李家曦2,
范凤翠3,
韩宪忠1,,,
刘胜尧3,
李志宏3,
贾建明3,
王克俭1,
张哲3,
贾宋楠3
1.河北农业大学信息科学与技术学院 保定 071001
2.南京农业大学园艺学院 南京 210095
3.河北农林科学院农业信息与经济研究所 石家庄 050051
基金项目: 国家公益性行业(农业)科研专项201303133-1-3
河北省科技计划项目16227005D
现代农业科技创新工程494-0402-YBN-H5A4
详细信息
作者简介:王贺垒, 主要从事农业节水模型信息化研究。E-mail:wanghelei20117462@163.com
通讯作者:韩宪忠, 主要研究方向为农业模型与信息化研究。E-mail:13832252366@163.com
中图分类号:S641.1;S161.4;S275.6计量
文章访问数:799
HTML全文浏览量:1
PDF下载量:643
被引次数:0
出版历程
收稿日期:2018-02-28
录用日期:2018-07-10
刊出日期:2018-12-01
Evapotranspiration model and crop coefficient of greenhouse eggplant in North China
WANG Helei1,,LI Jiaxi2,
FAN Fengcui3,
HAN Xianzhong1,,,
LIU Shengyao3,
LI Zhihong3,
JIA Jianming3,
WANG Kejian1,
ZHANG Zhe3,
JIA Songnan3
1. Institute of Information Science and Technology, Agricultural University of Hebei, Baoding 071001, China
2. College of Horticulture, Nanjing Agricultural University, Nanjing 210095, China
3. Institute of Agriculture Information and Economic of Hebei Academy of Agriculture and Forestry Sciences, Shijiazhuang 050051, China
Funds: the Special Fund for Agro-scientific Research in the Public Interest of China201303133-1-3
Hebei Science and Technology Plan Project16227005D
the Modern Agricultural Science and Technology Innovation Project of China494-0402-YBN-H5A4
More Information
Corresponding author:HAN Xianzhong, E-mail: 13832252366@163.com
摘要
HTML全文
图
参考文献
相关文章
施引文献
资源附件
访问统计
摘要
摘要:构建华北地区设施茄子蒸散量估算模型,可为制定其优化灌溉制度提供理论依据。本研究设灌水定额15 mm(W1)、22.5 mm(W2)、30 mm(W3)和37.5 mm(充分灌溉,CK)4个处理,在设施茄子苗期、开花座果期和成熟采摘期土壤含水率分别达田间持水量的70%、80%和70%时进行灌溉,以保证土壤供水充足。基于修正后的Penman-Monteith方程,通过分析CK处理的作物系数与叶面积指数的关系,建立了基于气象数据与叶面积指数的蒸散量估算模型,利用W1、W2和W3实测蒸散量对其进行验证。结果表明:修正后的Penman-Monteith方程可用于设施参考作物蒸散量的估算,W1、W2和W3蒸散量的实测值与新建模型的模拟值平均相对误差分别为17.81%、18.31%和17.97%。作物系数与叶面积指数呈显著线性关系,可通过叶面积指数确定作物系数。分析W1、W2、W3和CK处理的产量和水分利用效率(WUE)得出,W2与CK产量差异性不显著,而WUE差异性显著,较CK提高31.59%,表明W2兼顾产量和WUE。W2处理下茄子的作物系数,苗期为0.21~0.46,开花座果期为0.62~0.94,成熟采摘期为0.70~0.92。本研究认为,新建模型在估算设施茄子实际蒸散量上具有较好适用性,计算出的作物系数在节水灌溉条件下具有实际应用价值。
关键词:设施茄子/
Penman-Monteith方程/
蒸散量/
估算模型/
作物系数/
灌水定额
Abstract:The theoretical basis of a model for estimation of evapotranspiration of greenhouse eggplants in North China was constructed for the development of optimized irrigation systems.Because irrigation of vegetables in North China has been much higher than crop evapotranspiration, severe deep soil water leakage has occurred, resulting in soil salinization and compaction.This has had a significant impact on the yield and quality of vegetables, resulting in larges waste of water resources.An evapotranspiration model was needed to not only guide irrigation to improve water use efficiency of vegetables, also lay the foundation for the application of agricultural information technology.It can be used to alleviate over-exploitation of groundwater and reduce frequent occurrences of diseases and pests in vegetables due to large amount irrigation.Therefore, it was necessary to establish a model that can accurately simulate vegetable evapotranspiration under greenhouse conditions.In this experiment, the effect of irrigation quota on yield and water use efficiency of eggplant in greenhouse was investigated by setting watering quotas of 