基于丙烷预冷-混合工质主冷的撬装天然气液化技术可以有效实现偏散天然气源回收。传统系统通常只关注主冷液化系统,忽视预冷系统优化。事实上,在典型液化场站中,预冷级采用压缩式制冷系统,耗电量占总耗电量的20%以上,节能潜力巨大。
吸收式制冷系统(ARS, absorption refrigeration system)是一种热驱动制冷技术,可以有效回收中低品位余热,并提供零度以下制冷,特别适用于既有余热产出又有制冷需求的天然气液化场站。然而传统吸收式技术对于以烟气、导热油为代表的有限热容变温热源的利用率较低,难以提供足够的制冷量用于天然气和混合工质预冷。
为此,中科院理化所研究团队提出了全工艺链优化建站新思路(图1a),以天然气液化过程的闪蒸气作为发电机燃料,以发电机余热驱动吸收式制冷替代现有的压缩式制冷作为预冷级,进而大幅提高能量利用率和液化效率。为了最大程度利用发电机余热,研究团队开发了新型吸收式制冷系统(图1b),该系统采用具有自主知识产权的连续变温分馏发生结构(图1c),通过热质耦合传递强化手段,实现了对天然气液化场站内燃机烟气和缸套水余热的高效回收,并提供-10℃的制冷量同时用于天然气和主冷级混合工质预冷。
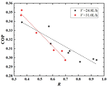
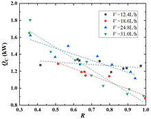
实验研究表明,新型系统余热回收率较传统系统提升150%。以位于鄂尔多斯的3万标方/天的天然气液化场站为例(图2),利用该新型吸收式系统替代原有压缩式系统用于天然气预冷的经济性分析显示,液化场站年天然气消耗和运行成本分别降低17.3%和9.4%(图1d),系统比功耗则由原来的0.4千瓦时/标方大幅降低至0.28千瓦时/标方,投资回收周期仅2.2年。
上述结果显示出吸收式制冷预冷的天然气液化技术的优秀应用潜力。

(a) 全工艺链场站优化流程 (b) 双余热源驱动吸收式制冷

(c)新型发生结构与传统发生结构对比

(d)实验测试与经济性分析结果
图1 全工艺链液化流程优化及新型烟气余热驱动的吸收式制冷技术

图2 撬装天然气液化场站实景图
近日,相关成果以“Experimental study and economic analysis of an absorption refrigeration system with new generator structure applied for pre-cooling in liquefied natural gas plant”为题发表于International Journal of Refrigeration杂志。理化所公茂琼研究员为论文通讯作者,理化所鹿丁特别研究助理为论文第一作者。上述研究工作得到国家****科学基金(No.51625603)和中国科学院国际伙伴计划一带一路专项“与印度合作天然气撬装液化技术研究”(No. GJHZ1876)的资助。
文章链接:https://doi.org/10.1016/j.ijrefrig.2021.04.031
