
Study on the influence path of China’s urbanization development on energy consumption based on direct and indirect effect perspective
ZHOUMin
收稿日期:2018-03-19
修回日期:2018-06-10
网络出版日期:2018-09-20
版权声明:2018《资源科学》编辑部《资源科学》编辑部
基金资助:
作者简介:
-->
展开
摘要
关键词:
Abstract
Keywords:
-->0
PDF (5431KB)元数据多维度评价相关文章收藏文章
本文引用格式导出EndNoteRisBibtex收藏本文-->
1 引言
如何在既定有限能源约束下更高质发展城镇化是实现“美丽中国”的内在诉求,也是实现经济、政治、文化、社会和生态文明“五位一体”总体布局的重要途径。中国城镇化步伐逐步加快,《国家新型城镇化报告2016》指出:2015年中国城镇化率已由1978年的17.9%提升到56.1%,比世界平均水平高约1.2个百分点,但与70%~80%高城镇化率的欧洲、北美洲国家仍相去甚远[1]。发达国家由高城镇化率引起的能源消费逐年降低,《世界能源统计年鉴》显示2005—2015年欧洲、北美洲一次能源年复合增长率约为-0.2%①(①能源年复合增长率是能源消费在特定时期内的年度增长率,计算公式为:年均复合增长率=(现有值/基础值)(1/年数)-1),而中国增长率高达5.3%[2]。城镇化伴随人口转移与城镇建设等多项高耗能产业导致能源消费激增,同时第三产业的成熟与科技水平的提升等又促使能源不再是限制城镇化发展的一个有效约束。中国能源消费量增速已从2010年的8%顶峰急速下降为1%~2%左右[3]。随着中国城镇化发展迈入中后期转型阶段[4],中国的能源消费是否会沿发达国家的发展模式,使得较少的能源消费服务于更高水平的城镇化发展?城镇化对能源消费的影响究竟是正向的“扩张效应”还是负向的“质量作用”?目前,关于城镇化与能源消费的研究主要是围绕定量证明二者的关系展开。在城镇化引发的能耗变化方面,观点主要集中以下两个方面。第一,城镇化存在显著的能源拉动效应。其关系研究最早始于政治经济学,Schnaiberge认为只要存在增长,无论社会结构如何,能源消费都是上升的[5];Jones利用1980年59个发展中国家的截面数据研究得出城镇化提升会引起能源消费的增加[6],Zhang等分析1995—2010年中国面板数据也得到相似结 论[7]。Michaels等认为城镇化促进产业分工及重组,进而推动产业升级带动能源消费[8],并且产业结构变动是影响能源消费的关键因素[9]。Ewing等从城镇规模角度探讨了城镇化对能源消费的影响[10],同时能源消费结构不断改变支撑了城镇化向前推进[11]。张晓平则从时空角度分析能源消费的影响因素,认为城镇化发展拉动了中国能源消费增加[12]。第二,城镇化与能源消费之间存在负相关性。Pachauri使用微观调查数据分析印度总体家庭能源需求的横断面变化,研究表明两者呈负相关关系[13]。IEA报告显示美国城镇交通能耗与城镇化负相关[14],Mishra等探究斐济等太平洋岛国也得出相似结论[15]。刘耀彬运用Granger检验与协整检验分析了1978—2005年中国面板数据,认为城镇化对能源消费的贡献率较弱[16],肖宏伟也发现类似现象[17]。除以上两个方面的研究之外,刘江华认为中国城镇化率与能源消费弹性系数间呈倒U型关系[18],但中国城镇化与能源消费量之间是否存在类似走向仍需进一步验证。
综上可知,国内外****当前对于城镇化对能源消费的影响是正向抑或是负向的研究中存在观点上的差异。差异产生的原因可能有两个方面,第一,不同研究对象之间存在异质性,研究对象城镇化所处的阶段不同得到的研究结论不同。第二,模型构建不准确可能会导致研究结果的差异性。城镇化与能源消费之间存在线性抑或是非线性的影响特征,非线性特征可能是倒“U”型,也可能是递增型或递减型。鉴于此,本文以1990—2016年的中国省际数据为研究样本,探讨城镇化对能源消费存在怎样的影响特征,对线性影响、倒“U”型影响、以及递增效应与递减效应进行了分析,以准确识别城镇化对能源消费的影响特征。在此基础上,进一步分析城镇化对能源消费的影响路径,以及影响路径的异质性,以进一步丰富现有研究。
因此,本文的创新点主要体现在以下三个方面:①研究了直接效应下城镇化与能源消费量之间存在的影响关系,以及影响关系的变动特征,并进一步对城镇化与能源消费的倒“U”型关系是否存在进行了验证;②分析了城镇化对能源消费的影响路径;③探讨了城镇化的能源消费影响路径是否存在异质性特征。
