近日,中国科学院大气物理研究所季风系统研究中心模式预测团队最新提出了另一种有效提高ENSO预报技巧的集合方法——多初始化参数集合(multiple initialization parameter ensemble, MIPE)。该方法通过调整模式在生成预报初始场中的参数,SST nudging的强度,以生成多组不同的预报初始场。研究进一步使用大气物理研究所季风系统研究中心(CMSR)发展的全球海气耦合模式ICMv2利用多组预报初始场进行ENSO预测,发现在提前1到10个月的ENSO预报上多初始化参数集合(MIPE)方案比单一初始化参数的多初值集合(single initialization parameter ensemble, SIPE)有更好的预报技巧。本研究为提高ENSO预报技巧提供了一种新的集合策略,并能有效的节约计算资源。
该成果发表在Journal of Advances in Modeling Earth Systems。以上研究得到了国家自然科学基金(41722504, 41575088 and 41530426), 海洋公益性行业专项(201505013), 中国科学院青年创新促进会的共同资助。

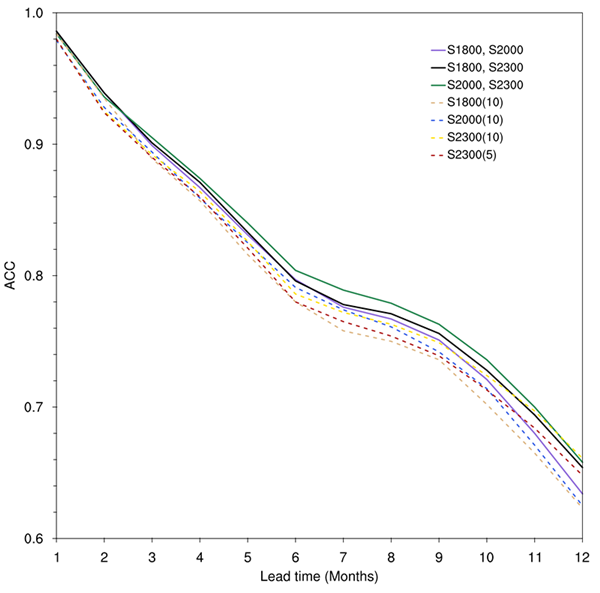
图1 基于ICM模式的ENSO回报实验结果,提前1到12月预报的1981年–2010年Nino3.4指数与观测之间的相关系数;(实线)多参数集合预估的结果,(虚线)单参数集合预估结果。
文章链接:
Wang, Y., P. Huang*, L. Wang, P.-F. Wang, K. Wei, Z. Zhang, and B. Yan, 2019: An improved ENSO ensemble forecasting strategy based on multiple coupled model initialization parameters. Journal of Advances in Modeling Earth Systems, 11, 2868–2878.
https://doi.org/10.1029/2019MS001620
附件下载:
