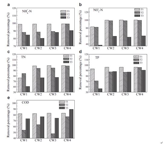
东北地理所水环境污染与防治学科组针对人工湿地低温运行问题开展了一系列研究工作。研究发现以炉渣或砾石为基质的人工湿地对氨氮、硝氮、总氮、总磷和COD的去除率均随着环境温度的下降而下降,特别是当平均环境温度下降至10℃以下(实验中平均温度8.9℃)时,人工湿地对硝氮的去除能力影响最为明显,其去除率与25.5℃时相比较最高下降了39%,对总磷的去除率最高也下降了30%左右。
温度变化除了对人工湿地净化效能产生影响以外,还对人工湿地植物根际土壤酶活性和土壤微生物群落结构产生影响。整体而言,人工湿地植物根际土壤脲酶活性随环境温度的下降而下降,蔗糖酶随温度的下降而升高。当平均环境温度由25.5℃下降至19.8℃时,人工湿地植物根际微生物量增加,而当温度继续下降至8.9℃时,微生物量降低,但微生物丰度随环境温度的变化不大。
通过对湿地植被和基质进行优化可以有效提高人工湿地在低温环境下的净化效能,进而延长人工湿地在深秋和初冬季节的有效运行时间。在植被方面,将两种植物(实验中为美人蕉和千屈菜)混合种植可以有效提高人工湿地的净化效能,与种植单一植物的人工湿地相比较,可以将总氮和总磷的去除率分别提高5%和10%左右;在基质优化方面,通过添加一定比例的铁碳微电解材料,可以有效提高人工湿地对总磷的去除效果,即使当环境温度下降至10℃以下(8.9℃),人工湿地对总磷的去除率仍然能达到96%以上。
上述研究成果分别发表在 Water Air & Soil Pollution, International Journal of Phytoremediation, 和Water Science and Technology等国际期刊上,东北地理所祝惠副研究员为论文第一或通讯作者,相关工作得到了国家重点研发计划项目(2016YFC0500404-4)、研究所“一三五”规划培育三项目以及中国科学院青年创新促进会项目(2017274)资助。

图1栽种不同植物的水平潜流人工湿地在不同环境温度下的净化效果(CW1:无植物对照; CW2:美人蕉;CW3:千屈菜;CW4:美人蕉与千屈菜混种)
论文信息:
1、Qingwei Zhou, Hui Zhu*,Gary Banuelos, Baixing Yan, Yinxiu Liang, Xiangfei Yu, Xianwei Cheng, Lijiang Chen. Effects of vegetation and temperature on nutrient removal and microbiology in horizontal subsurface flow constructed wetlands for treatment of domestic sewage. Water Air Soil Pollut. 2017, 228:95. 论文链接:https://link.springer.com/article/10.1007/s11270-017-3280-1
2、Qingwei Zhou, Hui Zhu*, Gary Banuelos, Baixing Yan, Yinxiu Liang, Jing Yu, Huai Li. Impacts of vegetation and temperature on the treatment of domestic sewage in constructed wetlands incorporated with Ferric-Carbon Micro-Electrolysis material. International Journal of Phytoremediation. 2017, 19(10):915-924. 论文链接:http://www.tandfonline.com/doi/abs/10.1080/15226514.2017.1303811
3、Hui Zhu, Qingwei Zhou, Baixing Yan*, Yinxiu Liang, Xiangfei Yu, Yoram Gerchman, Xianwei Cheng. Influence of vegetation type and temperature on the performance of constructed wetlands for nutrient removal. Water Science and Technology. 2017. DOI: 10.2166/wst.2017.556.论文链接:http://wst.iwaponline.com/content/early/2017/11/23/ws t.2017.556