2 理论分析
2.1 城镇化影响能源消费的直接效应
城镇化是经济社会发展的必然结果。中国城镇化步入快速发展期,诱发能源消耗发生变化。城镇化对能源消费既有“扩张效应”,也有“质量效应”[19]。城镇化的规模经济对建筑、交通等基础设施投资增加,在建设与建成后均会消耗能源。同时,城镇化带来的收入效应使得居民需求多样化助涨了能源消费增加。因此,一般意义上,城镇化会带来人口集聚、需求增长以及产业联动等变化,导致能源消费量增加,即“扩张效应”。另一方面,农村人口向城镇转移促进产业、技术与人才的快速集聚,有利于新知识的溢出与技术进步,进而促进清洁技术和新能源的出现和应用。同时市民优选绿色清洁能源,减少传统能源消费,达到了优化能源消费结构,提高利用效率的目的,即“质量效应”。图1描绘了上述作用机理。
图1城镇化影响能源消费的直接效应路径
-->Figure 1Direct effect path of urbanization affecting energy consumption
-->
根据以上分析,城镇化“扩张效应”所带来的促进作用和城镇化“质量效应”带来的抑制作用两者交替出现可能呈现非线性关系,表现为:当城镇化处于较低水平时,“扩张效应”占主导地位时,城镇化所带来的能源消耗不断增加;反之,当城镇化处于较高层次时,“质量效应”占主导地位时,要素集聚所引发的技术进步、消费结构优化不断减缓能源压力,促使城镇化朝更加绿色节能的方向发展。结合生态现代化理论所倡导的经济现代化更强调城镇转型对环境与能耗的影响[20],即在城镇化步入中后期,人们逐渐认识到环境可持续重要性,从而减少经济活动对能源消费以及环境的影响,人类的能源消费会随着城镇化进程呈现先增加后减少的倒U型关系。环境库兹尼茨曲线(EKC)就是该理论的经验证据。图2报告了1990—2016年中国30个省份城镇化(Urb)对能源消费量(Lnenc)的散点分布和一次与二次拟合线。由图2可知随着城镇化率(Urb)的增加,能源消费量(Lnenc)表现为整体上升趋势,但后期逐渐趋于平稳,表现为倒U型曲线增速放慢的前半段,部分省份有下滑趋势,但总体质量作用的发挥是否显著将在下文实证中逐步展开分析。

图2城镇化与能源消费关系散点分布
-->Figure 2Scattered plot of relationship between urbanization and energy consumption
-->
2.2 城镇化影响能源消费的间接效应
城镇化不仅对能源消费产生直接影响,而且会通过产业结构变迁、人力资本累积、技术进步驱动、优化能源消费结构、人口规模扩张以及经济水平提升等传导因素间接作用于能源消费。本文将城镇化通过间接传导因素对能源消费产生的影响称为城镇化影响能源消费的间接效应。根据城镇化对能源消费的间接影响,绘制城镇化影响能源消费的间接效应路径图,如图3所示。
图3城镇化影响能源消费的间接效应路径
-->Figure 3Indirect effect path of urbanization affecting energy consumption
-->
(1)产业结构升级是城镇化不断向前发展的动力与基石。快速增长和需求刚性是城镇化阶段能源消费的两大特征。城镇化初期,相关城镇基础设施建设扩张等引起能源消费激增[21]。到达城镇化中后期,产业重心由能源强度高的制造业转向能源强度低的服务业,推动产业结构高级化,出现“经济服务化”趋势。产业结构决定能源消费,第三产业占比现已逐渐赶超第二产业,产业结构升级可通过城镇化降低能源需求强度。
(2)城镇化不仅仅是居民从农村向城镇转移的简单过程,更重要的是积累人力资本提升人口和劳动者整体素质的过程。这就需要把促进城镇化的根本动力从以往的依靠资本、土地、普通劳动力转向主要依靠高素质的人力资本,通过从“人口红利”向“人力资本红利”的转变来突破发展瓶颈[22]。人力资本累积促使劳动者掌握更多低耗能技术与工艺,逐渐树立新的消费理念。这是城镇化通过人力资本影响能源消费的作用机制。
(3)城镇化为技术交流、创新等科技活动提供更广阔的空间,降低了技术创新成本,减少能耗。能源节约型技术和新替代能源使用技术的发明有利于提高能源利用效率,同时城镇化也为技术外溢提供了更加良好的环境依托[23]。此外,技术成熟所带来的经济规模扩张可能间接拉动能源消费,即能源回弹效应。回弹效应与质量效应之间的博弈主导地位决定了技术进步因素的作用方向。
