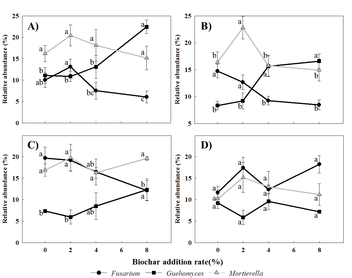
为此,东北地理所农田分子生态学科组于2012年建立了一个秸秆生物炭施用长期观测研究平台。生物炭按耕层土壤质量的0%、2%、4%和8%一次性混合施入土壤,大豆和玉米轮作种植,监测生物炭对土壤理化性质和土壤微生物的影响。项目组于2014年分4次采集耕层土壤样品,解析土壤理化指标和土壤细菌和真菌群落变化情况。研究结果发现,生物炭施用3年后仍然对土壤理化指标产生明显影响,表现为增加土壤全碳和全氮含量、增加土壤含水量、提高土壤pH值、降低土壤容重等。采用实时荧光定量PCR和Illumina Miseq测序技术对土壤细菌群落研究发现,添加生物炭增加了土壤细菌丰度,在门、属和OTU等分类水平上均改变了细菌群落组成;发现施用生物炭增加了一些功能细菌的相对丰度,如芽孢杆菌属(Bacillus)和土微菌属(Pedomicrobium)等,而降低了慢生根瘤菌(Bradyrhizobium)相对丰度;CCA分析表明,土壤细菌群落结构变化与土壤pH、全碳、全氮和全钾含量紧密相关。在土壤真菌群落结构研究方面,发现生物炭施用也增加了土壤真菌丰度,在属和OTU水平上改变了真菌群落结构,但在门水平上没有显著影响;值得注意的是,生物炭施用降低了镰刀菌属(Fusarium)和黑粉菌属(Ustilago)OTUs的相对丰度,说明施用生物炭有抑制有害植物病原菌生长繁殖的作用。CCA分析表明,土壤真菌群落结构变化与土壤理化指标,如土壤pH、含水量、TC、TN、TK和AK等密切相关。
相关研究结果近期发表在Soil Biology and Biochemistry和Applied Soil Ecology上。东北地理所博士研究生姚钦为第一作者,王光华研究员为通信作者。该项研究得到了中国科学院战略性先导科技专项(B类)(XDB15010103)和黑龙江省杰出青年科学基金(JC201116)的联合资助。

图1生物炭施用对黑土细菌群落(A、B)和真菌群落结构(C、D)的NMDS和CCA分析

图2 不同添加量生物炭对优势真菌属相对丰度的影响。A、B、C和D分别是采集的4月、6月、8月和10月的土壤样品。
论文信息:
1.Yao, Q., Liu, J., Yu, Z., Li, Y., Jin, J., Liu, X., Wang, G*. Three years of biochar amendment alters soil physiochemical properties and fungal community composition in a black soil of northeast China. Soil Biology and Biochemistry, 2017, 110: 56-67.
2.Yao, Q., Liu, J., Yu, Z., Li, Y., Jin, J., Liu, X., Wang, G*. Changes of bacterial community compositions after three years of biochar application in a black soil of northeast China. Applied Soil Ecology, 2017, 113: 11-21.