15 mm (W1), 22.5 mm (W2), 30 mm (W3) and 37.5 mm (full irrigation quota, CK).The fields were irrigated to ensure sufficient water supply at seeding, flowering and maturity stages, at which the soil moisture contents were kept respectively at 70%, 80% and 70% of field capacity. Based on the modified Penman-Monteith equation and by analysis of relationship between crop coefficient and leaf area index of CK treatment, a model for the evapotranspiration based on meteorological data and leaf area index was established.The model was validated by measured evapotranspiration data under W1, W2 and W3.The results showed that average relative errors between the measured evapotranspiration for W1, W2 and W3 and the simulated values by the model were respectively 17.81%, 18.31% and 17.97%. This showed that the modified Penman-Monteith equation accurately estimated reference crop evapotranspiration under greenhouse conditions.Crop coefficient (Kc) had a significant linear regression with leaf area index (LAI), Kc=0.21 LAI+0.199 1(P < 0.05), indicating that it was possible to determine crop coefficient from leaf area index.The simulated results showed on significant difference in yield (P > 0.05), and significant difference in WUE (P < 0.05) between W2 and CK.WUE of W2 was 31.59% higher than that of CK, indicating that W2 addressed both yield and WUE.Crop coefficients of eggplants at seedling stage and flowering to fruiting period and ripening stage under W2 treatment were respectively 0.21-0.46, 0.62-0.94 and 0.70-0.92.The study suggested that the new model was applicable in estimating actual evapotranspiration of facility eggplants.It calculated crop coefficient that was of practical value in water-saving irrigation.The research was significant for guiding agricultural precision irrigation.
Key words:Facility eggplant/
Penman-Monteith equation/
Evapotranspiration/
Estimation model/
Crop coefficient/
Irrigation quota
HTML全文

图1茄子生育期内设施日均气温、日累积太阳辐射和日均相对湿度的变化
Ia:日累积太阳辐射; RH:日均相对湿度。Ia: daily cumulative solar radiation; RH: daily relative humidity.
Figure1.Average daily temperature, daily cumulative solar radiation and daily relative humidity during the growing stage of greenhouse eggplant


图2充分灌溉条件下设施茄子生育期内作物系数的变化
Figure2.Variation of crop coefficient for greenhouse eggplant during the growing stage under sufficient irrigation


图3设施茄子作物系数与叶面积指数的关系
Figure3.Relationship between plant coefficient and leaf area index for greenhouse eggplant


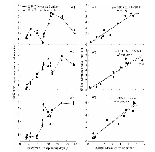
图4不同灌水条件下设施茄子蒸散量实测值(左)及其与模拟值的比较(右)
W1:灌水定额15 mm; W2:灌水定额22.5 mm; W3:灌水定额30 mm。W1: irrigation quota 15 mm; W2: irrigation quota 22.5 mm; W3: irrigation quota 30 mm.
Figure4.Actual evapotranspiration (left) and comparison with simulated values (right) for greenhouse eggplant under different irrigation quotas


图5不同灌水定额处理茄子产量(A)、水分生产效率(B)的比较
W1:灌水定额15 mm; W2:灌水定额22.5 mm; W3:灌水定额30 mm; CK:灌水定额37.5 mm。不同小写字母表示不同处理间差异显著(P < 0.05)。W1: irrigation quota 15 mm; W2: irrigation quota 22.5 mm; W3: irrigation quota 30 mm; CK: irrigation quota 37.5 mm. Different lowercase letters indicate significant differences among treatments (P < 0.05).