(4)城镇化既可能低碳化能源消费结构,也可能增加高碳能源的比例而对能源消费量产生逆反效应。各类一次能源折成标准煤的系数不同导致能源消费量也存在差异。能源消费结构升级主要是从传统的化石能源向优质清洁能源的调整。随着居民向城镇转移的不断深入,能源消费格局由原来的“一煤独大,煤炭为主”逐步演变为“以清洁能源为主,煤炭为辅”,这会间接影响能源消费量,使其朝向“低碳化”方向不断发展[24]。但在城镇化发展初期,基础供应设施大量投入建设,能源结构也可能呈现“高碳化”。
(5)城镇化的首要特征是城镇人口的集聚。人口绝对与相对数量在不断增加,能源需求居高不下。但城镇化促使人口在城镇集聚使得居民散户式生存向集中供能方式转移,从依靠农作物秸秆、散煤向集中供暖方式转移,能源形式发生改变。其中Burgess、Floater等人反对密集型的城镇发展模式,认为人口集聚会带来能源消费的进一步增长,而不是能源节约效应[25,26]。中国人口的空间聚集和城镇化发展正经历从不协调到协调的转变,可能会消费更多的能源来满足日常生活需求。
(6)城镇化与经济发展水平为相互促进的两个因素,经济发展的不断攀升以更多的能源消费为代价。在经济水平较低时,生活与产业耗能均需以化石能源为原始动力,在经济水平较高时,产业已成规模,但运行所需能耗以及生活用能仍源源不断。根据能源阶梯理论,在收入拉动下,能源消费量也随之增加。但伴随消费层次的提高,居民绿色消费理念逐渐强化,对新入居民形成一种“示范效应”,带动新入居民形成绿色的消费理念与习惯,减少能源的消费量。
3 指标选取与数据来源
3.1 变量说明
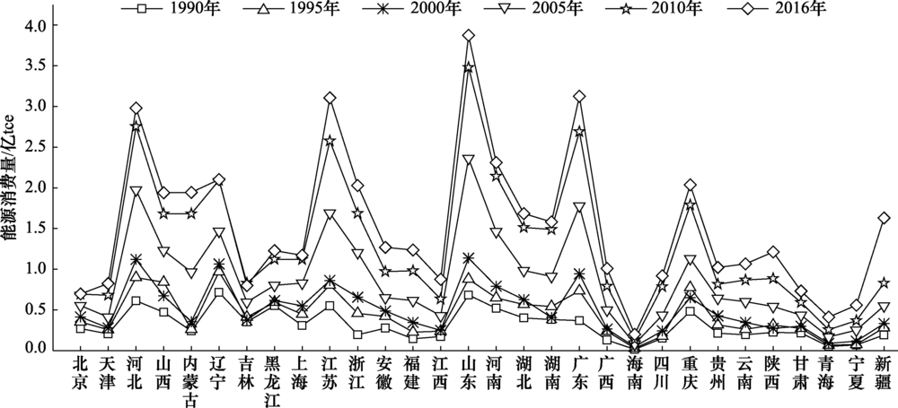
(1)被解释变量:能源消费量(Lnenc,亿tce)。城镇化伴随着工业生产、交通运输以及人们生活水平的提高等刺激能源消费量逐渐攀升。为了保证数据的完整性与代表性,本文选取能源消费量作为指标,并对其进行自然对数变换,消除数据中的异方差,变化后的数据不改变原有的关系。中国各地区部分年份的能源消费情况如图4所示。从图4可以看出,能源消费量差异显著,但是总体都处于上升趋势。其中山东、河北、广东的能源消费量稳居前三名且增幅明显,而北京、海南、青海等地消费量连年处于较低水平且涨幅不显著,这与当地的城镇化水平、产业结构、政府政策等有密切联系。

图41990—2016年中国城镇化与能源消费量的关系
-->Figure 4Relationship between urbanization and energy consumption in China from 1990 to 2016
-->
(2)解释变量:城镇化水平(Urb,%)。衡量城镇化水平的方法有三种:单一指标法、综合指标法、其他指标法。其中,单一指标法具有计算方便、简单明确的优点。本文为了获取数据的方便以及分析的合理性,借鉴了秦佳等的衡量方法[27],利用城镇常住人口与总人口的比重这一单指标衡量城镇化水平。
(3)控制变量:产业结构(Ind,%)。本文采用第三产业产值占地区生产总值的比重来衡量产业结构这一指标;人力资本(Hum,年)是影响城镇化发展的重要因素。本文借鉴朱承亮的研究方法[28],利用居民的平均受教育年限作为衡量标准,具体的计算公式为:
式中Hum为平均受教育年限,Primary、Junior、Senior和College分别表示小学、初中和大专及以上居民占6岁以上人口的比重;技术进步(Rd,%)以后备技术进步为主,即通过新能源与技术替代效应降低当前化石能源消耗,本文采用R&D经费投入强度衡量这一指标;能源消费结构(Enstr,%)低碳化是城镇化成熟阶段的直观表征。本文采用煤炭消费量与能源消费量的比值来衡量能源消费结构。经济增长(Lngdp,元)是推动城镇化的重要引擎,本文以1978年为基期的实际地区人均生产总值来衡量,在不影响运算结果的情况下进行取对数处理;人口规模(Rk,万人)扩张是城镇化最显著的标志,本文将总人口作为一个单独的指标,为保证下面计量运算结果的有效性,采用原始数据。
3.2 数据来源与分析
为保证变量的齐整性与实证结果的有效性,本文选取1990—2016年中国30个省市(西藏、港、澳、台除外)的面板数据进行实证检验。数据主要来源于《中国统计年鉴》[29]、《中国能源统计年鉴》[30]、《中国科技统计年鉴》[31]以及国家统计局数据库。对极少缺省部分采用指数平滑法以及均值替换法等方法进行数据填补。为消除通货膨胀等价格因素影响,本文对涉及价格的指标均以1978年为基期进行调整。此外,为保证数量级一致,部分变量做取对数处理。表1报告了各单变量的统计特征及方差膨胀因子。方差膨胀因子(VIF)最大值为6.19,均值为3.59,故认为本文解释变量间不存在多重共线性问题。Table1
表1
表1单变量描述性统计特征和相关系数
