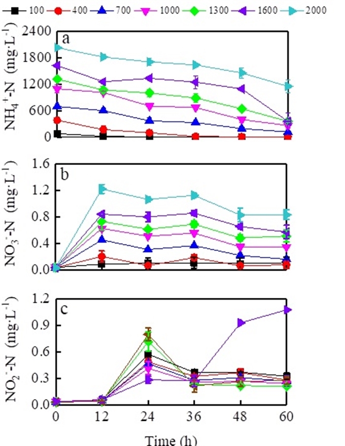
基于此,亚热带农业生态研究所吴金水研究员团队从长期处理高浓度养猪废水的绿狐尾藻人工湿地中分离出一株新型高效异养硝化-好氧反硝化菌——Alcaligenes faecalis strain WT14。研究发现,不同于以往分离的Alcaligenes faecalis,该菌株具备多种形态氮(氨氮、硝氮和亚硝态氮)去除能力,且能够耐受和去除高达2000 mg/L的氨氮,不存在硝态氮和亚硝态氮的积累,最大氨氮去除速率达到55.9 mg/L/h。通过响应面模型,得出菌株WT14的最佳脱氮条件为20.1 ℃,104.4 r/min,C / N 14.7和pH 7.5。
该研究以Nitrogen removal characteristics of a novel heterotrophic nitrification and aerobic denitrification bacteria, Alcaligenes faecalis strain WT14为题发表在Journal of Environmental Management上。本研究得到了中国科学院战略性先导科技专项(XDA23020402和XDA23020502)的资助。
论文链接:Nitrogen removal characteristics of a novel heterotrophic nitrification and aerobic denitrification bacteria,Alcaligenes faecalisstrain WT14

菌株WT14在不同环境条件下的TN去除3D和2D响应面模型

菌株WT14对不同浓度氨氮的去除
责任编辑:张婧睿
