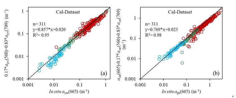
中科院东北地理与农业生态研究所水环境遥感团队,在内陆浑浊水体叶绿素a浓度遥感定量反演方面取得重要进展。构建了一种新的内陆浑浊水体叶绿素a浓度估算算法(TC2)。TC2算法提出了一种新的假设用于更有效地去除叶绿素a吸收峰附近(~665 nm)非色素碎屑物质吸收信号。相比于经典三波段模型的假设,TC2模型的假设大大提高了叶绿素a吸收峰附近非色素碎屑物质吸收信号的去除精度,其对藻类色素吸收系数估算的平均相对误差由经典三波段模型的65%降低为20%。基于大量野外实测数据的验证结果表明,相比于几种经典算法,TC2算法大大提高了内陆浑浊水体叶绿素a浓度的估算精度。
![]() 图1. 基于实测吸收数据对TC2算法新的假设的验证 ![]() 图2. 5种模型叶绿素a浓度估算精度对比 该成果近期发表在《Remote Sensing of Environment》上,受到国家重点研发计划课题“我国北方湖泊时空格局和变化特征 (2019YFA0607101)”与国家自然科学基金重点项目(“咸水湖泊固有光学-偏振-介电特性研究”, 41730104)的共同资助。 论文信息: Ge Liu, Lin Li, Kaishan Song, Yunmei Li, Heng Lyu, Zhidan Wen, Chong Fang, Shun Bi, Xiaoping Sun, Zongming Wang, Zhigang Cao, Yingxin Shang, Gongliang Yu, Zhubin Zheng, Changchun Huang, Yifan Xu, Kun Shi 全文链接: https://www.sciencedirect.com/science/article/pii/S0034425720300961 https://www.sciencedirect.com/science/article/abs/pii/S0034425720300171 |