Table1Descriptive statistical characteristics and correlation coefficients of single variables
变量 | Lnenc | Urb | Ind | Hum | Rd | Enstr | Rk | Lngdp |
---|---|---|---|---|---|---|---|---|
均值 | 3.762 | 0.446 | 0.384 | 7.793 | 1.026 | 0.689 | 4 233.974 | 4.046 |
标准差 | 0.398 | 0.168 | 0.781 | 1.291 | 0.983 | 0.235 | 2 599.205 | 0.503 |
最小值 | 2.201 | 0.176 | 0.243 | 4.608 | 0.075 | 0.087 | 447.660 | 2.908 |
最大值 | 4.590 | 0.896 | 0.802 | 12.389 | 6.014 | 1.647 | 10 999.000 | 5.072 |
观测数 | 810 | 810 | 810 | 810 | 810 | 810 | 810 | 810 |
VIF | - | 4.430 | 3.610 | 6.190 | 3.130 | 1.300 | 1.440 | 5.080 |
新窗口打开
4 计量模型设定
考虑到城镇化与能源消费并非简单的线性关系,本文引入城镇化的平方项定量检验上文提及的倒U型曲线的存在性。除此之外,能源消费可能存在滞后效应,本文将其滞后一期纳入到解释变量中。基于以上考虑,构建如下动态模型,衡量城镇化对能源消费影响的直接效应:式中i和t分别表示省份和年份;Lnenci,t表示第i个省份t期的能源消耗;Urbi, t表示第i个省份t期的城镇化水平;β1为滞后乘数,表示前一期能源消费对当期的影响情况;vi为不可观测且不随时间变化的个体特征;Xi, t是其他控制变量,包括能源消费结构、产业结构、技术水平、人力资本,经济发展等指标,λ为其系数。εi, t为随个体与时间而变的扰动项。为避免Urb与其二次项Urb2之间可能的共线性问题,本文对平方项进行去中心化处理后用于下文分析。
为了衡量城镇化对能源消费的间接效用,本文分别引入城镇化和产业结构、人力资本、技术水平、能源消费结构四个变量的交叉项,并构建间接影响效应模型,本文仅以产业结构Ind为例,
公式(3)为包含城镇化与产业结构交叉项的GMM方程,Urb×Indi, t表示第i个省份t年的城镇化率与产业结构的交叉项;Xi, t是其他控制变量,包括人口与经济发展水平,λ为其系数。引入交叉项后,方程两边同时对Urb求导得公式(4),由此Urb对Lnenc的影响被剥离为两部分:一部分是直接影响β2,另一部分是通过交叉项产生的间接影响。借鉴伍德里奇在含交叉项模型中估计变量偏效应并检验其有效性的方法[32],将变量Ind减去其样本均值去 中心化后进行回归,得到的系数就是排除了交叉 影响后的偏效应,下文交互项分析均采用去中心化数据。
这样处理后,得到计量模型公式(5),Rd、Hum、Enstr的计量模型与Ind相同,不再赘述。
公式(6)借鉴蒋伏心等的做法,将所有去中心化后的交叉项合并在一起检验[33]。它是包括所有间接传导因素的GMM方程,其中Yi, t是控制变量。
为探究影响路径是否存在异质性,本文将城镇化作为门槛依赖变量进行面板门槛模型回归。借鉴李子豪的做法[34],对于门槛效应的估计和检验,可以分为单门槛和多门槛模型,本文以单门槛为例,模型设定如公式(7)所示:
式中θ是门槛值;I(·)表示指示函数;th为门槛变量,即Ind、Hum、Rd等变量。Xi, t是其他控制变量,λ为其系数。当th≤θ时,I=1,否则I=0。当然,多门槛效应模型可以由上述模型扩展得到。在进行检验时,为确定模型是否存在两个或者两个以上门槛,需要在单门槛基础上进行下个门槛显著性和置信区间检验。若未通过检验,则接受单门槛;若通过,则进行三门槛检验,以此类推。
5 实证分析与结果
城镇化对能源消费的作用如何?城镇化通过各传导因素对能源消费的间接影响与直接影响有何差异?由于计量模型中引入了被解释变量的一阶滞后变量作为解释变量,从而演变成动态面板模型,故本文运用系统GMM方法进行估计。系统GMM将差分方程与水平方程集合为一个方程进行GMM估计,可分别用于直接与间接影响的分析实证,以便于对比的一致性。最后,本文采取门槛模型验证各传导因素潜在的门槛效应。5.1 城镇化对能源消费的直接效应分析
首先对城镇化与能源消费的直接效应进行估计,回归结果如表2所示,模型I与模型II均通过过度识别检验,可有效用于下文分析。Table 2
