(5): 647–651 https://www.wenkuxiazai.com/doc/95b79460caaedd3383c4d336.html LIU X P, CHEN L H, CHEN J H. Study on the distribution of root density of Robinia pseudoacacia L. and Pinus tabulaeformis Carr[J]. Arid Zone Research, 2007, 24(5): 647–651 https://www.wenkuxiazai.com/doc/95b79460caaedd3383c4d336.html |
[25] | 范爱武. 资源-环境-植物系统中热物理问题的理论与实验研究[D]. 武汉: 华中科技大学, 2004 FAN A W. Theoretical and experimental investigation on thermophysical problems in resources-environment-plant system[D]. Wuhan: Huazhong University of Science and Technology, 2004 |
[26] | 石薇, 王景燕, 魏有波, 等.水热条件对华西雨屏区柳杉人工林土壤氮矿化的影响[J].土壤通报, 2014, 45(6): 1430–1436 http://www.cnki.com.cn/Journal/D-D1-TRTB-2014-06.htm SHI W, WANG J Y, WEI Y B, et al. Effects of moisture and temperature on soil nitrogen mineralization of Cryptomeria fortunei plantations in rainy area of Western China[J]. Chinese Journal of Soil Science, 2014, 45(6): 1430–1436 http://www.cnki.com.cn/Journal/D-D1-TRTB-2014-06.htm |
[27] | 赵长盛, 胡承孝, 孙学成, 等.温度和水分对华中地区菜地土壤氮素矿化的影响[J].中国生态农业学报, 2012, 20(7): 861–866 http://www.ecoagri.ac.cn/zgstny/ch/reader/view_abstract.aspx?file_no=2012709&flag=1 ZHAO C S, HU C X, SUN X C, et al. Influence of temperature and moisture on nitrogen mineralization in vegetable fields of central China[J]. Chinese Journal of Eco-Agriculture, 2012, 20(7): 861–866 http://www.ecoagri.ac.cn/zgstny/ch/reader/view_abstract.aspx?file_no=2012709&flag=1 |
[28] | BURGER M, JACKSON L E. Microbial immobilization of ammonium and nitrate in relation to ammonification and nitrification rates in organic and conventional cropping systems[J]. Soil Biology and Biochemistry, 2003, 35(1): 29–36 doi: 10.1016/S0038-0717(02)00233-X |
[29] | 朱元龙, 王桑, 林永刚, 等.黄土高原丘陵区柠条根系生长发育特性研究[J].水土保持通报, 2011, 31(2): 232–237 http://www.doc88.com/p-1902348637112.html ZHU Y L, WANG S, LIN Y G, et al. Development of Caragana microphylla seedling root system in hilly regions of Loess Plateau[J]. Bulletin of Soil and Water Conservation, 2011, 31(2): 232–237 http://www.doc88.com/p-1902348637112.html |
[30] | 张名豪, 卢吉文, 赵秀兰.有机物料对两种紫色土氮素矿化的影响[J].环境科学, 2016, 37(6): 2291–2297 http://www.cnki.com.cn/Article/CJFDTotal-HJKZ201606038.htm ZHANG M H, LU J W, ZHAO X L. Effect of different organic materials on nitrogen mineralization in two purple soils[J]. Environmental Science, 2016, 37(6): 2291–2297 http://www.cnki.com.cn/Article/CJFDTotal-HJKZ201606038.htm |
[31] | MILCU A, PARTSCH S, SCHERBER C, et al. Earthworms and legumes control litter decomposition in a plant diversity gradient[J]. Ecology, 2008, 89(7): 1872–1882 doi: 10.1890/07-1377.1 |
[32] | STARK J M, FIRESTONE M K. Mechanisms for soil moisture effects on activity of nitrifying bacteria[J]. Applied and Environmental Microbiology, 1995, 61(1): 218–221 https://digitalcommons.usu.edu/biology_facpub/624 |