Figure5.Comparison of yield and water use efficiency (WUE) of greenhouse eggplant under different irrigation quota treatments


图6适宜灌水条件下设施茄子生育期内作物系数的变化
Figure6.Variation of crop coefficient during whole growth stage of greenhouse eggplant under suitable irrigation condition

参考文献
[1] | 张凯, 周婕, 赵杰, 等.华北平原主要种植模式农业地下水足迹研究——以河北省吴桥县为例[J].中国生态农业学报, 2017, 25(3): 328-336 http://www.ecoagri.ac.cn/zgstny/ch/reader/view_abstract.aspx?file_no=20170303&flag=1 ZHANG K, ZHOU J, ZHAO J, et al. Agricultural groundwater footprint of the major cropping system in the North China Plain: A case study of Wuqiao County, Hebei Province[J]. Chinese Journal of Eco-Agriculture, 2017, 25(3): 328-336 http://www.ecoagri.ac.cn/zgstny/ch/reader/view_abstract.aspx?file_no=20170303&flag=1 |
[2] | YANG J F, LI B Q, LIU S P. A large weighing lysimeter for evapotranspiration and soil-water-groundwater exchange studies[J]. Hydrological Processes, 2000, 14(10): 1887-1897 doi: 10.1002/(ISSN)1099-1085 |
[3] | 王亚蕊, 王彦辉, 于澎涛, 等.华北落叶松人工林蒸散及产流对叶面积指数变化的响应[J].生态学报, 2016, 36(21): 6928-6938 http://d.old.wanfangdata.com.cn/Periodical/stxb201621026 WANG Y R, WANG Y H, YU P T, et al. Simulated responses of evapotranspiration and runoff to changes in the leaf area index of a Larix principis-rupprechtii plantation[J]. Acta Ecologica Sinica, 2016, 36(21): 6928-6938 http://d.old.wanfangdata.com.cn/Periodical/stxb201621026 |
[4] | Yeager T H, Million J B. Irrigation system capacity determined by container plant evapotranspiration[J]. Acta Horticulturae, 2013, 990(990): 327-329 |
[5] | 孙宏勇, 张喜英, 陈素英, 等.农田耗水构成、规律及影响因素分析[J].中国生态农业学报, 2011, 19(5): 1032-1038 http://www.ecoagri.ac.cn/zgstny/ch/reader/view_abstract.aspx?file_no=20110508&flag=1 SUN H Y, ZHANG X Y, CHEN S Y, et al. Analysis of field water consumption, its pattern, impact and driving factors[J]. Chinese Journal of Eco-Agriculture, 2011, 19(5): 1032-1038 http://www.ecoagri.ac.cn/zgstny/ch/reader/view_abstract.aspx?file_no=20110508&flag=1 |
[6] | 吴林, 刘兴冉, 闵雷雷, 等.黑河中游绿洲区玉米冠层阻抗的环境响应及模拟[J].中国生态农业学报, 2017, 25(2): 247-257 http://www.ecoagri.ac.cn/zgstny/ch/reader/view_abstract.aspx?file_no=20170212&flag=1 WU L, LIU X R, MIN L L, et al. Response of maize canopy to environmental factors in the middle reach oasis of Heihe River Basin[J]. Chinese Journal of Eco-Agriculture, 2017, 25(2): 247-257 http://www.ecoagri.ac.cn/zgstny/ch/reader/view_abstract.aspx?file_no=20170212&flag=1 |
[7] | 段爱旺, 孙景生, 刘钰, 等.北方地区主要农作物灌溉用水定额[M].北京:中国农业科学技术出版社, 2004 DUAN A W, SUN J S, LIU Y, et al. Main Crops Irrigation Quota in Northern China[M]. Beijing: China Agricultural Science and Technology Press, 2004 |