表2
表2直接效应结果
Table 2Direct effect results
变量 | 模型I | 模型II |
---|---|---|
Lnenc-1 | 0.627*** (12.36) | 0.670*** (12.05) |
Urb | 0.173** (2.12) | 0.317 (0.60) |
Urb2 | -0.175 (-0.35) | |
Ind | -0.003** (-10.24) | -0.003*** (-8.13) |
Hum | 0.019*** (7.13) | 0.018*** (4.80) |
Rd | 0.014* (1.87) | 0.027** (2.93) |
Enstr | 0.078 (4.05) | 0.077*** (4.00) |
Rk | 0.000 04*** (6.82) | 0.000 04** (6.64) |
Lngdp | 0.137*** (3.70) | 0.152*** (4.22) |
C | 0.670*** (10.58) | 0.718*** (9.78) |
AR(1) | [0.003] | [0.007] |
AR(2) | [0.961] | [0.830] |
Sargan检验 | [1.000] | [1.000] |
新窗口打开
表2中模型I与模型II回归结果中能源消费一阶滞后项系数显著为正,说明动态效应显著,上一期的能源消费对当期的能源消费具有显著的正向驱动作用。模型I中城镇化的一次方项系数在1%的水平上显著为正,说明城镇化通过“扩张效应”带动了能源消费的增长。模型II中城镇化的一次方项与二次方项系数不显著,但由正变负的符号变更可以判断其倒U型曲线的潜在存在性,逻辑上解释为城镇化率的提升有抑制能源消费趋势,但由高城镇化的低能耗地区所占比重小导致整体质量作用不明显。
直接效应下系数反应多为两两变量的直观相互关系,其余变量的回归结果如表2所示。产业结构系数在5%的水平上显著为负,说明第三产业占比系数的不断增大对能源消费有显著的质量作用,即服务业的日趋成熟有效降低了能源消费量。人力资本积累与技术进步水平在各个模型中均显著为正,得出近年来R&D投入强度与人力资本累积两者均和能源消费量均呈正向相关关系。对其可能的解释为居民的平均受教育年限与科技投入强度的提高对维系教育、科技、文化等发展的硬件支撑、场所提出高要求,导致建筑、基础设施建设等不断扩充,从而两者呈正相关关系。能源消费结构在模型I中的系数为正但不显著在一定程度上反映一次能源所占消费比重越大,其能源消费量越高,贴合中国现实国情,模型II中Enstr的系数也佐证了这一关系的存在。以上两个模型中人口规模和居民消费水平对能源消费有显著的促进作用,城镇扩张、人类繁衍以及生活质量提升均拉动能源消费。
5.2 城镇化对能源消费的间接效应分析
对于间接效应的衡量,本文采用逐个验证最后整体验证的做法。这种做法不仅符合计量经济学算法的实际意义而且各个传导因素的作用效果更容易识别。本文以人口和居民消费水平为控制变量并逐步添加产业结构、技术进步、人力资本与能源消费结构这四个变量以及它们与城镇化水平的交叉项,分别是模型III—模型VII,表3报告了城镇化间接影响能源消费的动态面板回归结果。Table 3
表3
表3间接效应结果
Table 3Indirect effect results
变量 | 模型III | 模型IV | 模型V | 模型VI | 模型VII |
---|---|---|---|---|---|
Lnenc-1 | 0.721*** (24.24) | 0.823*** (40.47) | 0.806*** (40.48) | 0.893*** (46.85) | 0.816*** (24.45) |
Urb | 0.333*** (5.66) | 0.115* (1.66) | 0.187*** (4.40 ) | 0.141*** (4.58) | 0.232* (1.66) |
Ind | 0.003*** (3.85) | 0.006** (0.31) | |||
Rd | 0.105*** (5.18) | 0.071* (5.08) | |||
Hum | 0.041*** (7.16 ) | 0.019* (1.19) | |||
Enstr | 0.181** (4.58) | 0.013 (0.13) | |||
Urb×Ind | -0.011*** (-6.91) | -0.006* (1.71) | |||
Urb×Rd | -0.172*** (-4.06) | -0.084* (1.10) | |||
