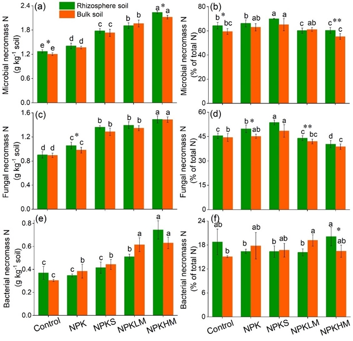
中国科学院大学博士生导师、中国科学院亚热带农业生态研究所苏以荣研究员团队基于31年长期施肥定位试验,研究了有机物料(水稻秸秆和有机粪肥)替代部分化肥下水稻土中微生物残留物积累特征,并计算了化肥有机替代下土壤氮积累的增量来源。结果表明,有机物料替代显著增加了微生物生长速率,促使总微生物生物量增加,进而微生物残留物积累增加,这是化肥有机替代促进土壤氮积累的重要来源之一。具体来说,有机肥替代30~60%化肥比单施化肥的土壤全氮增加48~76%,这部分氮素增量中微生物残留物与植物残体贡献相当,其中真菌残留物贡献30~35%、细菌残留物贡献15~22%、未被微生物利用的植物碎屑贡献为43~55%;秸秆还田比单施化肥增加的22%全氮中,微生物贡献(74%)远大于植物残体(26%),其中真菌残留物贡献高达62%。因此,有机肥和秸秆两类有机物料均能有效促进土壤氮积累,但以有机肥效果好于秸秆;不同有机物料施用促进土壤氮积累的过程中微生物贡献差异较大,有机肥处理下微生物过程对氮积累的贡献小于秸秆,这主要是由于相较于秸秆,有机肥处理下真菌对有机肥分解的参与作用减弱。研究结果为解释不同施肥管理下水稻土氮素积累差异的微生物机制提供科学依据。
该项研究以Manure application accumulates more nitrogen in paddy soils than rice straw but less from fungal necromass为题发表在农业科学国际期刊Agriculture, Ecosystems and Environment上。该研究得到了国家自然科学基金(41977100,41877035,31872851),广西基金(2018GXNSFAA138020)和国家重点研发计划(2016YFD0200106)等项目的支持。
论文链接

长期施肥处理下水稻根际土和非根际土中微生物残留物氮含量及其占全氮的比例

有机物料替代部分化肥比单施化肥促进土壤(非根际土)氮素积累的来源
责任编辑:高塬
