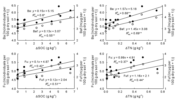
研究结果表明:在农田生态系统中,施用高量有机肥(22.5t/ha猪粪)增加了优势线虫的数量,食细菌线虫和食真菌线虫的丰度随有机肥施用量的增加呈递增的趋势。有机肥的施用量也影响土壤线虫食物网结构,线虫通路指数在5月和10月份随有机肥施用量的增加呈降低趋势,而三个取样时期富集指数随有机肥施用量的增加均呈递增的趋势(图1),线性回归分析表明食细菌线虫和食真菌线虫的丰度及代谢足迹与土壤TOC和TN的增量呈显著正相关(图2)。这些结果表明随有机肥施用量的增加,有机物细菌降解路径的比率增大,有机肥施用量主要影响处在食物网低营养级线虫的活性和功能,从土壤线虫群落结构和功能的角度分析,适量增加有机肥的施用量可促进土壤食物网物中物质循环和能量流动。

图1 不同量有机肥处理下线虫食物网指数


图2 土壤线虫丰度和代谢足迹与土壤有机碳和总氮增量的关系
以上研究由东北地理所潘凤娟副研究员(第一作者)和韩晓增研究员(通讯作者)等共同完成,相关研究结果于近期发表在Pedosphere上。
论文信息:
Fengjuan Pan, Xiaozeng Han*, Na Li, Jun Yan, Yanli Xu. Effect of organic amendment amount on soil nematode community structure and metabolic footprints in soybean phase of a soybean-maize rotation on Mollisols. Pedosphere, 2020, 30(4), 544–554. https://doi.org/10.1016/S1002-0160(17)60432-6.