Urb×Hum | -0.068*** (-5.87 ) | -0.021 (0.99) | |||
Urb×Enstr | 0.293** (2.20) | 0.198* (1.38) | |||
Rk | 0.000 05*** (6.77) | 0.000 02*** (3.45) | 0.000 02* (3.79) | 0.000 02* (2.37) | 0.000 06** (5.30) |
Lngdp | 0.167*** (7.15 ) | 0.108*** (10.65) | 0.109*** (5.20) | 0.104*** (10.12) | 0.109*** (6.14) |
C | 0.424** (10.71) | 0.407*** (16.24 ) | 0.287*** (5.5965 ) | 0.550** (19.23) | 0.399*** (3.39) |
AR(1) | [0.009] | [0.005] | [0.007] | [0.004] | [0.005] |
AR(2) | [0.983] | [0.798] | [0.870] | [0.685] | [0.880] |
Sargan检验 | [1.000] | [1.000] | [1.000] | [1.000] | [1.000] |
新窗口打开
以上五个模型均通过了AR检验和Sargan检验,表明工具变量选择合理,模型回归结果值得信赖。与直接效应的分析一致,前期的能源消费对当期有显著的正向驱动作用,系数均在0.7~0.8之间。
在单独控制间接路径条件下,模型III中的城镇化与产业结构的交叉项在1%的水平上显著为负,表明在城镇化作用下产业结构高级化对能源消费有负向质量收缩作用,与直接效应中作用方向一致,说明城镇化为产业转移与集聚提供便利。同时第三产业能源依赖性低,加之中国经济发展处于“结构性减速”中,经济服务化趋势不断凸显,产业结构高级化逐渐发挥质量收缩作用,降低能源消费量,但系数仍相对较小,随着城镇化的不断推进质量作用将逐渐加强。
模型IV与模型V中交叉项对比直接效应中系数,符号发生转变。由此说明在城镇化的作用下,技术进步与人力资本累积带来的质量效应显著,技术进步与人力资本成为遏制能源消费肆意增长的重要因素。究其缘原因,城镇化的发展使得技术进步优势不仅体现在滋生高新技术方面,更为重要的是促进了知识、技术的创造与交流。新技术促进新能源与清洁能源的开发以及现有传统能源开采使用的革新,提高能源消费效率,优化能源消费结构,从而降低了最终能源消费量。在模型V中,在城镇化约束下,人力资本对能源消费有显著的遏制作用,城镇化不仅仅集聚人口,更为重要的是积累人力资本,带来巨大的“人力资本红利”。在城镇化的约束下,劳动者整体素质提升,获得更便利的职业技术,实现人力资本的优化配置,更容易接受先进知识与技术,提高劳动生产力,从而减少能源浪费现象。同时这也为技术进步创造良好条件,两者融合促进,共同降低能源消费强度,减少能源消费量。
模型VI中能源消费结构与城镇化的交叉项显著为正,表明中国城镇化仍未通过低碳化能源消费结构而遏制能源消费。对其可能的解释为除了现有的“富煤贫油少气”能源禀赋外,相对于传统能源,新能源与清洁能源成本比较高,市场体制机制不健全,尚未大规模投入使用。因此,中国城镇化对能源消费结构发挥低碳化质量效应仍有很长的路要走。人口规模和居民富裕程度在所有模型中均呈正相关,城镇化进程伴随着人口的转移,带来居民消费方式的转变。人口增多带来规模效应的同时也必然会引起经济水平的不断提升,这些都是能源消费不断攀升的主要诱因。模型VII全面考虑了所有交叉项与控制变量,其回归结果与前面非全面模型基本一致,检验了结果的稳健性。
5.3 门槛效应分析
结合上文城镇化与能源消费的直接与间接效应,本文对两者之间具体的门槛值继续探讨。以深入了解间接传导机制对城镇化减排节能效果的影响。本文以Urb为门槛依赖变量,分别以Urb、Ind、Rd、Hum、Enstr为门槛变量进行回归。门槛检验结果如表4所示。除了以人力资本Hum为门槛变量的模型不存在门槛效应外,其余的均为双门槛模型。依次对应的门槛值分别为{0.62,0.68}、{0.38,0.46}、{0.45,0.63}、{0.62,1.24}。为更清楚的判断城镇化对能源消费不同传导机制的影响趋势,图5对不同时期的表现进行了统计。Table 4
表4
表4门槛回归结果
Table 4Threshold regression results
解释变量 | Urb | Ind | Rd | Enstr | |
---|---|---|---|---|---|