[8] | 王娟, 王建林, 刘家斌, 等.基于Penman-Monteith模型的两个蒸散模型在夏玉米农田的参数修正及性能评价[J].应用生态学报, 2017, 28(6): 1917-1924 http://d.old.wanfangdata.com.cn/Periodical/yystxb201706021 WANG J, WANG J L, LIU J B, et al. Parameters modification and evaluation of two evapotranspiration models based on Penman-Monteith model for summer maize[J]. Chinese Journal of Applied Ecology, 2017, 28(6): 1917-1924 http://d.old.wanfangdata.com.cn/Periodical/yystxb201706021 |
[9] | 吴立峰, 白桦, 张富仓, 等. FAO Penman-Monteith及简化方法在西北适用性研究[J].农业机械学报, 2016, 47(12): 139-151 doi: 10.6041/j.issn.1000-1298.2016.12.018 WU L F, BAI H, ZHANG F C, et al. Applicability of FAO Penman-Monteith and alternative methods for estimating reference evapotranspiration in Northwest China[J]. Transactions of the Chinese Society of Agricultural Machinery, 2016, 47(12): 139-151 doi: 10.6041/j.issn.1000-1298.2016.12.018 |
[10] | 陈新明, 蔡焕杰, 李红星, 等.温室大棚内作物蒸发蒸腾量计算[J].应用生态学报, 2007, 18(2): 317-321 doi: 10.3321/j.issn:1001-9332.2007.02.014 CHEN X M, CAI H J, LI H X, et al. Calculation of crop evapotranspiration in greenhouse[J]. Chinese Journal of Applied Ecology, 2007, 18(2): 317-321 doi: 10.3321/j.issn:1001-9332.2007.02.014 |
[11] | 刘浩, 孙景生, 梁媛媛, 等.滴灌条件下温室番茄需水量估算模型[J].应用生态学报, 2011, 22(5): 1201-1206 http://d.old.wanfangdata.com.cn/Periodical/yystxb201105015 LIU H, SUN J S, LIANG Y Y, et al. Estimation model for water requirement of greenhouse tomato under drip irrigation[J]. Chinese Journal of Applied Ecology, 2011, 22(5): 1201-1206 http://d.old.wanfangdata.com.cn/Periodical/yystxb201105015 |
[12] | 张大龙, 李建明, 吴普特, 等.温室甜瓜营养生长期日蒸腾量估算模型[J].应用生态学报, 2013, 24(7): 1938-1944 http://d.old.wanfangdata.com.cn/Periodical/yystxb201307022 ZHANG D L, LI J M, WU P T, et al. Estimation model for daily transpiration of greenhouse muskmelon in its vegetative growth period[J]. Chinese Journal of Applied Ecology, 2013, 24(7): 1938-1944 http://d.old.wanfangdata.com.cn/Periodical/yystxb201307022 |
[13] | 王浩, 王淑兰, 徐宗贵, 等.耕作与施肥对旱地玉米田土壤耗水量和水分利用效率的影响[J].中国生态农业学报, 2017, 25(6): 856-864 http://www.ecoagri.ac.cn/zgstny/ch/reader/view_abstract.aspx?file_no=20170609&flag=1 WANG H, WANG S L, XU Z G, et al. Effect of tillage and fertilization on water use efficiency of maize in dryland conditions[J]. Chinese Journal of Eco-Agriculture, 2017, 25(6): 856-864 http://www.ecoagri.ac.cn/zgstny/ch/reader/view_abstract.aspx?file_no=20170609&flag=1 |
[14] | 倪纪恒, 罗卫红, 李永秀, 等.温室番茄叶面积与干物质生产的模拟[J].中国农业科学, 2005, 38(8): 1629-1635 doi: 10.3321/j.issn:0578-1752.2005.08.019 NI J H, LUO W H, LI Y X, et al. Simulation of leaf area and dry matter production in greenhouse tomato[J]. Scientia Agricultura Sinica, 2005, 38(8): 1629-1635 doi: 10.3321/j.issn:0578-1752.2005.08.019 |
[15] | ZERME?IO-GONZáLEZ A, MELENDRES-ALVAREZ A I, FUERTE-MOSQUEDA L A, et al. Evapotranspiration rate of a vineyard and its relation to the reference of the FAO Penman-Monteith method[J]. Agrociencia, 2017, 51(1): 1-12 |