Urb | 阶段一 | 1.521*** | 0.450*** | 0.254** | -0.327*** |
(15.00) | (5.09) | (2.45) | (-6.56) | ||
阶段二 | 1.341 | -0.429*** | -0.063 | 0.496*** | |
(13.50) | (4.07) | (-0.74) | (8.24) | ||
阶段三 | 0.934*** | -0.577*** | -0.243*** | 0.348** | |
(11.04) | (5.32) | (-3.32) | (3.07) |
新窗口打开

图5不同门槛变量下省区数量变化
-->Figure 5Changes of provinces number under different threshold variables
-->
直接效应中城镇化与能源消费间呈现倒U型趋势但不显著,具体影响路径在引入动态门槛模型后得到进一步解释。以城镇化为门槛变量的模型在各阶段均表现为正向驱动作用,系数由1.521到0.934,驱动强度逐渐减小,消费弹性逐渐增大。但中间区间系数不显著,同时0.626与0.678作为城镇化的两个门槛值差距较小,且介于两门槛之间的样本量比例为3.70%,因此可以直接忽略中间阶段,由此得到两个差别明显的区间,吻合直接效应中的逐渐减弱的扩张作用,表现为倒U型曲线前半段由快到慢的增长阶段。结合原始数据,预计倒U型拐点值在0.87左右,拐点后城镇化对能源消费的质量 收缩作用不断凸显,呈下降趋势。城镇化水平较低时的能源消费拉动作用比高水平时的拉动作用力度更强。在可预见的未来,在政策节能减排与低碳化政策引导下,城镇化的能源消费弹性将不断增大,抵达峰值后质量作用逐渐显著,达到节能减排的目标。
当Ind≤0.38,Urb的系数在1%的水平上显著为正,城镇化进程中第三产业发展导致能源消费增加。第二与第三阶段呈现逐渐增强的负相关关系,这说明产业结构是城镇化间接影响能源消费节能减排的门槛因素。第一阶段中,中国仍处于农业与制造业为主的发展困境,城镇化的不断攀升刺激了能源消费增加,此时经济服务化趋势尚不明显。随着产业结构的高级化,越过0.38这一门槛后,城镇化的集约节能效果凸显并且逐渐加强。上述分析表明第三产业的发展对能源消费有节约效应,但是该效应的发挥需要前期的硬件投入与空间集聚,因此初期的正向促进关系也就不难理解。结合图5,现阶段中国部分地区产业结构发展仍不合理,要以此为鉴,倡导更加简约、绿色的生产生活方式,促使更多地区逐步迈入低工业化高技术化的发展模式,以期质量效应提早发挥作用。
以技术进步为门槛变量的三段回归结果显示,依次超过0.45和0.63两个门槛值城镇化对能源消费由扩张效应向质量收缩效应演变,并且呈现阶段性增强。从原始数据可以看出小于0.45这个区间多以1990—1999年为主,但是越过0.45这个断点,技术进步在部分省份普遍攀升,如图5。第一阶段系数显著为正,说明在城镇化约束下技术进步仍处于萌生摸索阶段,对能源节约的质量效应尚未显现。中间阶段,技术进步所带来的质量效应居于主导地位但系数相对较小,城镇化有利于促进新能源的替代。技术进步具有路径依赖性,在第三阶段,系数不断增强,占原始数据近50%,毋庸置疑,技术投入将从开发新能源、提高能源利用率等方面带来能源节约效应,但将技术转化为城镇化进程中的主要绿色节能力量仍需要前期能源与资金投入,因此第一阶段的强正相关关系就很好理解,这也与关雪凌[35]的研究结果相吻合。而人力资本在检验中不存在显著的门槛效应,结合直接与间接效应中人力资本的作用路径,得出城镇化加快了“人力资本红利”累积,对能源消费有逐渐凸显的质量作用。人力资本与技术进步互为依赖,借鉴王德劲研究中关于人力资本作为技术进步的一个生产要素来进行实证研究的做法[36],本文在此简单地以人力资本对能源消费的直接与间接传导效应为主。
以能源消费结构为门槛变量的回归结果多以扩张效应为主,仅在一阶段为显著的质量效应。可能原因也在上文提及:由能源禀赋现状所决定,虽然新能源带来的节能减排的效力逐渐提升,但是中国的煤炭行业基数大,已形成的固有的高碳锁定发展模式根深蒂固,导致城镇化发展仍沿用高碳化的能源消费路线,使得其质量效应发挥不明显。本文针对不同时期各省份的表现进行统计如图5,结合原始数据,低碳化的质量效应由1990年仅有的海南、青海等低密度省份现以扩张至浙江、福建等快速发展的低能耗省份。位于第三阶段的仅有山西、陕西、内蒙古少数几个煤炭资源型城市集中的省份,发展仍多依靠煤炭等高能耗资源,又由于煤炭折算标准煤比例高,导致能源消费居高不下。处于第二阶段的省份大都以低系数的扩张效应为阶段特征,质量效应不显著。其他控制变量的回归结果与前述模型结果无较大差异,对此不再赘述。
6 结论与政策建议
6.1 结论
研究中国城镇化与能源消费关系,探索两者之间的影响路径对于推进中国特色新型城镇化的发展具有重要意义。本文基于1990—2016年中国30个省市的面板数据,利用两步系统GMM方法和门槛模型,分析了中国城镇化与能源消费的直接与间接效应,结论如下:(1)城镇化与能源消费之间尚未呈现显著的倒U型发展趋势,仍以扩张作用为主,但作用力度逐渐减弱。结合中国处于能源消费量快速达峰的关键节点,能源消费与城镇化的扩张效应将不断减弱,抵达峰值后将以负向质量收缩作用为主。
(2)在城镇化的约束下,产业结构转型升级在直接与间接方面对能源消费有着逐渐明显的质量作用。人力资本与技术进步同属“创新型元素”,在城镇化的引导下对能源消费起负向的质量收缩作用。能源消费结构的优化没有像预期理论一样减少能源消费,人口规模和富裕程度作为城镇化的标签,在各个模型中均对能源消费起规模扩张效应。
(3)城镇化与能源消费之间存在门槛效应,呈现逐渐减弱的扩张作用。同时证实了产业结构、技术进步、能源消费结构存在以城镇化水平为依托的门槛效应。在不同门槛区间内,各因素的扩张效应与质量效应分别占据主导地位呈现异质性特点。
6.2 政策建议
基于以上结论,提出以下政策建议:(1)避免恶性扩张,突出质量发展。当前,中国城镇化对能源消费作用方向仍以“扩张效应”为主,主要靠“造城运动”需求拉动,尚未形成合理分工格局,导致城镇化比较粗放,能源利用效率低下。因此,一方面,利用好规模效应与集约效应,加速技术进步发展与人力资本积累,加速企业转型升级,极大化“质量效应”。另一方面,不能盲目推行“一刀切”或“齐步走”战略,应因地制宜制定城镇化发展政策,结合城镇化所处阶段与当地资源禀赋、产业结构等间接传导因素,扬长避短,放缓减弱城镇化带来的“扩张效应”。
(2)利用间接传导机制,实现能源节约化发展。经济新常态下,城镇化间接作用于能源的节约效益显著,如何正确利用这些间接传导因素是未来能源节约的一大重点。深化供给侧改革,推动产业结构不断优化升级,增加第三产业占比份额,淘汰落后产能和“三高”行业,把握“经济服务化”的发展趋势,鼓励企业自主创新、接纳引进创新型人才,提倡发展新能源设备等高新技术产业;同时政府提供更加完善的金融和社会体制保障,变“中国制造”为“中国创造”,倒逼产业结构高级化发展,提早进入后工业时代。同时,注重节能价值观的引导与城镇居民的“示范作用”,形成绿色发展理念,从需求侧推动能源绿色革命。
(3)结合区域门槛特征,因地制宜制定发展路线。各地区应正确认识各自所处的发展阶段以及各要素的作用方向,明确未来城镇的发展方向与路径,充分发挥城镇化的集聚优化潜力,并利用临近地区的溢出效应,形成“仿效学习”模式,但应避免相邻地区因“逐底竞争”导致的“资源红利”的恣意浪费,加速可耗竭能源峰值提前到来。技术进步和人力资本作为供给侧改革“三大马车”中的主力,是帮助处于不同发展水平的地区跨越现有体制,迈向更高城镇化水平的节能社会的有力武器。同时,加强能源监管,将能源消费量控制纳入城镇化评估考核体系,打造出一条能源节约型的绿色城镇化发展道路。
The authors have declared that no competing interests exist.
参考文献 原文顺序
文献年度倒序
文中引用次数倒序
被引期刊影响因子
[1] | [J]. [J]. |
[2] | [J]. [J]. |
[3] | [J]. [J]. |
[4] | |
[5] | |
[6] | [J]. |
[7] | [J]. |
[8] | [J]. |
[9] | [J]. |
[10] | [J]. |
[11] | [J]. [J]. |
[12] | [J]. [J]. |
[13] | [J]. |
[14] | . |
[15] | [J]. |
[16] | [J]. [J]. |
[17] | [J]. [J]. |
[18] | [J]. [J]. |
[19] | [J]. [J]. |
[20] | [J]. [J]. |
[21] | [J]. [J]. |
[22] | [J]. [J]. |
[23] | . . |
[24] | [J]. [J]. |
[25] | |
[26] | [J]. |
[27] | [J]. [J]. |
[28] | [J]. [J]. |
[29] | . . |
[30] | . . |
[31] | . . |
[32] | |
[33] | [J]. [J]. |
[34] | [J]. [J]. |
[35] | . . |
[36] | [J]. [J]. |