[16] | AMAZIRH A, ER-RAKI S, CHEHBOUNI A, et al. Modified Penmane-Monteith equation for monitoring evapotranspiration of wheat crop: Relationship between the surface resistance and remotely sensed stress index[J]. Biosystems Engineering, 2017, 164: 68-84 doi: 10.1016/j.biosystemseng.2017.09.015 |
[17] | GONG L B, XU C Y, CHEN D L, et al. Sensitivity of the Penman-Monteith reference evapotranspiration to key climatic variables in the Changjiang (Yangtze River) basin[J]. Journal of Hydrology, 2006, 329(3/4): 620-629 http://www.sciencedirect.com/science/article/pii/S0022169406001399 |
[18] | TIAN G M, WANG F E, CHEN Y X, et al. Effect of different vegetation systems on soil erosion and soil nutrients in red soil region of southeastern China[J]. Pedosphere, 2003, 13(2): 121-128 http://kns.cnki.net/KCMS/detail/detail.aspx?filename=TRQY200302003&dbname=CJFD&dbcode=CJFQ |
[19] | Baselga Yrisarry J J, Prieto Losada M H, Rodríguez del Rinc & oacu A. Response of processing tomato to three different levels of water and nitrogen applications[C]// International Symposium on Irrigation of Horticultural Crops. 1992: 149-156 |
[20] | PAREDES P, PEREIRA L S, RODRIGUES G C, et al. Using the FAO dual crop coefficient approach to model water use and productivity of processing pea (Pisum sativum L.) as influenced by irrigation strategies[J]. Agricultural Water Management, 2017, 189: 5-18 doi: 10.1016/j.agwat.2017.04.010 |
[21] | 宋文品, 黄菁, 陈晓丽, 等.地膜覆盖与常规灌溉对冬小麦耗水特征和产量的影响[J].中国生态农业学报, 2016, 24(11): 1445-1455 http://www.ecoagri.ac.cn/zgstny/ch/reader/view_abstract.aspx?file_no=20161102&flag=1 SONG W P, HUANG J, CHEN X L, et al. Effects of plastic film mulching and conventional irrigation on water consumption characteristics and yield of winter wheat[J]. Chinese Journal of Eco-Agriculture, 2016, 24(11): 1445-1455 http://www.ecoagri.ac.cn/zgstny/ch/reader/view_abstract.aspx?file_no=20161102&flag=1 |
[22] | 吴东, 何奇瑾, 潘志华, 等.东北春玉米不同生育阶段日蒸散发模型的适用性研究[J].中国农业大学学报, 2017, 22(8): 18-29 http://d.old.wanfangdata.com.cn/Periodical/zgnydxxb201708003 WU D, HE Q J, PAN Z H, et al. Applicability of daily evapotranspiration models at different growth stages of spring maize in Northeast China[J]. Journal of China Agricultural University, 2017, 22(8): 18-29 http://d.old.wanfangdata.com.cn/Periodical/zgnydxxb201708003 |
[23] | 刘春伟, 曾勰婷, 邱让建.用分时段修正双源模型估算南京地区冬小麦生育期蒸散量[J].农业工程学报, 2016, 32(S1): 80-87 http://d.old.wanfangdata.com.cn/Periodical/nygcxb2016z1012 LIU C W, ZENG X T, QIU R J. Simulated total evapotranspiration of winter wheat with modified Shuttleworth-Wallace model in different stages in Nanjing[J]. Transactions of the CSAE, 2016, 32(S1): 80-87 http://d.old.wanfangdata.com.cn/Periodical/nygcxb2016z1012 |
[24] | 刘浩, 段爱旺, 孙景生, 等.基于Penman-Monteith方程的日光温室番茄蒸腾量估算模型[J].农业工程学报, 2011, 27(9): 208-213 doi: 10.3969/j.issn.1002-6819.2011.09.036 LIU H, DUAN A W, SUN J S, et al. Estimation model of transpiration for greenhouse tomato based on Penman-Monteith equation[J]. Transactions of the CSAE, 2011, 27(9): 208-213 doi: 10.3969/j.issn.1002-6819.2011.09.036 |
[25] | DJAMAN K, RUDNICK D, MEL V C, et al. Evaluation of Valiantzas' simplified forms of the FAO-56 Penman-Monteith reference evapotranspiration model in a humid climate[J]. Journal of Irrigation and Drainage Engineering, 2017, 143(8): 06017005 doi: 10.1061/(ASCE)IR.1943-4774.0001191 |
[26] | 石小虎, 蔡焕杰, 赵丽丽, 等.不同水分处理下基于辐热积的温室番茄干物质生产及分配模型[J].农业工程学报, 2016, 32(3): 69-77 http://d.old.wanfangdata.com.cn/Periodical/nygcxb201603012 SHI X H, CAI H J, ZHAO L L, et al. Greenhouse tomato dry matter production and distribution model under condition of irrigation based on product of thermal effectiveness and photosynthesis active radiation[J]. Transactions of the CSAE, 2016, 32(3): 69-77 http://d.old.wanfangdata.com.cn/Periodical/nygcxb201603012 |
[27] | 张中典, 张大龙, 李建明, 等.辐热积驱动的温室甜瓜作物系数模型[J].西北农林科技大学学报:自然科学版, 2017, 45(2): 128-134 http://d.old.wanfangdata.com.cn/Periodical/xbnydxxb201702018 ZHANG Z D, ZHANG D L, LI J M, et al. Modeling crop coefficient for muskmelon in greenhouse using photo-thermal product[J]. Journal of Northwest A & F University: Natural Science Edition, 2017, 45(2): 128-134 http://d.old.wanfangdata.com.cn/Periodical/xbnydxxb201702018 |
[28] | 谭峰, 高艳萍.基于图像的植物叶面积无损测量方法研究[J].农业工程学报, 2008, 24(5): 170-173 doi: 10.3321/j.issn:1002-6819.2008.05.037 TAN F, GAO Y P. Investigation of the method for non-destructive measurement of leaf area based on image[J]. Transactions of the CSAE, 2008, 24(5): 170-173 doi: 10.3321/j.issn:1002-6819.2008.05.037 |
[29] | 李翠娜, 张雪芬, 余正泓, 等.基于图像提取技术计算夏玉米覆盖度和反演叶面积指数的精度评价[J].中国农业气象, 2016, 37(4): 479-491 doi: 10.3969/j.issn.1000-6362.2016.04.013 LI C N, ZHANG X F, YU Z H, et al. Accuracy evaluation of summer maize coverage and leaf area index inversion based on images extraction technology[J]. Chinese Journal of Agrometeorology, 2016, 37(4): 479-491 doi: 10.3969/j.issn.1000-6362.2016.04.013 |
[30] | 强小嫚, 孙景生, 刘浩, 等.滴灌定额对西瓜/棉花间作产量及水分生产效率的影响[J].农业工程学报, 2016, 32(19): 113-119 doi: 10.11975/j.issn.1002-6819.2016.19.016 QIANG X M, SUN J S, LIU H, et al. Effects of drip irrigation quota on yield and water productivity in watermelon-cotton intercropping system[J]. Transactions of the CSAE, 2016, 32(19): 113-119 doi: 10.11975/j.issn.1002-6819.2016.19.016 |
[31] | 裴芸, 别之龙.塑料大棚中不同灌水量上限对生菜生长、品质及生理特性的影响[J].农业工程学报, 2007, 23(9): 176-180 doi: 10.3321/j.issn:1002-6819.2007.09.033 PEI Y, BIE Z L. Effects of different irrigation maxima on the growth, quality and physiological characteristics of lettuce in plastic greenhouse[J]. Transactions of the CSAE, 2007, 23(9): 176-180 doi: 10.3321/j.issn:1002-6819.2007.09.033 |